МЕТОДИ РІШЕННЯ МАТРИЧНИХ ІГОР.
Відомість матричної гри до завдання лінійного програмування.
Розглянемо m х п гру із платіжною матрицею
![]()
Без обмеження спільності будемо вважати, що всі елементи матриці А позитивні (цього завжди можна домогтися, користуючись афінним правилом, що перетворить задану матрицю гри, але не змінює оптимальних змішаних стратегій гравців).
Тим самим, шукана ціна гри v – позитивне число.
Інтереси гравця А
З теореми про
властивості оптимальних змішаних стратегій гравців випливає, що при будь-якій
чистій стратегії Bk гравця В, k = 1, 2, ... , п, оптимальна
змішана стратегія
гравця А забезпечує
його середній виграш, не менший v. Іншими словами, виконуються
співвідношення

які з урахуванням позначень
![]()
можна записати так

Оскільки гравець А прагне зробити свій гарантований виграш максимально можливим, то завдання відшукання рішення матричної гри зводиться до наступного завдання:
знайти ненегативні величини
, що задовольняють
нерівностям

і такі, що їхня сума мінімальна

Інтереси гравця В
Аналогічним чином укладаємо, що
оптимальна змішана стратегія
гравця В при
будь-якій чистій стратегії Аi гравця А, i = 1, 2,... ,т, забезпечує
його середній програш, не більший v. Іншими словами, виконуються
співвідношення

які з урахуванням позначень
![]()
можна записати так

Оскільки гравець В прагне зробити свій гарантований програш мінімально можливим, то завдання відшукання рішення матричної гри зводиться до наступного завдання:
знайти ненегативні величини
, що
задовольняють нерівностям

і такі, що їхня сума максимальна

Тим самим, ми одержуємо наступний важливий результат.
Теорема. Рішення
матричної гри з позитивною платіжною матрицею
рівносильна рішенню
двоїстих завдань лінійного програмування
(A)

(B) 

При цьому ціна гри
![]()
де
–
величина, зворотна загальному значенню оптимальних сум,

а оптимальні значення
й
пов'язані
з оптимальними
й
за
допомогою рівностей

Алгоритм рішення матричної гри
1-й крок. До всіх
елементів вихідної матриці гри додається одне й теж позитивне число
так, щоб всі
елементи нової матриці були строго позитивні.
2-й крок. Вирішуються двоїсті завдання лінійного програмування (А) і (В) (наприклад, симплексом-методом, або як-небудь інакше).
Перебувають набори
,
і число
.
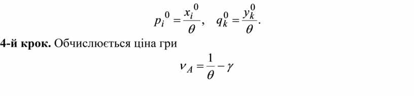
3-й крок. Будуються оптимальні змішані стратегії гравців А и В відповідно

4-й крок. Обчислюється ціна гри
![]()
Материалы на данной страницы взяты из открытых источников либо размещены пользователем в соответствии с договором-офертой сайта. Вы можете сообщить о нарушении.