ДЕПАРТАМЕНТ ОБРАЗОВАНИЯ И НАУКИ ГОРОДА СЕВАСТОПОЛЯ
ГОСУДАРСТВЕННОЕ БЮДЖЕТНОЕ ОБРАЗОВАТЕЛЬНОЕ УЧРЕЖДЕНИЕ
ПРОФЕССИОНАЛЬНОГО ОБРАЗОВАНИЯ ГОРОДА СЕВАСТОПОЛЯ «СЕВАСТОПОЛЬСКИЙ ТОРГОВО-ЭКОНОМИЧЕСКИЙ ТЕХНИКУМ»
Цикловая комиссия информационных дисциплин
Специальность:
Дисциплина: "Информационные технологии в профессиональной деятельности "
МЕТОДИЧЕСКАЯ РАЗРАБОТКА
ПРАКТИЧЕСКОГО ЗАНЯТИЯ ПО ТЕМЕ:
Преподаватель: Карась Ю.А.
Севастополь, 2025
|
Тема занятия: |
Построение диаграмм и графиков в Excel. |
|||
|
Тип занятия: |
Формирование новых знаний |
|||
|
Вид занятия: |
Практическое занятие |
|||
|
Технология: |
элементы технологии логического мышления личностно-ориентированная групповая технология компьютерные (новые информационные) технологии обучения; |
|||
|
Межпредметные связи: |
математика, информатика, экономика, статистика. |
|||
|
Оборудование и программное обеспечение: |
комплект мультимедиа: - акустическая система; - проектор; -экран для проектора Google тест MS Windows 10 MS Office 2016/19 (Libre Office или аналоги) листы-карточки с заданиями |
|||
|
Задачи занятия: |
Обучающие: 1) Расширить представления обучающихся о возможностях программы Excel 2) Научить строить и использовать различные виды диаграмм (графиков) в программе Excel 3) Стимулировать интерес к изучаемой теме через практическую деятельность с использованием задач прикладного характера.
Развивающие: 1) Развить находчивость и умение преодолевать трудности для достижения намеченной цели 2) развитие логического мышления, познавательных и исследовательских способностей обучающихся; 3) формирование умений анализировать, сравнивать, выделять главное; 4) развитие навыков индивидуальной практической деятельности и умения работать в группах;
|
|||
|
|
Воспитательные: 1) Воспитать интерес к изучению информационных технологий, посредством различных методов и приемов обучения; 2) Воспитать творческий подход к работе, умения экспериментировать; 3) Сформировать информационную культуру. |
|||
|
Цели занятия: |
Совершенствование умений и навыков при создании диаграмм и графиков, реализация полученных знаний на практике. |
|||
|
План занятия: |
1. Организационный момент. 2. Повторение пройденного материала 3. Объяснение нового материала. 4. Выполнение практической работы. 5. Домашнее задание. 6. Подведение итогов занятия. |
|||
|
Время занятия: |
90 мин |
|||
|
Учебная литература: |
1. 2. 3. 4. |
Горев А.Э. |
Информационные технологии в |
|
|
профессиональной деятельности : учебник для |
|
|||
|
среднего профессионального образования / А. Э. Горев. — Москва : Издательство Юрайт, 2018. — 271 с. С.Г.Гохберг, А.В. Зафиевский, А.А.Короткин Информационные технологии, Москва, издательский центр «Академия», 2019г. Информатика и ИКТ Задачник-практикум под ред. И. Семакина, Е. Хеннера - М БИНОМ Лаборатория знаний, 2019г. Михеева Е.В. Информационные технологии в профессиональной деятельности. М.: «Академия», 2021г. |
||||
I. Организационный момент - 5 мин.
Приветствие: Добрый день! Рад вас видеть! Отметить присутствующих в группе. Мотивирование на учебную деятельность: У нас сегодня уникальное занятие, потому как сегодняшняя информация пригодится вам в будущем при работе с представлением данных и выполнении различных задач. Озвучить тему занятия, сформулировав проблему, огласить цель и задачи урока.
II. Повторение пройденного материала - 10 мин.
На прошлом занятии мы изучили тему: "Создание электронной книги. Относительная и абсолютная адресации в MS Excel.
Давайте проведем краткое тестирование и проверим, как вы освоили материал.
Раздать контрольные листы самооценки, на которых обучающиеся будут проставлять баллы, полученные за ответы на вопросы теста (0,5 балла за один правильный ответ).
Вопросы теста, представлены ниже.
Тест по теме: "Относительная и абсолютная адресации в MS Excel" 1. Что такое относительная адресация в Excel?
A) Адресация, которая изменяется при копировании формулы.
B) Адресация, которая не изменяется при копировании формулы.
C) Адресация, которая всегда указывает на одну и ту же ячейку.
D) Адресация, которая зависит от формата ячейки.
2. Что такое абсолютная адресация в Excel?
A) Адресация, которая изменяется при копировании формулы.
B) Адресация, которая не изменяется при копировании формулы. C) Адресация, которая не зависит от формата ячейки
D) Адресация, которая зависит от формата ячейки.
3. Как обозначается абсолютная адресация строки в Excel?
A) $
B) #
C) @
D) *
4. Как обозначается абсолютная адресация столбца в Excel?
A) $
B) #
C) @ D) *
6. Какая из следующих формул использует относительную адресацию?
A) =A1+B1
B) =$A1+1+B$1
C) =A$1+B$1
D) =A1+A1+B1
7. Какая из следующих формул использует смешанную адресацию?
A) =A1+B1
B) =$A1+1+B$1
C) =A$1+B$1
D) =A1+A1+B1
8. Что происходит с относительной адресацией при копировании формулы вниз по столбцу? A) Номер строки увеличивается.
B) Номер строки уменьшается.
C) Номер строки не изменяется.
D) Номер строки изменяется случайным образом.
9. Что происходит с относительной адресацией при копировании формулы вправо по строке?
A) Буква столбца увеличивается.
B) Буква столбца уменьшается.
C) Буква столбца не изменяется.
D) Буква столбца изменяется случайным образом.
10. Что происходит с абсолютной адресацией при копировании формулы? A) Адресация изменяется.
B) Адресация не изменяется.
C) Адресация изменяется только для строк.
D) Адресация изменяется только для столбцов.
III. Объяснение нового материала - 15 мин.
Объяснение нового материала для выполнения практического задания сопровождается наглядной демонстрацией видео с примерами решения задач из открытого источника RuTube. Перейти на канал автора видеоконтента.
Ссылка на источник: https://rutube.ru/video/abc45833670a683c20e7479bc378a68c/?playlist=1112713
В данном видео рассматриваются следующие аспекты:
Диаграмма является средством наглядного представления данных. Она создаётся на основе данных, расположенных на рабочих листах.
Основные элементы диаграммы
Диаграмма состоит из следующих элементов:
Область диаграммы
Название диаграммы
Область построения
Горизонтальная ось (ось категорий)
Вертикальная ось (ось значений)
Название оси
Точки ряда данных
Легенда диаграммы
Подписи данных
Типы диаграмм
В Microsoft Excel существует более 15 основных типов диаграмм, каждый из которых имеет различные подтипы, позволяющие более детально визуализировать данные. Свойства диаграммы
Диаграмма постоянно связана с данными, на основе которых она создана, и обновляется автоматически при изменении исходных данных.
Этапы создания диаграммы:
Подготовительный этап: Подготовка данных для построения диаграммы. Это должен быть прямоугольный диапазон ячеек, в котором нет объединённых ячеек.
Выбор данных: Выбор данных для построения диаграммы.
Вставка диаграммы: Вставка диаграммы на сам лист.
Примеры построения диаграмм Построение графика функции:
Диапазон значений: от -20 до +20 с шагом 0.5.
Коэффициенты A, B, C — случайные величины.
Построение графика функции с использованием формулы и протаскивания. Настройка графика: изменение масштаба, добавление подписей осей, изменение стиля графика. Построение диаграммы Ганта:
Диаграмма Ганта не включается в стандартные диаграммы Excel.
Создание таблицы с данными о проекте: задачи, дата начала, дата завершения, длительность.
Построение линейчатой диаграммы с накоплением.
Добавление данных о длительности задач в диаграмму.
Удаление лишних элементов диаграммы.
Изменение порядка задач на диаграмме.
Улучшение дизайна диаграммы: изменение масштаба, добавление подписей данных.
Выполнение практической работы - 50 мин (Задания взяты из открытых источников)
Практическая работа - 50 мин. Работа выполняется индивидуально. За каждое правильно выполненное задание выставляются баллы.
1 задание – 1 балл
2 задание – 2 балла
3 задание – 2 балла
Инструкционная карта для выполнения практической работы, представлена ниже:
Задание 1.
В электронной таблице построить на листе с данными (предварительно их набрать и оформить в виде таблицы), линейчатую диаграмму с вертикальными столбцами (гистограмму), позволяющую отобразить рост количества серверов Интернета по годам.
|
Годы |
2025 |
2026 |
2027 |
2028 |
2029 |
2030 |
2031 |
2032 |
2033 |
2034 |
2035 |
|
Кол-во серверов |
1600 |
3000 |
4300 |
7200 |
11000 |
14700 |
17200 |
23300 |
31800 |
39500 |
43300 |
Построите в Excel таблицу, приведенную выше. Зайти на ленту «Вставка» и в области «Диаграммы», выбрать самый первый тип диаграмм, называемый «Гистограмма». Щелкнув по кнопке «Выбрать данные», выбрать соответствующие данные для построения (вторую строку с кол-вом серверов), а подписи для данной гистограммы должна быть строка с наименованием: Годы.
Сделать так, чтобы напротив каждого столбика устанавливались соответствующие ему значения. Выбрать понравившийся стиль диаграммы.
Задание 2.
Построение рисунка «ЗОНТИК»
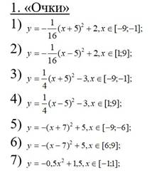
Приведены функции, графики которых участвуют в этом изображении:
у1= -1/18х2 + 12, х[-12;12] y2= -1/8х2 +6, х[-4;4] y3= -1/8(x+8)2 + 6, х[-12; -4] y4= -1/8(x-8)2 + 6, х[4; 12] y5= 2(x+3)2 – 9, х[-4;0] y6=1.5(x+3)2 – 10, х[-4;0]
• Запустить MS EXCEL
• В ячейке А1 внести обозначение переменной х Заполнить диапазон ячеек А2:А26 числами с -12 до 12.
• Последовательно для каждого графика функции будем вводить формулы.
В результате должна получиться следующая ЭТ

После того, как все значения функций подсчитаны, можно строить графики этих функций.
1. Выделяем диапазон ячеек А1:G26
2. На панели инструментов выбираем меню Вставка → Диаграмма.

3. В окне Мастера диаграмм выберите Точечная → Выбрать нужный вид→ Нажать Ok.

Самостоятельное задание*
Постройте графики функций в одной системе координат. Получи рисунок.
Задание 3.
Построение диаграммы Ганта
1. Создайте таблицу с исходными данными Откройте Excel и создайте таблицу со столбцами «Задачи», «Дата начала», «Дата окончания», «Длительность». Внесите задачи в хронологическом порядке и укажите сроки начала и завершения. Столбец «Длительность» заполните автоматически — через формулу «дата окончания» – «дата начала»
2. Создайте линейчатую диаграмму Для этого выделите столбец «Дата начала» вместе с названием, откройте вкладку «Вставка» → «Диаграмма»
→ «Линейчатая». Выберите линейчатую с накоплением.
У вас получится линейчатая диаграмма. Передвиньте ее на свободное место на листе и продолжите редактировать.
3. Если на диаграмме вместо названий задач — цифры, надо поменять это, кликните на область диаграммы правой кнопкой мыши → «Выбрать данные».
На диаграмме слева названия задач, но сроки исполнения «слиплись». Чтобы это исправить, растяните диаграмму вправо.
4. Добавьте длительность задач Кликните правой кнопкой мыши по области диаграммы и нажмите «Выбрать данные».
В блоке «Элементы легенды (ряды)» выберите «Добавить».
В появившемся окне напишите название столбца — «Длительность». Затем в таблице выберите все ячейки этого столбца и нажмите ОК.
Теперь на диаграмме кроме дат начала работ отображается длительность каждой
— это оранжевые блоки.
5. Преобразуйте линейчатую диаграмму в диаграмму Ганта У вас получится линейчатая диаграмма, но синие блоки мешают. Кажется, что они показывают дату начала работы, но на самом деле дата начала — это конец синего блока. Чтобы не путаться, уберите эти отрезки. Нажмите на любой синий блок, кликните правой кнопкой мыши и выберите «Формат ряда». В появившемся справа меню выделите «Нет заливки» и «Нет линий».
При построении диаграммы Ганта в Excel задачи по умолчанию располагаются в обратном хронологическом порядке. Чтобы разместить их верно, кликните правой кнопкой мыши на область с задачами, выберите «Формат оси». Справа появится поле с параметрами. Поставьте галочку возле пункта «Обратный порядок категорий».
В итоге должно получится:
Можно немного расширить диаграмму:
Если вы внесете в план работы изменения — скорректируете сроки, добавите или уберете задачи — они отразятся на диаграмме.
При не необходимости можно улучшить дизайн диаграммы.
Сохранение работы и проверка работы обучающихся
Домашнее задание - 2 мин.
Дать ссылку на краткий конспект ключевых понятий по данной теме занятия.
Обучающимся законспектировать ключевые понятия в конспект.
Подведение итогов занятия - 3 мин.
В результате, обучающийся может получить итоговую оценку как средний балл: за тестирование, практическую работу и самостоятельное задание со звездочкой.
Материалы на данной страницы взяты из открытых источников либо размещены пользователем в соответствии с договором-офертой сайта. Вы можете сообщить о нарушении.