методические указания дял выполнения практических заданий по Экологическим основам природпользования для специальности 18.02.09 Перерработка нефти и газа

  • pdf
  • 10.11.2025
Публикация на сайте для учителей

Публикация педагогических разработок

Бесплатное участие. Свидетельство автора сразу.
Мгновенные 10 документов в портфолио.

Иконка файла материала Практические_ЭОП.pdf

ГГ

ЧАСТНОЕ ПРОФЕССИОНАЛЬНОЕ ОБРАЗОВАТЕЛЬНОЕ УЧРЕЖДЕНИЕ «ГАЗПРОМ КОЛЛЕДЖ ВОЛГОГРАД mv1EH14 ИЛ. МАТЛАШОВА»

МЕТОДИЧЕСКИЕ УКАЗАНИЯ

ПО ОРГАНИЗАЦИИ И ПРОВЕДЕНИЮ ПРАКТИЧЕСКИХ ЗАНЯТИЙ

по учебной дисциплине

«Экологические основы природопользования»

для специальности

18.02.09 Переработка нефти и газа

Составлено в соответствии с требованиями Федерального государственного образовательного стандарта по специальности 18.02.09 Переработка нефти и газа среднего профессионального образования (базовая подготовка).

Одобрено цикловой комиссией     УТВЕРЖДАЮ общегуманитарных дисциплин         Заместитель директора Протокол № —3  по ебно-воспитательной работе

ОТ «         »ЕЮ. Камынина Председате ь        Т.И. Вострикова «        г•

Разработчик:

Ашнина Любовь Николаевна, преподаватель ЧЛОУ «Газпром колледж Волгоград им. И.А. Матлашова»

Рецензенты:

Сидельникова Ольга Петровна, д.т.н., профессор кафедры «Безопасность жизнедеятельности в техносфере и городском хозяйстве» ВолГТУ

Холоденко Анна Викторовна, к.г.н. доцент, заведующий кафедрой экологии и природопользования ФГАОУ ВО «Волгоградский государственный университет»

2

Аннотация

Методические указания по организации и проведению практических занятий по учебной дисциплине «Экологические основы природопользования» предназначены для реализации федеральных государственных образовательных стандартов к минимуму содержания и уровня подготовки выпускников по специальности среднего профессионального образования 18.02.09 Переработка нефти и газа среднего профессионального образования (базовая подготовка) очной и заочной форм обучения, а так же требований, предъявляемых заказчиком (ПАО «Газпром»).

Содержание и структура методических указаний соответствуют требованиям Федерального государственного образовательного стандарта СПО.

Методические указания включают: название тем и количество часов, предусмотренных на выполнение практической работы; цели практической работы, перечень заданий для обучающихся по вариантам; список рекомендуемой литературы.

Данные методические указания по учебной дисциплине 'Ђкологические основы природопользования“ созданы на основе учебной программы по дисциплине. Выполнение практических заданий — важная составная часть дисциплины. Для более глубокого усвоения разделов программы студенты на конкретных примерах оценивают антропогенную нагрузку на объекты окружающей среды, знакомятся с нормированием загрязняющих веществ, осваивают методику проведения соответствующих расчетов.

Блок практических занятий позволит обучающемуся закрепить и расширить знания, полученные на теоретических занятиях по дисциплине, получить навыки и умения работы со статистическим и справочным материалом, а так же приобрести опыт практической деятельности, опыт познания и самопознания в процессе изучения окружающего мира. Практические занятия позволят преподавателю проверить уровень знаний обучающихся по узловым темам курса, знаний лекционного материала, умение делать логические построения, иллюстрировать теоретические положения самостоятельно подобранными примерами. В основу методической разработки для проведения практических заданий положен принцип развивающего обучения.

Методические указания предназначены для студентов, обучающихся по специальности среднего профессионального образования 18.02.09 Переработка нефти и газа среднего профессионального образования (базовая подготовка).

з

Содержание

Аннотация

Пояснительная

Практическое занятие № 1 «Основные загрязняющие вещества и их влияние на природную среду и здоровье человека.„...„......... „.10

Практическое занятие №2 «Расчет концентраций в атмосферном воздухе вредных веществ, содержащихся в выбросах предприятий и оценка состояния качества окружающей среды на производственном объекте». 18 Практическое занятие № З «Показатели воздействия на окружающую среду предприятиями

группы «Газпром» 0...............................................„. . ... „ 24 Практическое занятие № 4 «Изучение нормативно-правовой документации о планировании, осуществлении производственного экологического контроля и об отчете о его проведении»........ 26

Практическое занятие № 5 «Юридические составы и административная ответственность за

экологические правонарушения» • • „.......„...m........ 29 Заключение    .. 34


Пояснительная записка

Современное человечество, вооруженное техникой и использующее огромное количество энергии, является очень мощной силой, воздействующей на природу Земли. Если эти воздействия не учитывают природных законов и разрушают установившиеся за миллионы лет связи, возникают катастрофические последствия. Люди уже столкнулись с целым рядом проблем, вызванных их деятельностью, и обеспокоены тенденцией нарастания неустойчивости природных

систем.

Экология в настоящее время приобретает огромное значение как наука, позволяющая найти пути выхода из возникающего кризиса. Только изучив существующие в природе закономерности, можно понять, каким образом организовать собственные отношения со средой обитания, по каким принципам развивать и использовать технический Потенциал человечества.

Методические указания предназначены для преподавателей и обучающихся по специальности среднего профессионального образования 18.02.09 Переработка нефти и газа (базовая подготовка) очной и заочной форм обучения.

В программу учебной дисциплины «Экологические основы природопользования» для студентов технических специальностей входит практическая часть. Выполнение практических заданий — важная и обязательная составная часть учебной дисциплины.

Методические указания составлены в соответствии с учебной программой дисциплины «Экологические основы природопользования», относящейся к математическому и общему естественно-научному учебному циклу.

Практические занятия охватывают, как правило, важные, значимые темы курса, предусматривающие формирование навыков и умений приложения теории к практике, решение различных типовых и нестандартных задач. Методические указания помогут преподавателю выбрать оптимальный вариант проведения практического занятия.

Практические занятия по дисциплине «Экологические основы природопользования»

рассчитаны на 14 аудиторных часов.

Целями практических занятий по учебной дисциплине «Экологические основы

природопользования» являются:

-    закрепление и расширение полученных теоретических знаний;

-    развитие творческой инициативы, ответственности и организованности;

-    формирование способностей к саморазвитию и самосовершенствованию и т.д.

-    формирование практических (общеучебных и профессиональных) умений и навыков, общих и профессиональных компетенций.

Для анализа полученных знаний, в ходе выполнения практической работы, применяется письменная форма контроля — проверка отчета и(или) устная защита отчета.

Методические указания по организации и проведению практических занятий обучающихся по дисциплине «Экологические основы природопользования» обеспечивают освоение общих и профессиональных компетенций ОК 2 - 9, пк 1.1 - 1.3, 2.1 - 2.3, 3.1 — 3.3, 4.1 4.3, предусмотренных ФГОС СПО по специальности 18.02.09 ПНГ.

В результате выполнения практических работ обучающиеся должны: 1) приобрести умения;

— анализировать и прогнозировать экологические последствия различных видов производственной деятельности;

— анализировать причины возникновения экологических аварий и катастроф;

— выбирать методы, технологии и аппараты утилизации газовых выбросов, стоков, твердых

отходов;

- определить экологическую пригодность выпускаемой продукции; оценивать состояние экологии окружающей среды на производственном объекте;

2) закрепить и расширить полученные теоретические знания по учебной дисциплине:

— виды и классификацию природных ресурсов, условия устойчивого состояния экосистем;

*                   задачи охраны окружающей среды, природоресурсный потенциал и охраняемые природные территории Российской Федерации;

— основные источники и масштабы образования отходов производства; основные источники техногенного воздействия на окружающую среду,  способы предотвращения и улавливания выбросов, методы очистки промышленных сточных вод, принципы работы аппаратов обезвреживания и очистки газовых выбросов и стоков химических производств, основные технологии утилизации газовых выбросов, стоков, твердых отходов;

— принципы размещения производств различного типа, состав основных промышленных выбросов и отходов различных производств;  правовые основы, правила и нормы природопользования и экологической безопасности; принципы и методы рационального природопользования, мониторинга окружающей среды, экологического контроля и экологического регулирования;  принципы и правила международного сотрудничества в области природопользования и охраны окружающей среды.

1 Методические рекомендации для обучающихся

Для успешного выполнения практических заданий обучающийся должен:

*                   ознакомиться с лею.ДИОННЬПЛ материалом и подготовить ответы на вопросы для самоконтроля, приведенные в данных методических указаниях; - чётко следовать ходу выполнения работы; - оформить отчет о проделанной работе.

В целях добросовестной подготовки к практическому занятию обучающемуся следует учесть, что перед проведением практической работы преподаватель проверяет уровень знаний по ключевым вопросам темы, изученным на лекционных занятиях и подготовленным студентами самостоятельно.

При проведении практического занятия на рабочих местах должна быть методическая разработка или необходимый раздаточный материал. Преподаватель обеспечивает наличие у обучающихся комплекта законодательных актов в области охраны окружающей среды и рационального природопользования, для выполнения З практической работы проведение занятия в лаборатории технических средств обучения, оборудованной ПК с лицензионным программным обеспечением и возможностью выхода в Интернет; распределяет варианты среди обучающихся И знакомит их с ходом выполнения работы, с правилами оформления отчета по работе.

Практическое задания должны быть выполнены в соответствии с требованиями к оформлению отчета, указанными в настоящей методической разработке.

Ответы на практические задания записываются обучающимся в заведенной для практических работ тетради в 12-18 листов. Записи выполняются аккуратно, без зачеркиваний. Необходимо указать свой вариант, номер задания (задачи и т.д.).

Каждый обучающийся должен оформить отчет о проделанной работе по следующей структуре:

Отчет по практической работе ЛФ (следует указать номер практической работы в соответствии с программой дисциплины)

Тема: (следует указать тему практической работы в соответствии с программой дисциплины);

Цель работы: (необходимо кратко сформулировать цель практической работы)

Дата выполнения работы: (указать число, месяц. год, когда осуществляется выполнение практической работы)

Группа: (следует указать шифр группы)

Фамиаия, имя, отчество: (указать Ф.И.О. студента, выполнившего практическую работу) Вариант: (указать номер варианта)

Ход работы: (указать исходные данные ситуации и отразить подробный процесс решения задачи).

2 Критерии оценки и система контроля (мониторинга)

Каждое практическое занятие завершается контролем конкретных результатов (положительных или отрицательных). Это дает возможность установить, в какой мере результаты соответствуют поставленной цели, насколько правомерна и целесообразна последовательность этапов работы. Иначе говоря, выявляются общий итог работы, ее логика, оформление, т.е. та конечная информация, «выход», без которых невозможно успешно прогнозировать дальнейший этап обучения.

Критерии оценивания. Известно, что как в школе, так и в других звеньях систем образования нет общепринятого подхода к перечню критериев оценок и к их весам.

Оценка — это определение и выражение степени усвоения обучающимися знаний и умений, установленных рабочей программой. Оценка фиксируется в соответствующих документах (тетрадях обучающихся по практическим работам, самостоятельной работе, журналах), отражая уровень достижений обучающихся.

В ЧПОУ «Газпром колледж Волгоград им. И.А. Матлашова» оценка уровня освоения дисциплин (модулей) (включает оценки по практическим работам и семинарским занятиям), Оценка осуществляется по количественной пятибалльной системе («5», «4», «3», «2»и «1») и качественным (оценочным суждениям: «отлично», «хорошо», «удовлетворительно», «неудовлетворительно», «плохо») показателям.

Исходный момент в оценке ориентация на желаемый результат обучения. С ним сопоставляется достигнутый, реальный результат. При оценке принимается во внимание полнота, глубина, прочность, оперативность, сознательность знаний и умений обучающихся, освоенность ими компетенций (общих и профессиональных). Также важным критерием оценки служит умение обучающихся связывать содержание изучаемой дисциплины с содержанием будущей профессиональной деятельности, умение обоснованно решать профессиональные задачи, степень самостоятельности обучаемых. При оценке учитывают, насколько четко, правильно дается ответ обучающий, какова культура его речи (устной или письменной).

Не менее важным фактором практической работы является самоконтроль.

Самоконтроль это свойство человека, заключающееся в стремлении и умении регулировать свою деятельность и поведение. Он проявляется в способности своевременно подмечать И устранять негативные стороны деятельности (торопливость, медлительность, небрежность), замечать или не допускать ошибки в работе.

Работа по ее завершению представляется обучающимся преподавателю, который оценивает её по 5-балльной системе.

Основаниями для оценки учебной деятельности обучающихся на практическом занятии:

- выполнение всего хода работы (всех ее этапов);  результативность проведенной работы;  формулирование выводов; соответствие оформления отчета, предъявленным требованиям;  своевременная сдача работы для проверки преподавателю.

Оценка учебной деятельности обучающихся на практическом занятии производится по пятибалльной шкале исходя из следующего:

”5” - за глубокое и полное овладение содержанием учебного материала, в котором студент легко ориентируется, понятийным аппаратом, умение связывать теорию с практикой, высказывать и обосновывать свои суждения. Эта оценка ставится за содержательный ответ на один из поставленных вопросов и дополнение по другим вопросам плана семинара, за использование дополнительной литературы при подготовке к занятию, умение точно и доказательно выражать свои мысли на языке науки таможенного права, вести дискуссию, оппонировать, связывать научные положения с практической деятельностью.

”4” -если обучающийся полно освоил учебный материал, владеет понятийным аппаратом, ориентируется в изученном материале, осознанно применяет знания для решения практических задач, грамотно излагает ответ, но содержание, форма ответа имеют отдельные неточности;

” - если обучающийся обнаруживает знание и понимание основных положений учебного материала, но излагает его неполно, непоследовательно, допускает неточности в определении понятий, в применении знаний для решения практических задач, не умеет доказательно обосновать свои суждения;

”2” - если обучающийся имеет разрозненные, бессистемные знания. Не умеет выделять главное и второстепенное, допускает ошибки в определении понятий, искажающие их смысл, беспорядочно и неуверенно излагает материал, не может применять знания для решения практических задач;

 - за полное незнание и непонимание учебного материала или отказ отвечать на поставленный вопрос без уважительных причин.

Обучающиеся, чьи работы были оценены неудовлетворительно или плохо, имеют право на повторное выполнение работы (или выполнение), при этом им определяется новый срок ее исполнения и сдачи для проверки преподавателю,

8

З. Права и обязанности обучающегося

Обучающийся имеет право:

-                   на получение заданий для практического занятия в объеме, предусмотренном учебным планом и рабочей программы дисциплины;

-                   на получение рецензии (отзывы и оценки) от преподавателя, согласно установленного срока;  направлять работу на коллективную рецензию в случае несогласия с оценкой преподавателя.

Обучающийся обязан:

-                   выполнять требования преподавателя по выполнению и оформлению отчета по практической работе;

-                   сдать и защитить отчет по практической работе преподавателю в сроки, установленные графиком преподавателя и учебного процесса.

Перечень практических занятий

 

Наименование практического занятия

Кол-во часов

 

Практическое занятие № 1 «Основные загрязняющие вещества и их влияние на природную среду и здоровье человека»

2

2

Практическое занятие № 2 «Расчет концентраций в атмосферном воздухе вредных веществ, содержащихся в выбросах предприятий и оценка состояния качества ок укающей с еды на оизводсгвенном объекте»

4

З

Практическое занятие № 3 «Показатели воздействия на окружающую среду п едп иятиями пы «Газпром».

4

4

Практическое занятие№ 4 «Изучение нормативно-правовой документации о планировании, осуществлении производственного экологического контроля и об отчете о его п оведении»

2

5

Практическое занятие № 5 «Юридические составы и административная ответственность за экологические авонар шения»

2

 

Итого:

14

Практическое занятие N21

«Основные загрязняющие вещества и их влияние на природную среду и здоровье человека» 2 часа

Цели:

Образовательная: ознакомиться с информацией, раскрывающей основные источники и масштабы образования отходов производства, основные источники техногенного воздействия на окружающую среду; научиться анализировать воздействие основных загрязнителей окружающей среды на природу и человека.

Развивающая: научиться анализировать и прогнозировать экологические последствия различных видов производственной деятельности, формирование умений использовать учебную литературу, нормативно-правовую документацию и другие информационные источники, в том числе webресурсы;

Воспитательная: содействовать сохранению окружающей среды, ресурсосбережению, эффективно действовать в чрезвычайных ситуациях; использовать в профессиональной деятельности представления о взаимосвязи организмов и среды обитания, развивать самодисциплину и самоконтроль; стимулировать к самостоятельному принятию решений с последующей ответственностью за них.

Ход занятия (работы):

1.Теоретическая справка: инструктаж преподавателя о порядке выполнения работы:

-             прослушать объяснение преподавателем методики выполнения практического задания, работы с Приложением № 1 к практической работе;

-             ознакомиться с информацией, содержащейся в Приложением № 1 к практической работе», найти значения гигиенического норматива ПДК загрязняющих веществ в атмосферном воздухе и воде в нормативно-правовой документации и проанализировать источники загрязнений и также последствия воздействий загрязнителей на природные экосистемы и человеческое здоровье; заполнить таблицу недостающими данными, оформив отчет по практической работе в соответствии с требованиями к оформлению, представленными в данных методических указаниях; - сдать отчет по практической работе преподавателю на проверку в конце занятия.

2.3адания к практическому занятию:

1)             прочитать предложенный для изучения материал- приложение № 1 (Вещества, загрязняющие окружающую среду).

2)             найти значения ПДК загрязняющих веществ в Санитарных правилах и нормах СанПиН 1.2.3685-21 ”Гигиенические нормативы и требования к обеспечению безопасности и (или) безвредности для человека факторов среды обитания”, определить классы опасности веществ;

З) заполнить таблицу ”Основные загрязнители окружающей природной среды и их воздействие на природу и человека“ как отчет по практической работе; в третий столбец таблицы вписать основные источники, выделяющие загрязнители окружающей среды; в крайней правой колонке указать опасность, которую представляют эти вещества для природы и человека.

4) сформулируйте вывод о наиболее опасных загрязнителях окружающей среды для природных экосистем и человека.

Таблица 1 Л- Основные загрязнители окружающей природной среды и их воздействие на природу и человека

 

Вещества, загрязняющие атмосферу

ПДК, класс опасности

Основные источники загрязнений

Воздействия загрязнителей на природу человека

 

Оксиды глеродов (СО,

 

 

 

Оксиды серы S03, S02

 

 

 

 

Оксиды азота (N02,NO)

 

 

 

 

Радиоактивные вещества

 

 

 

 

Ртуть

 

 

 

 

Свинец

 

 

 

 

Кадмий

 

 

 

 

Пестициды

 

 

 

 

Нитраты, нитриты

 

 

 

 

Список используемой литературы

Основные источники:

1. Постановление Главного государственного санитарного врача Российской Федерации от

28 января 2021 года 2 Об утверждении санитарных правил и норм СанПиН 1.2.3685-21 ”Гигиенические нормативы и требования к обеспечению безопасности и (или) безвредности для человека факторов среды обитания“

2. Постановление Главного государственного санитарного врача Российской Федерации от 28.01.2021 № З ”Об утверждении санитарных правил и норм СанПиН 21.3684-21 ”Санитарноэпидемиологические требования к содержанию территорий городских и сельских поселений, к водным объектам, питьевой воде и питьевому водоснабжению, атмосферному воздуху, почвам, жилым помещениям, эксплуатации производственных, общественных помещений, организации и проведению санитарно- противоэпидемических (профилактических) мероприятий“ (Зарегистрирован 29.012021 № 62297).


Приложение к практической работе

«Вещества, загрязняющие окружающую среду»

Свойства оксидов азота

Важнейшими являются NO и N02, поскольку остальные (N20, N203, N204, N205 и пары НМ)З), которые могут присутствовать в воздухе, не являются биологически значимыми.

Источники. Существуют естесоенные источники оксидов азота — бактериальная активность в почве, грозы, извержения вулканов. Основным антропогенным источником их являются процессы горения при температуре выше 10000C (автотранспорт и стационарные источники).

Санитарно-гигиенические характеристики диоксид азота. Диоксид азота (N02) - бурый, обладающий характерным неприятным запахом газ, который в значительных концентрациях становится удушливым. Имеет высокую химическую активность. Взаимодействует с неметаллами, в реакциях с которыми выступает окислителем. При контакте с водой превращается в азотную кислоту, со щелочной средой — образует нитриты и нитраты.

Одним из основных ИСТОЧНИкОВ, влияющих на выброс диоксида азота в атмосферу — являетсяв том числе сжигание твердых отходов (в частности, на мусоросжигательных заводах).

Среди всех окислов группы NOx самым опасным для окружающей среды и человека является именно

диоксид азота.

Диоксид азота: влияние на человека Вещество характеризуется высокой токсичностью. Диоксид азота в воздухе, даже находясь в относительно небольших концентрациях, способен приводить к существенным изменениям в организме человека. Является острым раздражителем, а также характеризуется общетоксическим действием. Воздействует в основном на органы дыхательной системы. В зависимости от концентраций наблюдаются различные последствия - от слабого раздражения слизистых оболочек глаз и носа до отека легких. Также может приводить к изменениям состава крови, в частности, способствует уменьшению содержания гемоглобина. Ниже рассмотрим подробнее некоторые из эффектов, которые способен вызывать у человека диоксид азота.

Влияние на обоняние. Даже если концентрация диоксида азота будет невысокой, люди способны ощущать его специфический запах. Пороговым значением фиксации газа в воздухе для человека считается 0,23 мг на куб. метр. Но при вдыхании диоксида азота в течение 10 минут теряется способность ОЩУЩПЬ его запах, что говорит о негативном воздействии на обоняние, выражающемся в его ослаблении. При этом наблюдаются неприятная сухость в горле и раздражение слизистой, которые проходят при концентрации, превышающей пороговое значение обнаружения в 15 раз. Однако на смену приходят другие, более серьезные симптомы, означающие негативное воздействие двуокиси азота на органы дыхания.

Влияние диоксида азота на зрение. Одним из последствий комплексного воздействия на слизистые оболочки является ухудшение способности человека видеть в сумерках. Теряется возможность приспособления к отсутствию света. Пороговая концентрация по изменению световой чувствительности глаза составляет 0,14 мг на куб. метр. Учитывая то, что значение обонятельного восприятия почти в два раза выше, можно говорить о способности газа негативно воздействовать и при этом оставаться незамеченным.

Влияние на органы дыхания. При относительно невысоких концентрациях диоксид азота в атмосфере способен нарушать дыхание. Так, уже при содержании его в воздухе 0,056 мг на куб. метр у здорового человека наблюдается повышение сопротивления дыхательных путей. Согласно информации Всемирной Органњзации Здравоохранения, у людей, страдающих хроническими заболеваниями дыхательной системы, данные симптомы наблюдаются уже при содержании N02 в воздухе, равном 0,04 мг на куб. метр.

 Результатом воздействия больших концентраций оксидов азота может быть отек легких. Это объясняется следующим, При попадании в организм и взаимодействии с влагой диоксид и оксид азота образуют азотистую и азотную кислоты, разъедающие стенки альвеол легких. Они, как и кровеносные капилляры, становятся легко проницаемыми. В результате сыворотка крови попадает в полость легких. При вдыхании воздух с жидкостью образуют пену, которая нарушает НОРмШIЬНЬIЙ газообмен, что приводит к возникновению отека легких.

При длительном воздействии окисей азота человек становится более восприимчивым к патогенам, которые вызывают болезни дыхательных путей. Ухудшается сопротивляемость легких к бактериям, расширяются альвеолы, клетки в корешках бронхов, чаще наблюдаются бронхиты, воспаление легких и пр.

У людей, страдающих сердечно-сосудистыми заболеваниями И хроническими болезнями дыхательных путей, легче развиваются осложнения в случае возникновения кратковременных респираторных инфекций, поскольку у них больше развита чувствительность к прямым воздействиям такого соединения, как диоксид азота.

Влияние на человека: другие последствия. Азотистая кислота, образующаяся при взаимодействии с влагой в дыхательных путях, вступает в реакцию со щелочными компонентами тканей, превращаясь в результате в нитриты и нитраты. Воздействие этих веществ вызывает ряд негативных последствий. Так, нитриты, всасываясь в кровь, приводят к угнетению центральной нервной системы, образованию метгемоглобина, гемолизу, билирубинемии, расширяют кровеносные сосуды, снижают артериальное давление и пр. Нитраты же при нахождении в кишечнике способны трансформироваться в канцерогенные вещества - нитрозамины. Согласно ряду литературных источников, воздействие двуокиси азота на организм человека снижает его сопротивляемость к заболеваниям, приводит к кислородному голоданию тканей. Особенно остро это проявляется у детей. Также диоксид азота способствует повышению действия канцерогенных веществ и возникновению в результате этого злокачественных новообразований. Некоторые из исследователей связывают повышенную смертность от раковых и сердечно-сосудистых заболеваний в определенных районах с высоким содержанием N02 в воздушной среде.

Хроническое отравление диоксидом азота. Длительная работа в условиях присутствия диоксида азота в воздухе приводит к развитию хронических заболеваний, наиболее распространенными среди которых являются: трахеит, бронхит, перфорация носовой перегородки, пневмосклероз и др.

У людей, которые работали на протяжении 3-5 лет при содержании N02 в воздухе рабочей зоны 0,8-5 мг на куб. метр, наблюдались хронические бронхиты, воспалительные изменения слизистой оболочки десен, осложненный астмоидными приступами пневмосклероз, бронхоэктазии. Кроме того, отмечались повышения максимальной осмотической резистентности эритроцитов, ускорение свертывания крови, тенденция к гипотонии, гранулоцитоз, снижение активности каталазы, содержания сахара и уровня глобулинов и альбуминов в крови.

У детей, проживающих на территориях, где диоксид азота присутствовал в концентрациях 0,1170,205 мг на куб. метр, выявлены изменения объема форсированного выдоха, повышение заболеваемости. Кроме того, в мазках крови наблюдались изменения в конфигурации лимфоцитов и моноцитов, увеличение резистентности эритроцитов.

Оксид углерода (П) или монооксид углерода бесцветный газ, не имеющий запаха, плохо растворимый в воде. Горит голубоватым пламенем, легче воздуха. Концентрация угарного газа в воздухе 12,5—74 % взрывоопасна.

Оксид углерода СО(П) рядовому обывателю более известен, как угарный газ, который стал причиной трагических смертей десятков тысяч людей.

Основным антропогенным источником угарного газа СО в настоящее время служат выхлопные газы двигателей внутреннего сгорания. Угарный газ образуется при сгорании топлива в двигателях внутреннего сгорания при недостаточных температурах или плохой настройке системы подачи воздуха (подается недостаточное количество кислорода для окисления угарного газа СО в углекислый газ СФ). В естественных условиях, на поверхности Земли, угарный газ СО образуется при неполном анаэробном разложении органических соединений и при сгорании биомассы, в основном в ходе лесных и степных пожаров.

Главным образом угарный газ применяют, как горючий газ в смеси с азотом, так называемый генераторный или воздушный газ, или же в смеси с водородом водяной газ. В металлургии для восстановления металлов из их руд. Для получения металлов высокой чистоты при разложении карбонилов.

Влияние угарного газа на живые организмы: угарный газ опасен, потому что он лишает возможности кровь нести кислород к жизненно важным органам, таким как сердце и мозг, Угарный газ объединяется с гемоглобином, который переносит кислород к клеткам организма, в следствии чего тот становится непригодным для транспортировки кислорода. В зависимости от вдыхаемого количества, угарный газ ухудшает координацию, обостряет сердечно-сосудистые заболевания и вызывает усталость, головную боль, слабость, Влияние угарного газа на здоровье человека зависит от его концентрации и времени воздействия на организм. Концентрация угарного газа в воздухе более 0,1 % приводит к смерти в течение одного часа, а концентрация более 1,20/0 в течении трех минут.

Диоксид серы (сернистый газ, сернистый ангидрид) S02, бесцветный газ с резким запахом.

Диоксид серы — реакционноспособен, из-за химических превращений время его жизни в атмосфере — невелико (порядка нескольких часов). В связи с этим возможности загрязнения и опасность воздействия непосредственно диоксида серы носят локальный, а в отдельных случаях — региональный характер. Природные и антропогенные источники поступления в окружающую среду.

К природным (естественным) источникам диоксида серы относят вулканы, лесные пожары, морская пена и микробиологические превращения серосодержащих соединений. ВЬЩшгЯЮЩИЙСЯ в атмосферу диоксид серы может связываться известью.

Диоксид серы антропогенного происхождения образуется при сгорании угля и нефти, в металлургических производствах, при переработке содержащих серу руд (сульфиды), при различных химических технологических процессах. Большая часть антропогенных выбросов диоксида серы (около 87 0,4) связана с энергетикой и металлургической промышленностью. Общее количество антропогенного диоксида серы, выбрасываемое за год превышает его естественное образование в 20-30 раз. Ежегодное поступление сернистого газа в атмосферу только вследствие промышленных выбросов оценивается почти в 150 млн. т.

Воздействие диоксида серы на организм. S02 токсичен. Симптомы при отравлении сернистым газом  насморк, кашель, охриплость, першение в горле. При вдыхании сернистого газа более высокой концентрации — удушье, расстройство речи, затруднение глотания, рвота, возможен острый отёк лёгких.

Диоксид серы оказывает отбеливающее и консервирующее действие, тормозит ферментативное потемнение свежих овощей, картофеля, фруктов. В то же время диоксид серы разрушает витамин Т, дисульфидные мостики в белках, что может вызвать нежелательные последствия.

Может вызывать фатальные аллергические реакции у астматиков, разрушает витамин В 1. Типичные продукты питания: пиво, 6la напитки, сухофрукты, соки, алкогольные напитки, вино, уксус, картофельные продукты.

Люди по-разному реагируют на двуокись серы. Некоторые безболезненно переносят до 4 г сульфита в день (т.е. примерно 50 мг на 1 кг массы тела), а другие уже после приема очень малых количеств жалуются на головные боли, тошноту, понос или ощущение тяжести в желудке.

Самым серьёзным недостатком диоксида серы является его собственный интенсивный резкий запах, который можно почувствовать в обработанных им пищевых продуктах. Поэтому диоксид серы используется преимущественно для консервирования продуктов, подвергаемых дальнейшей переработке.

Получение. Сернистый газ образуется при обжиге сульфидных руд или при сжигании серы. Для очистки его либо сжижают, либо поглощают холодной водой с последующей десорбцией при нагревании. ПДК максимально-разового воздействия - 0,5 мг/м3

Максимально допустимые количества отличаются для разных продуктов питания. Для продуктов, непосредственно употребляемых в пищу, они не превышают в большинстве случаев 100 мг/кг. Для вин максимальная концентрация, в зависимости от страны и сорта вина, составляет 200-250 мг/л; для некоторых сортов вина она выше.

Области применения диоксида серы. Сернистая кислота используется во многих областях пищевой промышленности. Мясопродукты. Сульфиты тормозят развитие бактерий в свежем мясе и мясопродуктах. Одновременно сернистая кислота в известной мере стабилизирует окраску мяса. В результате у потребителя может сложиться обманчивое впечатление о свежести мяса.

Фруктовые продукты. Сернистую кислоту используют во многих продуктах из фруктов как промежуточный консервант. Её добавляют к сырью или полуфабрикатам и удаляют в процессе переработки нагреванием или вакуумированием. В конечном продукте она содержится в незначительном количестве.

Как антимикробное средство сернистую кислоту применяют для сохранения целых и дроблёных фруктов (используемых для дальнейшей переработки), сухофруктов, фруктовых соков (используемых как сырьё), концентратов фруктовых соков, фруктовых пульп и фруктовых пюре. Кроме антимикробной роли она почти всегда должна выполнять и другие функции защиты — от окислительных (ферментативных и нефермењгативных) реакций побурения, других реакций окрашивания, от разрушения витаминов.

Напитки. Основной напиток, в котором применяется диоксид серы,— вино (и полупродукты для его производства). Сернистую кислоту применяют в производстве сока. Её добавляют к свеже-выдавленному соку для замедления роста уксуснокислых бактерий, диких дрожжеЙ и плесневых грибов. Культурные дрожжи при правильной обработке сернистым газом не погибают; поэтому добавление его к соку обеспечивает быстрое и гарантированное брожение. Кроме того, обработка сернистым ангидридом замедляет развитие кислоторазрушающих бактерий. Для соков с низким содержанием кислот, получаемых при нормальной температуре, требуется примерно 40— 50 мг двуокиси серы на 1 л; для соков, богатых кислотами, достаточно 30-40 мг/л. Если сок получают при более высокой температуре (например, в южных странах), требуется до 200 мг/л сернистого ангидрида.

Воздействие на атмосферу. Из-за широкого использования сернистый ангидрид или диоксид серы является одним из основных газов, загрязняющих атмосферу. Наибольшую опасность представляет собой загрязнение соединениями серы, которые выбрасываются в атмосферу при сжигании угольного топлива, нефти и природного газа, а также при выплавке цветных металлов и производстве серной кислоты. Антропогенное загрязнение серой в два раза превосходит природное. Серный ангидрид образуется при окислении сернистого ангидрида. Конечным продуктом реакции является аэрозоль или раствор серной кислоты в дождевой воде, который подкисляет почву, обостряет заболевания дыхательных путей человека. Выпадение аэрозоля серной кислоты из дымовых факелов химических предприятий отмечается при низкой облачности и высокой влажности воздуха. Растения около таких предприятий обычно бывают густо усеяны мелкими некротическими пятнами, образовавшихся в местах оседания капель серной кислоты. Пирометаллургические предприятия цветной и чёрной металлургии, а также ТЭС ежегодно выбрасывают в атмосферу десятки миллионов тонн серного ангидрида. Наибольших концентраций сернистый газ достигает в северном полушарии, особенно над территорией США, зарубежной Европы, европейской части России, Украины. В южном полушарии оно ниже.

Ртуть. Помимо предприятий химической промышленности, источником загрязнения окружающей среды ртутью являются тепловые электростанции, работающие на угле (при его сжигании происходит испарение и выделение паров ртути в атмосферу). В мусоре, который муниципальные учреждения, медицинские организации и каждый из нас выбрасывает в мусорный бак — батарейки, электрические приборы, флуоресцентные лампы, пластик, термометры — присутствуют соединения ртути. Оказавшись на свалке, ртуть может «вырваться на свободу»: попасть в подземные воды или испариться в атмосферу. В случае сжигания подобных отходов на мусоросжигательных заводах происходит загрязнение воздушной среды, выделившейся в процессе горения ртутью. Ртуть используется и при протравливании семян для защиты от возбудителей болезней растений.

Как и любой другой химический элемент, ртуть, являясь составной частью литосферы Земли, не может ниоткуда взяться и никуда исчезнуть. В ходе своего круговорота, находясь в беспрестанном движении, она постоянно изменяет своё физическое состояние и химическую форму. С конца XVIII столетия, когда ртуть стала интенсивно использоваться человеком, поступление ртути в окружающую среду многократно возросло. Ежегодно в атмосферу выбрасывается до 80 тыс. т ртути в виде паров и аэрозолей. Ртуть и её соединения мигрируют в почву и растения, водоёмы. В водной среде происходит образование метилртути, которая в дальнейшем через цепочки включается в организм человека.

У пострадавших наблюдаются расстройства речи и слуха, нарушения движения, поражение нервной системы. Повышенное содержание ртути у беременных женщин приводит к рождению детей с патологией и высокой смертности среди новорождённых.

Ртутное отравление получило название «болезнь Минамата». Первая массово его вспышка была зафиксирована в 1956 г., после сброса сточных вод химической фабрики, расположенной у реки Минамата на юго-запаДе ЯпОнИИ. Ртуть через метаболическую цепочку накапливалась в рыбе; поражённые рыбы теряли поДвиэјсность и становились лёгким уловом.

Ещё одна вспышка этого заболевания произошла также в Японии, в 1964-1965 гг. в предместье города Ниагата Оно не пощаДило и Другие регионы. Симптомы болезни отмечены Даже в рыбацких посёлках бассейна Амазонки, где Добыча золота привела к использованию ртути.

В начсие 1970-х годов правительство Ирака закупило семенное зерно, протравленное метит ртутью. Несмотря на преДупрежДения крестьяне стати употреблять его в пищу. В результате от отравления погибли несколько сотен человек. Ансиогичные (но менее массовые) случаи были в Гватемале в сереДине 60-х годов ХХ в.

Свинец. Источником загрязнений является автомобильный транспорт, выбросы металлургических предприятий. Свинец выделяется с выхлопными газами автомобилей, является ядом замедленного действия. Свинец и его соединения токсичны, относятся к наиболее опасным и распространенным в окружающей среде. Ежегодно выбрасывают 25000 тонн свинца, а вкупе с промышленностью около 440000 тонн. Попадая в организм, свинец накапливается в костях и печени, вызывая тс разрушение. Для свинца установлены жесткие предельно нормы ПДК, в объектах окружающей среды согласно САНПИН, регламентируется допустимое количество: в мясе — 0.5 мг/кг, в молоке — 0.1 мг/кг.

Попадая в организм человека, свинец блокирует работу белков-ферментов. В присутствии свинца сильнее проявляется эффективность канцерогенов — веществ, вызывающих раковые заболевания.

Первые симптомы свинцового отравления характеризуются повышенной активностью и бессонницей, на смену которым приходит утомляемость, депрессия, расстройства пищеварительной системы, нарушения химического состава крови, нервной и сердечно-сосудистой систем. Симптомы: усталость, кишечные колики, бледность КОЖнЫХ покровов, по краям десен появляется тёмная ”свинцовая кайма” Повышенные концентрации вызывают у беременных женщин преждевременные роды, у мужчин - половое бессилие. В целом, свинец, попадая в организм человека, разрушает нервные юлетки, вызывает параличи.

В Дрезнем Риме использоватся свинцовый водопровод, кухонная утварь И сосуды Для питья. В результате элита подзергалась хронической интоксикации. Не стато ли это одной из причин паДения Римской империи?

Кадмий. Загрязнение кадмием возникает вследствие деятельности, непосредственно связанной с его применением (электронная промышленность), использования фосфорных удобрений, разработкой рудников. Он выбрасывается в атмосферу при сжигании полимеров, ископаемого топлива (например, на электростанциях, работающих на угле), В быту кадмий находит применение в аккумуляторах, батарейках, пластмассах и некоторых сплавах. Кадмий достаточно хорошо растворим в воде, и один из путей его попадания в окружающую среду — сточные воды. Это опасный канцероген, он обладает способностью накапливаться в тканях растений, животных и человека, почти не выделяясь. Кадмий накапливается в печени и почках, из организма выводится в течении 30 лет, обладает мутагенными свойствами. Пары

кадмия токсичны.

Итай-итай было первым описанным заболазанием, вызванным загрязнением окружающей среды. В Японии каДмий попач в реку Дзинцу вместе со сточными воДами. Вода реки использоваиась Для полива плантаций риса и соц — основных продуктов питания. В результате заболело около З тыс. человек,

СтраДающие итай-итай чувствуют мучительную боль во всех частях тела (отсюДа и произошло название болезни: «итай» по-японски означает «больно»). КаДмий нарушает кальциевыЙ обмен, поэтому страДает костная система организма, она становится чрезвычайно хрупкой и ломкой. Нарушается работа почек.

Пестициды.

Пестициды применяются в сельском хозяйстве для защиты от вредителей. В настоящее время это понятие (от лат. pestis — зараза и caedere — убивать) используется в более широком смысле: это


собирательный термин, охватывающий все химические вещества, используемые для борьбы с различными видами вредных организмов. К пестицидам причисляют и регуляторы роста растений, регуляторы роста насекомых и многие другие вещества. Естественно, эти вещества могут быть токсичными и для человека. Пестициды могут быть причиной рака у людей, приводить к генетическим нарушениям у потомства, вызывать аллергические, сердечно-сосудистые и другие заболевания. В сельском хозяйстве применяется около 70 различных пестицидов, Характер их действия на человека зависит от химических свойств этих веществ, конкретных условий воздействия. По данным Всемирной организации ежегодно пестицидами отравляются 500 тыс. чел., более 5 тыс. — со смертельным исходом.

Во время вьетнамской войны американские военные применяли Для «вы-куривания» из Джунглей противника ставший печально известным Дефолиант «ЭйДжент оранДж». Спустя некоторое время стаци наблюДаться нарушения зДоровья у американских военных, участвовавших в боевых Действиях, и в 1984 г. американские ветераны войны 60 Вьетнаме Добшшсь от химических компаний выплаты 180 млн долл. США за вред, нанесенный им при использовании «Эйс)жент оранДж» в ходе боевых ДеЙствиЙ. Аналогичный иск поДачи и вьетнамские гражДане, которые постраДшш в 1965—1971 гг., оДнако он был отклонен. По некоторым оценкам, в результате отравления Диоксинами серьезные проблемы со зДоровьем возникли у миллиона человек; в районах, где применялось опасное вещество, отмечены более частые случаи рожДения Детей без глаз, рук и Другие врожденные уроДства.Другой пример

ДихлорДифенилтрихлорэтан (или просто ДДТ). Его открытие было отмечено Нобелевской премией (1948), но позже оказааось, что вреДное возДействие ДДТ настолько велико, что применение его сейчас запрещено. Тем не менее, его широкое использование в прошлом привело к тому, что ДДТ нахоДят за тысячи километров от места применения — Даже в тканях антарктических пингвинов.

Нитраты, нитриты.

Нитраты — это соли азотной кислоты, широко распространены в окружающей среде, входят в состав удобрений. Наибольшее количество накапливается в шпинате, свекле, салате. Нитраты входят в состав пищевых добавок, которые служат для увеличения срока хранения и усиления вкусовых характеристик.

Нитриты — приводят кислородному голоду, расстройствам желудочно- кишечного тракта. Отравление нитратами наступает от 200 до ЗОО мг, у детей 10 мг. Отсутствие сладкого вкуса, несозревшие семена, неясно выраженный аромат, сосудистая сетка в мякоти свидетельствуют о наличии нитратов в плодах. Выводятся нитраты через почки. В молодых растениях на 500/0 -700/0 больше нитратов чем в зрелых плодах. Способность накапливать зависит от вида и сорта растений, количеством вносимых удобрений, уровнем освещенности. Высокая освещенность уменьшает количество нитратов.

Применяющиеся для повышения урожайности удобрения также являются далеко не безопасными для человека. Соединения азота, содержащиеся в минеральных удобрениях, в почве превращаются в нитраты — соли азотной кислоты. При неправильном, избыточном применении растения не в состоянии усвоить все поступающие нитраты и превратить их в безвредные вещества. Отложенные ими «про запас» нитраты накапливаются в плодах. Картофель и другие овощи — основные поставщики нитратов в организм человека. При сбалансированном пищевом рационе на их долю приходится около 70 % суточной дозы, остальные попадают с водой, мясными и другими продуктами, Содержание нитратов зависит от условий выращивания растений, например, их содержание в тепличных растениях оказывается выше, чем в выращенных в открытом грунте. Сами по себе токсичны не столько нитраты, СкОлькО нитриты (соли азотистой кислоты), в которые нитраты превращаются в результате определенных реакций. В организме человека нитраты могут превращаться в нитроамины, являющиеся сильным канцерогеном.

Нитраты и нитриты применяются и при консервировании мяса для улучшения некоторых показателей мясных изделий. В мясной промышленности их используют в виде калиевых или натриевых солей для

Радиоактивные вещества

Вся живая и неживая природа на нашей планете подвергается радиоактивному излучению на протяжении всего своего существования. Избежать этого совершенно невозможно. Радиоактивные вещества могут находиться как внутри организма, так и вне него — это обусловлено в первую очередь наличием природного фона, который образуют изотопы естественного происхождения. Они присутствуют во всех оболочках земного шара: под землей, в почве, в воде, в воздухе. Условно радиоактивные вещества можно разделить на три большие группы: Изотопы, которые образуются из урана 232, тория 232 и актиноурана 235. Радиоактивные элементы калий 40, кальций 48, рубидий 87 и прочие, не связанные генетически с первой группой. Изотопы, которые образуются ходе ядерных реакций, беспрерывно идущих на Земле из-за воздействия космических лучей (например, углерод 14 и тритий З). В свою очередь, эти вещества делятся на естественные и искусственные радиоактивные. К естественным относятся изотопыдолгожители, которые существуют в природных соединениях элементов. Их период полураспада составляет от ста до тысячи лет.

Искусственная радиоактивность получается в результате ядерных реакций, запущенных человеком. Так, во время ядерного взрыва образуется порядка 250 изотопов, из которых 225 являются радиоактивными, Эти изотопы возникают в результате деления ядер так называемых «тяжелых» элементов и последующих продуктов их распада. Активность радиоактивного вещества напрямую зависит от числа ядер, распадающихся за определенный промежуток времени. Чем больше образуется ядер, тем выше активность. Непосредственную опасность радиоактивного излучения для живых организмов несут токсичные радионуклиды (Ra 226, Th 228, РЬ 21, Ru 106, Na 22, Sr 89 и др.), в состав которых входят неразделившиеся ядра атомов плутония и урана — т.е. часть ядерного горючего, которая не вступила в реакцию деления.

Человечество смогло создать больше двухсот искусственных радионуклидов и научилось использовать атомную энергию для самых различных целей, мирных и не очень. Так, энергию ядерного взрыва применяют в медицине, вооружении, для поиска залежей полезных ископаемых и в производстве недорогой энергии. Таким образом увеличиваются суммарные дозы облучения жителей Земли. Чаще всего радиоактивные вещества попадают в организм человека вместе с пищей, водой и воздухом. Количество и токсичность радионуклидов в пище определяется радиационной обстановкой, которая сложилась в данном регионе. Растения впитывают радиацию не только из почвы, но и из естественных осадков. Больше всего накапливается радионуклидов в капусте и свекле, а меньше всего их содержится в обычной траве. Очистка и последующая термическая обработка растений существенно снижает количество радиации в них. Например, при очистке картофеля и свеклы удаляется до 40 0,4 радионуклидов, а при варке — еще 10-15 0/0. При варке мяса животных радиоактивные вещества также переходят в отвар (от 200/0 до 50 0/0). Чтобы снизить содержание радионуклидов в молочных продуктах, их лучше всего переводить в жировые и белковые концентраты. В чем же состоит опасность радиоактивного излучения? Прежде всего, даже малые дозы его могут запустить в организме цепочку событий, которая приведет к генетическим отклонениям или раковым заболеваниям. Радиация в больших дозах разрушает клетки и ткани, вызывает гибель организма. На клеточном уровне повреждается механизм деления клетки и ее хромосомного аппарата, блокируются процессы обновления и образования клеток с последующей регенерацией тканей. Наиболее разрушительно радиоактивные вещества действуют на костный мозг, щитовидную железу, половые железы и селезенку то есть на те органы, которые требуют постоянного обновления меток и тканей.

Практическое занятие N2 2

«Расчет концентраций в атмосферном воздухе вредных веществ, содержащихся в выбросах предприятий и оценка состояния качества окружающей среды на производственном объекте» 4 часа

Цели:

Образовательная: научиться рассчитывать концентрации в атмосферном воздухе вредных веществ, содержащихся в выбросах предприятий и оценивать состояние качества окружающей среды на производственном объекте; научиться анализировать и прогнозировать экологические последствия различных видов производственной деятельности, оценивать состояние экологии окружающей среды на производственном объекте.

Развивающая: формирование умений использовать учебную литературу, инструктивно— методические указания СПщИиЬНО уполномоченных государственных органов по расчету концентраций в атмосферном воздухе вредных веществ, содержащихся в выбросах предприятий, соблюдать нормы экологической безопасности;

Воспитательная: содействовать сохранению окружающей среды, ресурсосбережению; эффективно действовать в чрезвычайных ситуациях; развивать самодисциплину и самоконтроль; стимулировать к самостоятельному принятию решений с последующей ответственностью за них.

Ход занятия (работы):

1. Теоретическая справка: инструктаж преподавателя о порядке выполнения работы:

-              прослушать объяснение преподавателем методики расчета концентрации в атмосферном воздухе вредных веществ, содержащихся в выбросах предприятий (изучить методику)

-              решить последовательно 4 практические задания по индивидуальному варианту согласно нормативно- методическим указаниям к выполнению задания и оформить отчет по практической работе в соответствии с требованиями к оформлению, представленными в данных методических указаниях; написать итоговый ответ, в который необходимо включить итоговые полученные значения;

-              сдать отчет по практической работе преподавателю на проверку в конце занятия

2.3адания к практическому занятию: для промышленного предприятия, расположенного на ровной местности, в соответствии с исходными данными, представленными в таблице 1 согласно своему иНДИВИДУапьнОМУ варианту, необходимо:

1)          рассчитать величину максимальной приземной разовой концентрации вредного вещества у земной поверхности, прилегающей к предприятию (расположенного на ровной местности в Московской области), при выбросе из трубы нагретой газовоздушной смеси и сравнить со среднесуточной предельно допустимой концентрацией;

2)          определить расстояние от источника выброса, на котором достигается величина максимальной приземной концентрации вредных веществ (по оси факела);

З) рассчитать значения приземных концентраций вредных веществ в атмосфере по оси факела выброса на расстояниях 5()м и 500м от источника выброса;

4) рассчитать предельно допустимый выброс вредного вещества.

Таблица 2.1 - Ва ианты для выполнения п

актического задания

Исходные данные к заданию

№ варианта

1

2

з

4

5

б

7

8

9

10

Фоновая концентрация вредного вещества в приземном воздухе

С , мг/мз

0,02

 

0,01

0,01

0,01

1,5

0,01

0,01

0,03

 

Масса вредного вещества, выбрасываемого в атмос еру, М, г/с

 

7,6

 

 

 

7,5

 

0,7

0,9

7,6

Расход газовоздушной смеси, выбрасываемой из бы, V1, м3

2,4

2,7

 

3,3

2,9

2,4

2,8

2,9

3,2

2,4

Разность между температурой выбрасываемой смеси и температурой окружающего воздуха

12

14

16

18

13

15

17

12

16

14

Высота убы Н, м

21

23

25

22

24

21

23

24

25

21

Диаметр устья трубы 1), м

 

0,9

0,8

 

0,9

 

 

0,9

 

 

Выбрасываемые вредные вещества

 

 

 

 

 

 

 

 

 

 

Примечание. В таблице цифрами обозначены выбрасываемые вещества: 1 - оксид азота (NO); 2 - оксид углерода (СО); З - диоксид азота (N02); 4 - диоксид серы (S02).

Нормативно- методические указания к выполнению задания

Все источники загрязнения атмосферного воздуха подразделяются на точечные (например: труба предприятия), плоскостные (свалка) и линейные (автомагистраль). При выполнении данной работы студенты знакомятся с методикой расчета уровня загрязнения атмосферного воздуха точечными источниками выбросов (рассчитывается концентрация загрязняющего вещества в воздухе на различных расстояниях от промышленных труб и дается вывод о влиянии данного предприятия на окружающую среду в данном районе путем сравнения расчетной концентрации загрязняющего вещества с его предельно допустимой средней суточной концентрацией в атмосфере населенных пунктов — ПДКс с.).

В ходе проводимых расчетов вначале определяется максимальная концентрация загрязняющего вещества в воздухе Ст, которая может быть достигнута при наиболее неблагоприятных метеорологических условиях (как правило, при опасной скорости ветра Um и на определенном от источника выбросов расстоянии хт). Затем определяется концентрация загрязняющего вещества в атмосферном воздухе ца заданном расстоянии 50 и 500 метров от источника выбросов.

Указанные ниже методы расчета максимальных разовых концентраций от выбросов одиночного точечного источника применяется при расчетах рассеивания выбросов от дымовых труб, вентиляционных шахт, а также от источников организованного выброса загрязняющих атмосферный воздух веществ из установленных отверстий (далее - от точечных источников выброса) при условии, что скорость wo выхода газовоздушной смеси (далее - ГВС) из устья источника выброса не превосходит скорости звука в атмосферном воздухе (принимается равной 330 м/с), а температура тг ГВС не превышает 3000 о с. В формулах, приведенных в данных методах, используются следующие единицы величин: единицы длины - в метрах (м), время - в секундах (с), мощность выброса загрязняющего вещества (ЗВ)- в граммах в секунду (Нс), его концентрация в атмосферном воздухе - в миллиграммах на кубический метр (мг/м3).

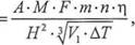
1. Максимальная приземная разовая концентрация ЗВ см, мг/мз, при выбросе нагретой ГВС из одиночного точечного источника с круглым устьем достигается при опасной скорости ветра им на расстоянии хм от источника выброса и определяется по формуле (1): см   (1)

где А - коэффициент, зависящий от температурной стратификации атмосферы, определяющий условия горизонтального и вертикального рассеивания ЗВ в атмосферном воздухе (определяем по таблице 2);

М - масса ЗВ, выбрасываемого в атмосферный воздух в единицу времени (мощность выброса), г/с;

17 - безразмерный коэффициент, учитывающий скорость оседания ЗВ (газообразных и аэрозолей, включая твердые частицы) в атмосферном воздухе (для газообразных вредных веществ

т и п - безразмерные коэффициенты, учитывающие условия выброса из устья источника выброса;

 - безразмерный коэффициент, учитывающий влияние рельефа местности (в случае ровной местности 0=1);

Н - высота источника выброса, м;

Vl - расход ГВС, м3/с;

ДТ - разность между температурой выбрасываемой ГВС тг и температурой атмосферного воздуха Тв, о с.

Щ, - расход газовоздушной смеси, выбрасываемой из трубы, м з [с Для определения См необходимо:

а) рассчитать среднюю линейную скорость уро ,М/С, выхода газовоздушной смеси из устья источника выброса по формуле 2

        (2) г х 02

где D - диаметр устья источника выброса, м;

Л, - расход газовоздушной смеси, выбрасываемой из трубы, м з

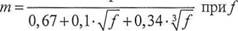
б) коэффициенты т и п определяются в зависимости от характеризующих свойства источника выброса параметров f и

 

н

14€ • D

f=1000.

(4)

= 0,65. з(3)

в) Коэффициент т определяется по формулам (5) - (6):

 

1

< 100 ,

(5)

1, 47

                                                             — про 2100

(б)

г) коэффициент п определить в зависимости от величины . Коэффициент п при f < 100 определяется по формулам (7) - (9):

п =   при Ч,(7) п = 0,532.ум2 -2,13.рм +3,13 при (8) п = 1 при ум 2,   (9)

2.          Расстояние Хм от источника выброса, на котором приземная концентрация с ЗВ

при неблагоприятных метеорологических условиях достигает максимального значения См, определяется по формуле (10): хм          (10)

4

Безразмерный коэффициент d при f< 100 находится по формулам (11) - (13)

(11)

                                                                                                                             S 2                                     (12)

(13)

Опасная скорость ветра им на стандартном уровне флюгера (10 м от уровня земли), при которой достигается наибольшая приземная концентрация ЗВ См, в случае f < 100 определяется по формулам (14 - 16):

им = 0,5 при ум 0,5,  (14), им = Ч, при 0,5 2, (15) им = ум при Ум >2, (16)

3.          При опасной скорости ветра Хм приземная концентрация ЗВ с в атмосферном воздухе на оси факела от точечного источника, определяемой как геометрическое место точек в пространстве, которые на каждом заданном расстоянии от источника соответствуют максимальному значению концентрации ЗВ, а также как их проекция на подстилающую поверхность (то есть на взаимодействующую с атмосферой поверхности земли, в том числе, почву, поверхностные воды, снежный и растительный покров), на различных расстояниях Х от источника выброса вычисляется по формуле (17).

Значения приземных концентраций вредных веществ Сх в атмосфере по оси факела выброса на различных расстояниях от источника выброса при опасной скорости ветра определяется по формуле:

Сх = • См,      (17) где безразмерный коэффициент, определяемый в зависимости от отношения х/хм безразмерный коэффициент, определяемый в зависимости от отношения Х/Хм

                                                       = З (х/хм)4 - 8 • (х/хм)3 + 6 • (х/хм)2 прих/хм 1,                                       (18)

1,13

                                                              при 1 к х / хм 58,                                           (19)

4.          Расчет предельно допустимого выброса нагретого вредного вещества (ПДВ) (г/с) для одиночного источника с круглым устьем в производится по формуле случаях Сф < ПДК:

(ПДК- ч) н 2 пдв =        з 767

                                                                                                                                                         (20)

Таблица 2.2 - Значения коэф ициента А

 

п/п

Регион

Коэффициент

 

1.

Республика Бурятия и Забайкальский край

250

 

2.

Районы европейской территории Российской Федерации южнее 50 0 с. ш., остальные районы Нижнего Поволжья, азиатская территория Российской Федерации, кроме указанных в пунктах 1 и З настоящей Таблицы

200

 

З.

Европейская территория Российской Федерации и Урала от 500 с. ш. до 520 с. ш. включительно, за исключением попадающих в эту зону районов, перечисленных в пунктах 1 и 2 настоящей Таблицы, а также для районов

180

п/п

Регион

Коэффициент

 

 

азиатской территории Российской Федерации, расположенных к северу от Полярного круга и к западу от меридиана 108 0 в.д.

 

 

4.

Европейская территория Российской Федерации и Урала севернее 52 0 с,

ш. (за исключением центра европейской территории Российской федерации)

160

 

5.

Владимирская, Ивановская, Калужская, Московская, Рязанская и Тульская области

140

 

Для источников выбросов, расположенных на расстоянии менее З км от административных границ, разделяющих территории с различными значениями коэффициента А, в расчетах принимается А, равное половине суммы указанных значений. При проведении расчетов для российских территорий, расположенных на расстоянии не более 10 км от границы зон с различными коэффициентами А, значения коэффициента А могут быть уточнены с учетом климатических и физико-географических условий рассматриваемой местности.

Таблица 2.3 - Предельно доп стимая КОНЦеН ация в едного вещества

 

Наименование вещества

 

 

максимальная разовая

среднесуточная

1

Азота оксид М)

 

 

0,6

006

2

Угле ода оксид СО

 

4

5,0

3 0

з

Азота диоксид 02

 

2

0,085

0,04

4

Серы диоксид S 02

 

 

 

0,05

Контрольные вопросы:

1.               По какой формуле рассчитывается максимальная приземная разовая концентрация загрязняющего вещества при выбросе нагретой ГВС из одиночного точечного источника с круглым устьем?

2.               Как рассчитать расстояние Хм от источника выброса, на котором приземная концентрация с ЗВ при неблагоприятных метеорологических условиях достигает максимального значения?

З. В каких физических единицах измеряется максимальная приземная разовая концентрация ЗВ?

4.      От чего зависят значения коэффициента А?

5.      В каких единицах измеряется рассчитываемый предельно допустимый выброс нагретого вредного вещества?

СПИсОк используемой литературы

Основные источники:

1. Постановление Правительства РФ от 2 марта 2000 г. 183 п о нормативах выбросов вредных (загрязняющих) веществ в атмосферный воздух и вредных физических воздействий на него“ (с изм. от 14 июля 2017 г.) Н https://base.garant.ru

З. Постановление Правительства РФ от 16.05.2016 N 422 ”Об утверждении Правил разработки и утверждения методик расчета выбросов вредных (загрязняющих) веществ в атмосферный воздух стационарными источниками”// Собрание законодательства РФ. „2016.- N 21.- ст. 3018;

4, Приказ Министерства природных ресурсов и экологии Российской Федерации от

06.06.2017 г. лг2 273 ”06 утверждении методов расчетов рассеивания выбросов вредных (загрязняющих) веществ в атмосферном воздухе”// http://publication.pravo.gov.ru

Дополнительные источники:

1. Постановление Главного государственного санитарного врача Российской Федерации от

28 января 2021 года N 2 Об утверждении санитарных правил и норм СанПиН 12.3685-21 ”Гигиенические нормативы и требования к обеспечению безопасности и (или) безвредности для человека факторов среды обитания“ [Текст] Н http://www.pravo.gov.ru

2. Кирсанов, Ю. Г. Оценка воздействия выбросов вредных веществ на атмосферный воздух : учеб. пособие / Ю. Г. Кирсанов ; [науч. ред. М. Г. Шишов] ; М-во образования и науки Рос. Федерации, Урал. федер. ун-т. — Екатеринбург : Изд-во Урал. ун-та, 2018.—110 с.

Практическое занятие М З «Показатели воздействия на окружающую среду предприятиями группы «Газпром» 4 часа

Цели:

Образовательная: ознакомиться с официальными отчетами промышленных предприятий в сфере экологии и охраны окружающей среды на примере ПАО «Газпром», получить представление об объемах загрязнения атмосферного воздуха стационарными и передвижными источниками загрязнения, объемах сбросов промышленных сточных вод, объемах размещения отходов производства и потребления; получить представление о проводимых в дочерних обществах ПАО «Газпром» мероприятиях по уменьшению наносимого экологического ущерба, снижению ресурсоемкости производства определять направления ресурсосбережения в рамках профессиональной деятельности по специальности;

Развивающая: на примере ПАО «Газпром» как крупнейшего промышленного нефтегазового предприятия России получить представление об основных источника и масштабах образования отходов производства, научиться анализировать и прогнозировать экологические последствия различных видов производственной деятельности, оценивать состояние экологии окружающей среды на производственном объекте; формирование умений использовать учебную литературу и другие информационные источники, в том числе web-pecypcw,

Воспитательная: содействовать сохранению окружающей среды, ресурсосбережению, эффективно действовать в чрезвычайных ситуациях; развивать самодисциплину и самоконтроль; стимулировать к самостоятельному принятию решений с последующей ответственностью за них.

Ход занятия (работы):

1 Теоретическая справка: инструктаж преподавателя о порядке выполнения работы:

- прослушать объяснение преподавателем методики выполнения практического задания, работы с Экологическим отчетом ПАО «Газпром» за последний истекший год»;  ознакомиться с информацией, содержащейся в разделе Экологического отчета «Показатели воздействия на окружающую среду и энергосбережение», проанализировать информацию, графики, схемы и ответить последовательно на 13 вопросов задания, оформив отчет по практической работе в соответствии с требованиями к оформлению, представленными в данных методических указаниях;

- сдать отчет по практической работе преподавателю на проверку в конце занятия

2.3адания к практическому занятию:

1.                      Ознакомьтесь с материалом Экологического отчета ПАО «Газпром», размещенного на официальном сайте кампании;

2.                      Ответьте на контрольные вопросы:

1)         Каковы валовые выбросы загрязняющих веществ (ЗВ) в атмосферный воздух от стационарных источников предприятиями группы Газпром? Сколько было уловлено и обезврежено на установках очистки отходящих газов?

2)         Какова доля различных предприятий, входящих в группу Газпром в формировании объема выбросов в атмосферный воздух в последнем прошедшем году, в 0/0?

З) Назовите компонентную структуру выбросов в атмосферный воздух компаний газового комплекса, какие из загрязняющие вещества (ЗВ) являются основными?

4)             Отразите схематично динамику выбросов ЗВ в атмосферный воздух от стационарных источников ПАО «Газпром» за последние пять лет

5)             Проследите динамику парниковых газов от объектов ПАО «Газпром» за этот же период.

6)             Что такое попутный нефтяной газ (ПНГ), из чего она состоит и почему его сжигание в факелах является экономически и экологически нецелесообразным? К какому уровню утилизации попутного нефтяного газа должны стремиться нефтегазовые компании согласно Постановлению Правительства Российской Федерации №7 от 8 января 2009 года?

7)             Каков уровень использования ПНГ по группе Газпром в целом, в дочерних обществах ПАО «Газпром» в последнем прошедшем году г? За счет каких мероприятий повысился уровень угилизации ПНГ? Каковы пути возможного полезного использования ПНГ?

8)             Каков объем забранной воды для целей водоснабжения, сколько было использовано на собственные нужды и из каких источников (в%) была забрана вода компаниями газового комплекса (бизнеса)?

9)             Каков объем сброшенных сточных вод и их качество?

10)         Каков объем образования отходов предприятиями Группы Газпром за последний прошедший год, и какой сегмент группы Газпром вносит существенный вклад в их образование?

11)         Назовите основные отходы и какова структура образовавшихся отходов по классам опасности?

12)         Какова структура обращения с отходами производства и потребления в последнем прошедшем году в целом по группе Газпром, в частности с нефтесодержащими отходами и отходами бурения?

13)         Какова площадь нарушенных и рекультивированных земель предприятиями группы Газпром? Что такое рекультивация земель и почему она важна?

Список используемой литературы

Основные источники:

1. Завгороднев А.В., Хованский А.Д., Маслова Е.В., Коняев СВ. Организация природоохранной деятельности на газотранспортных предприятиях. Учебно-методическое пособие для инженеров по охране окружающей среды / под ред. А.В. Завгороднева, А. Д. Хованского. — Ставрополь: Дизайн-студия Б, 2014

2.0храна окружающей среды на предприятиях отрасли: учебное пособие [Текст] / ВВ. Зиновьев, А.В. Завгороднев, А.Г. Ишков, А,Д. Хованский и др. - Ростов-на-Дону: Наш регион, 2008. - 84 с.

Интернет — ресурсы:

1 Охрана природы в ПАО «Газпром»: сайт. - URL: http://www. gazprom.ru/nature/.

Практическое занятие № 4

«Изучение нормативно-правовой документации о планировании, осуществлении производственного экологического контроля и об отчете о его проведении» 2 часа

Цели:

Образовательная: ознакомиться с нормативной документацией, регламентирующей методы экологического регулирования, понятие и принципы мониторинга окружающей среды, правовые и социальные вопросы природопользования и экологической безопасности;

Развивающая: научиться анализировать и прогнозировать экологические последствия различных видов производственной деятельности, соблюдать в профессиональной деятельности регламенты экологической безопасности; формирование умений использовать учебную литературу, нормативно-правовую документацию и другие информационные источники, в том числе webресурсы;

Воспитательная: содействовать сохранению окружающей среды, ресурсосбережению, эффективно действовать в чрезвычайных ситуациях; развивать самодисциплину и самоконтроль; стимулировать к самостоятельному принятию решений с последующей ответственностью за них.

Ход занятия (работы):

1 Теоретическая справка: инструктаж преподавателя о порядке выполнения работы:

-                       прослушать объяснение преподавателем методики выполнения практического задания, работы с нормативно-правовыми документами, регламентирующими планирование, осуществление производственного экологического контроля (далее- ПЭК) и сдачу отчетности по результатам осуществления ПЭК;

-                       ознакомиться с информацией, содержащейся в нормативно-правовыми документами, регламентирующими планирование, осуществление ПЭК и сдачу отчетности по результатам осуществления ПЭК, найти необходимые ответы для заполнения таблицы, приведенной в практической работе; заполнить таблицу недостающими данными, оформив отчет по практической работе в соответствии с требованиями к оформлению, представленными в данных методических указаниях;

-                       сдать отчет по практической работе преподавателю в конце учебного занятия.

2.3адания к практическому занятию:

1)                  ознакомиться в печатной или игеЬ-версии со следующими документами:

1. Приказ, ГОСТ Р 56061-2014 «Производственный экологический контроль. Требования кпрограмме производственного экологического контроля».

2. Приказ, ГОСТ Р 56062-2014 «Производственный экологический контроль. Общие положения»;

З. Приказ Министерства природных ресурсов и экологии РФ от 18 февраля 2022 года 109 «Об утверждении требований к содержанию программы производственного экологического контроля, порядка и сроков представления отчета об организации и о результатах осуществления производственного экологического контроля»

2)                  заполнить таблицу недостающими данными, найдя нормативно- правовые требования к планированию, осуществлению и отчетности по результатам проведения ПЭК.

Краткие теоретические сведения

На каждом промышленном предприятии должна действовать система производственного контроля, одна из составляющих которого экологический контроль. Производственный экологический контроль (ПЭК) в соответствии со статьей 67 Федерального Закона Российской Федерации от 10.012002 № 7-ФЗ «Об охране окружающей среды», осуществляется в целях обеспечения выполнения в процессе хозяйственной и иной деятельности мероприятий по охране окружающей среды, рациональному использованию и восстановлению природных ресурсов, а также в целях соблюдения требований в области охраны окружающей среды, установленных законодательством в области охраны окружающей среды. Юридические лица и индивидуальные предприниматели, осуществляющие хозяйственную и (или) иную деятельность на объектах 1, П и III категорий, разрабатывают и утверждают программу ПЭК, осуществляют производственный экологический контроль в соответствии с установленными требованиями, документируют информацию и хранят данные, полученные по результатам осуществления ПЭК.

ПЭК представляет собой совокупность мер, цель которых в предотвращении, обнаружении и сокращении числа нарушений в сфере охраны окружающей среды. Процедура возлагается на экологическую службу организации, контролируется главным инженером, и преследует целью мониторинг исполнения в процессе хозяйственной и другой деятельности планов и мероприятий по охране природы, рациональному использованию и восстановлению природных ресурсов, соблюдению требований качества. ПЭК ограничен рамками технологического производственного цикла и имеет целью подтверждение соблюдения предприятием природопользователем установленных экологических стандартов, нормативов и правил, а также выполнения природоохранных мероприятий.

В настоящее время при осуществлении контроля и составлении ПЭК нужно ориентироваться на документы, приведенные в списке основных источников для данной практической работы. С тремя из них из них необходимо ознакомиться для выполнения данной практической работы.

Таблица4.1- Т ебования но мативно-

авовоЙ док ентации к ПЭК

N2

11/11

Нормативноправовое требование

п и одопользователю

Детализация требования нормативной до ментации к ПЭК

Содержание нормативно-правового требования к ПЭК

1

Регламентация ПЭК

Документы, регламентирующие пэк

1

2)

3)

4

5

2

Планирование производственного экологического контроля: программа ПЭК

Кто разрабатывает и утверждает программу ПЭК

 

Срок   действия п ограммы ПЭК

 

Какие сведения о предприятии природопользователе учитывают при разработке программы ПЭК

 

Основные разделы программы ПЭК и краткое содержание согласно Приказу Минприроды

России от 18 февраля

2022              109

1)

2)

3)

4)

5)

6)

7)

З

Осуществление ПЭК

формы проведения ПЭК и их содержание

1

2

 

4

Отчетность   по рез льтатам ПЭК

Виды отчетности по ез льтатам ПЭК

 

5

Порядок и сроки представления отчета об организации и о результатах осуществления ПЭК согласно Приказу Минприроды России от 28 февраля 2018 г.

74

Сроки предоставления отчета

 

Форма предоставления отчета

 

Кто     управомочен подписать отчет

 

Список используемой литературы

Основные источники:

1.       Производственный экологический контроль в организациях: учебник/ Г.С. Щербакова,

М.А. Яшин, НС. Кухарь и др.-256с, 2017 г.

2.       Федеральный закон № 7-ФЗ от 10.01.2002 «Об охране окружающей среды»;

З. Постановление Правительства РФ от 31 декабря 2020 г. ГМ 2398 ”06 утверждении критериев отнесения объектов, оказывающих негативное воздействие на окружающую среду, к объектам 1, П, 111 и IV категорий“ [Текст] Н http://www.pravo.gov.ru

4. Постановление Правительства РФ № 903 от 28.08.2015 «Об утверждении критериев определения объектов, подлежащих федеральному государственному экологическому надзору»; 5. Федеральный закон № 96-ФЗ от 4.05.1999 «Об охране атмосферного воздуха»;

6.                     Федеральный закон № 89-ФЗ от 24.06.1998 «Об отходах производства и потребления»;

7.                     Приказ, ГОСТ Р 56061-2014 «Производственный экологический контроль. Требования к программе производственного экологического контроля».

8.                     Приказ, ГОСТ Р 56062-2014 «Производственный экологический контроль. Общие положения»;

9.                     Приказ, ГОСТ Р 56059- 2014 «Производственный экологический мониторинг. Общие положения»;

10.                 ГОСТ Р 56060- 2014 «Производственный экологический мониторинг. Мониторинг состояния и загрязнения окружающей среды на территориях объектов размещения отходов»;

11.                 ГОСТ Р 56063- 2014 «Производственный экологический мониторинг. Требования к программам производственного экологического мониторинга».

12.                 Приказ Министерства природных ресурсов и экологии РФ от 18 февраля 2022 года N 109 «Об утверждении требований к содержанию программы производственного экологического контроля, порядка и сроков представления отчета об организации и о результатах осуществления производственного экологического контроля»

13.                 СТО Газпром 2-1.19-275-2008 «Охрана окружающей среды на предприятиях ОАО «Газпром». Производственный экологический контроль. Общие требования».

Практическое занятие N2 5

«Юридические составы и административная ответственность за экологические правонарушения» 2 часа

Цели:

Образовательная: изучить составы некоторых административных правонарушений, закрепленных в главе 8 КОАП РФ, получить представление о применяемых к нарушителям физическим И юридическим лицам административных взысканий; определять задачи и цели природоохранных органов управления и надзора;

Развивающая: научиться анализировать и прогнозировать экологические последствия различных видов производственной деятельности, оценивать состояние экологии окружающей среды на производственном объекте; формирование умений использовать нормативно-правовые акты административного законодательства, учебную литературу и другие информационные источники, в том числе web-pecypcw,

Воспитательная: содействовать сохранению окружающей среды, ресурсосбережению, эффективно действовать в чрезвычайных ситуациях; развивать самодисциплину и самоконтроль; стимулировать к самостоятельному принятию решений с последующей ответственностью за них.

Ход занятия (работы):

1. Теоретическая справка: инструктаж преподавателя о порядке выполнения работы:

-                    прослушать объяснение преподавателем методики выполнения практического задания,  изучить составы административных правонарушений, главе 8 «Административные правонарушения в области охраны окружающей среды и природопользования»

-                    рассмотреть пример записи характеристики состава административного правонарушения

(таблица 1), типовой ситуационной задачи;

-                    последовательно заполнить таблицу как форму отчета по практическому заданию и решить эколого-правовую ситуацию согласно своему варианту;

-                    оформить отчет по практической работе в соответствии с требованиями к оформлению, представленными в данных методических указаниях;

-                    сдать отчет по практической работе преподавателю на проверку в конце занятия 2.3адания к практическому занятию:

1.                Ознакомьтесь с юридическими составами административных правонарушений, указанных в соответствующих статьях главы 8 «Административные правонарушения в области охраны окружающей среды и природопользования», а также с государственными контролирующими органами, имеющими право составлять административные протоколы и привлекать виновных лиц к административной ответственности за их совершение;

2.                Заполните таблицу 1 «Характеристика юридических составов и административная ответственности за экологические правонарушения», пользуясь нормами главы 8 «Административные правонарушения в области охраны окружающей среды и природопользования»;

З. Решите эколого-правовую ситуацию согласно своему варианту, пользуясь нормами главы 8 «Административные правонарушения в области охраны окружающей среды и природопользования» и главы 23 «Судьи, органы, должностные лица, уполномоченные рассматривать дела об административных правонарушениях», оформите отчет по практической работе и сдайте отчет преподавателю в конце учебного занятия.


Таблица 5.1 - Характеристика юридических составов и административная ответственности за экологические п авона ушения»

Статья

КоАП РФ

Формулировка юридического состава

Административные наказания за экологическое п авона шение

Правоприменяю щий орган

Статья

8.2.

(пример)

Несоблюдение требований в области охраны            окружающей среды при      сборе, накоплении, транспортировании, обработке, утилизации или     обезвреживании отходов производства и потребления, за исключением случаев, предусмотренных статьей 8.2.3 настоящего Кодекса

административный штраф на граждан в размере от 1до 2 тыс руб; на должностных лиц - от 10 тыс до 30 тыс руб; на лиц, осуществляющих предпринимательскую деятельность без образования юридического лица (далее- ИГТ), - от 30 тыс руб до 50 тыс руб или административное приостановление деятельности на срок до 90 суток; на юридических лиц - от 100 до 250 тыс руб или административное приостановление деятельности на с ок до 90 суток.

Роспотребнадзор,

Росприроднадзор,

Ространснадзор,

Судья, ОВД

Статья

8.5.

 

 

 

Статья

8.6

 

 

 

Статья

8.7.

 

 

 

Статья

8.10.

 

 

 

Статья

8.13.

 

 

 

Статья

8.21.

 

 

 

Статья

8.23.

 

 

 

Статья

8.35

 

 

 

Статья

8.39

 

 

 

Статья

 

 

 

Пример решения ситуационной задачи

Условие: Из средств массовой информации стало известно следующее,

Житель Волгограда по электронной почте сообщил сотрудникам облкомприроды о том, что с автомобиля КАМАЗ прямо на землю вблизи жилого дома по улице Морфлотская Ворошиловского района Волгограда были сброшены жидкие отходы. К письму бдительный волгоградец приложил фотографии автомобюиля-нарушителя, что позволило найти его в кратчайшие сроки.

Как сообщили РИАЦ в пресс-службе облкомприроды, в ходе административного расследования выяснилось, что КАМАЗ принадлежит компании «Стройсервис», которая осуществляла ремонт водопровода по улице Морфлотская. Проводя подготовительные работы, коммунальщики промыли систему, а загрязнённую воду закачали в ёмкость автомобиля КАМАЗ. Как было установлено, впоследствии эти жидкие отходы водитель большегруза сбросил неподалёку прямо на почву.

Как показали анализы, проведённые городской лабораторией, в отходах содержались загрязняющие вещества, в частности, алюминия, почти в два раза превышающие нормы,

Кроме того, «Стройсервис» нарушил ряд иных требований природоохранного законодательства. Так, на момент проверки у предприятия отсутствовали необходимые документы, а также обученные по работе с отходами специалисты. За данные нарушения компания была оштрафована.

Однако вскоре выяснилось, что во время проведения административного расследования тот же водитель КАМАЗа повторно совершил аналогичное правонарушение. В этот раз он слил отходы с автомобиля в централизованную систему водоотведения вместо того, чтобы отвезти их на специализированный пункт. За это компания была оштрафована ещё,

Добавим, что за совершенные правонарушения ООО «Стройсервис» также понесёт затраты, связанные с возмещением вреда, нанесённого окружающей природной среде.

Задание: состав какого административного правонарушения содержится в действиях компании «Стройсервис»? По какой статье КОАП будет составлен протокол об административном правонарушении? Назовите возможные административные наказания, содержащиеся в санкции данной статьи.

Решение: в действиях компании «Стройсервис» содержится состав административного правонарушения, предусмотренного частью 4 ст. 8.2. КоАП РФ «Несоблюдение требований в области охраны окружающей среды при обращении с отходами производства и потребления»«Несоблюдение требований в области охраны окружающей среды при размещении отходов производства и потребления, за исключением случаев, предусмотренных статьей 8.2.3 настоящего Кодекса».

Протокол об административном правонарушении будет составлен по ч. 4 ст. 8.2. КоАП РФ. Возможные административные наказания, содержащиеся в санкции ч.4 ст. 8.2 КоАП РФ, для юридических лиц (предприятия)- наложение административного штрафа от трехсот тысяч до четырехсот тысяч рублей или административное приостановление деятельности на срок до девяноста суток.

Варианты эколого-правовых ситуаций:

Вариант N2 1

Полиция установила виновника загрязнения Енисея нефтепродуктами на юге Красноярского края: им оказался житель Абакана, который на грузовике съехал в водоем, сообщила мэрия Минусинска.

26 марта 2017 г. в районе села Топольки Минусинского района обнаружен слив химических веществ (предположительно, дизельное топливо) в протоку реки Енисей, Площадь пятна с загрязняющими веществами составила 10 тысяч квадратных метров. С учетом движения воды возникла опасность прохождения пятна через территорию города Минусинска.

«Сотрудники МО МВД России ”Минусинский” составили административный протокол в отношении мужчины, разлившего нефтепродукты. В ходе проведения оперативно-розыскных мероприятий сотрудниками полиции было установлено, что 38-летний житель города Абакана, двигаясь на грузовом автомобиле, допустил съезд в •водоем. Из-за неисправного технического состояния транспортного средства произошел разлив нефтепродукта“, — говорится в сообщении мэрии Минусинска.

Задание: состав какого административного правонарушения содержится в действиях 38летнего жителя города Абакана. По какой статьи КОАП будет составлен административный протокол? Назовите возможные административные наказания, содержащиеся в санкции данной статьи.

Вариант N2 2

Агентство РИА Новости 20 апреля сообщило, что нефтяное загрязнение берега Амура в Хабаровске покрылось водой, и теперь токсичные отходы направляются к водозаборам Комсомольска—на—Амуре, сообщило региональное отделение ОНФ. Ранее сообщалось, что, по данным Общенародного фронта, размер пятна составлял более 400 квадратных метров на берегу и более 100 квадратных метров в акватории Амура. Департамент Росприроднадзора по ДФО возбудил административное дело по факту разлива нефтепродуктов. СУСК таюке возбудило дело; по версии следствия, 16 марта в районе ТЭЦ-2 в Хабаровске на поверхности воды в акватории реки Амур и на берегу обнаружены жидкие токсичные отходы, содержащие нефтепродукты, их концентрация превысила допустимые нормативы, что создало угрозу загрязнения реки и причинило существенный вред окружающей среде.

”Сотни кубических метров пораженного нефтепродуктами грунта уже скрылись под водой”, — говорится в сообщении регионального отделения ОНФ.

По словам руководителя центра общественного мониторинга по проблемам экологии и защиты леса хабаровского отделения ОНФ Владимира Сидорова, сейчас нефтепродукты вымываются рекой и направляются к водозаборам Комсомольска—на—Амуре.

По данным ОНФ, нефтепродукты продолжают поступать в акваторию реки, а источник загрязнения по-прежнему неизвестен. Активисты не рекомендуют ловить рыбу в районе ТЭЦ-2 и ниже по течению, так как, по данным ОНФ, речь идет о как минимум 50-километровой зоне загрязнения.

Задание: состав какого административного правонарушения содержится в действиях правонарушителя (возможно, ТЭЦ-2). По какой статье КОАП Росприроднадзор по ДФО будет составлен административный протокол? Назовите возможные административные наказания, содержащиеся в санкции данной статьи.

Вариант N2 3

Промпредприятия, расположенные в Челябинске, нарушили правила выброса в атмосферу загрязняющих веществ, что привело к ухудшению состояния атмосферного воздуха в городе в январе. По данным прокуратуры региона, внепланово проверены 30 предприятий, расположенных в Челябинске, в том числе ”Фортум”, ”Мечел-Материалы”, ”Мечел-Кокс”, ”ЧМК” и ”ЧЭМК”. В ходе проверки произведены отборы проб и проведены лабораторные исследования качества атмосферного воздуха, уточняет прокуратура.

Согласно данных постов наблюдения, с 13 по 31 января в различных районах Челябинска наблюдалось превышение среднесуточных концентраций диоксида азота от 2 до 8 раз, оксида азота и фторида водорода — в 5 раз, фенола в З раза. Загрязнение воздуха в данный период произошло в связи с нарушением правил выброса в атмосферу загрязняющих веществ или нарушением эксплуатации установок, сооружений и иных объектов, допущенных промпредприятиями Челябинска.

Так как в действиях неустановленных ответственных лиц предприятий Челябинска усматриваются признаки состава преступления за “загрязнение атмосферы”, прокурор Челябинской области потребовал направить материалы проверки в ГУМВД России по региону для решения вопроса об уголовном преследовании.

Кроме того, вынесено пять постановлений о возбуждении дела об административном правонарушении за ”несоблюдение экологических требований при осуществлении эксплуатации предприятий”, которые направлены в Министерство экологии области, добавляется в сообщении.

Также руководителям пяти предприятий внесены представления об устранении нарушений федерального законодательства, объявлено предостережение о недопустимости нарушения закона.

Задание: состав какого административного правонарушения содержится в действиях промышленных предприятий Челябинска? По какой статье КОАП Росприроднадзор будет составлять административный протокол? Назовите возможные административные наказания, содержащиеся в санкции данной статьи.

Вариант 4

Поводом для возбуждения дела об административном правонарушении стало обращение местных жителей, сообщивших о массовом заморе рыбы в пруду на реке Ситня вблизи деревни ТИШКОвО в Ступинском районе Московской области.

Инспекторы экологического надзора провели проверку и выяснили, что замор произошел из-за сброса в Ситню неочищенных стоков химического предприятия ООО ”)Килевская кремнийорганикав . Лабораторные исследования выявили превышение в воде предельно допустимых концентраций аммонийного азота, железа и фосфатов. По данным межрайонной природоохранной прокуратуры, в результате сброса погибло не менее 300/0 рыбы, обитавшей в пруду, а ущерб, нанесенный биоресурсам, превысил 400 тысяч рублей,

По требованию министерства экологии и природопользования Московской области ООО ”Жилевская кремнийорганика”, отремонтировало очистные сооружения после расследования, проведенного Минэкологии. Качество очистки сточных вод на объекте значительно улучшено“ Предприятие-нарушитель отремонтировало на очистных сооружениях линии подачи стоков к резервуару-усреднителю и систему подачи воздуха в усреднитель, что увеличило степень очистки сточных вод.

Задание: состав какого административного правонарушения содержится в действиях правонарушителя ООО ”Жилевская кремнийорганика”. По какой статьи КОАП должен быть составлен административный протокол? Назовите возможные административные наказания, содержащиеся в санкции данной статьи.

Контрольные вопросы:

1. Что такое экологическое правонарушение?

2.Дайте определение эколого-правовой (юридической) ответственности.

З . Назовите виды юридической ответственности за экологические правонарушения.

4. Что такое состав экологического правонарушения? Из каких 4 элементов он состоит.

Укажите признаки (конструкцию) этих элементов.

7.             Что такое административная ответственность и почему она применяется чаще всего за экологические правонарушения?

8.             Назовите административные наказания за экологические правонарушения. Какое из низ самое распространённое на практике и в гл. 8 КОАП РФ?

9.             В чем отличие административной ответственности по сравнению с уголовной за экологические правонарушения с точки зрения субъектов ответственности?

Список используемой литературы

Основные источники:

1. Кодекс Российской Федерации об административных правонарушениях// Собрание законодательства Российской Федерации. - 2002,- 1 (часть 1); Российская газета, 2013, 4 декабря.

Интернет-ресурсы:

1.   Правовые ресурсы: сайт. URL: http://www.consultant.ru/law/hotdocs/

2.   Документы: сайт. URL: http://www.garant.m/doc/


Заключение

В методических указаниях по организации и проведению практических занятий по дисциплине «Экологические основы природопользования» по специальности СПО 18.02.09 Переработка нефти и газа (базовая подготовка), были представлены задания и методические рекомендации для практических занятий. Указанные задания являются обязательными для выполнения,

Был предложен алгоритм действий, который, при условии его выполнения, окажет помощь обучающимся организовать собственную работу при подготовке к семинарским и практическим занятиям, верно и в полном объеме выполнить задания преподавателя, повысить качество приобретаемых знаний и умений.

Выполненные на положительную оценку практические работы, продемонстрированные знания и умения наряду с другими усвоенными учебными уровнями (самостоятельной работой обучающихся) является допуском к дифференцированному зачету по учебной дисциплине «Экологические основы природопользования»

Предложенные методические указания помогут обучающимся организовать и выполнить практические задания по дисциплине, закрепить, расширить теоретические знания, освоить практические навыки работы с нормативно-правовыми актами.

Методические указания по организации и проведению практических занятий обучающихся по учебной дисциплине «Экологические основы природопользования» обеспечивают освоение соответствующих общих компетенций и профессиональных компетенций, предусмотренных ФГОС СПО по указанной специальности,

Список используемой литературы

Основные источники:

1.                Завгороднев А.В., Хованский А.Д., Маслова Е.В., Коняев СВ. Организация природоохранной деятельности на газотранспортных предприятиях. Учебно-методическое пособие для инженеров по охране окружающей среды / под ред. А.В. Завгороднева, А. Д. Хованского. — Ставрополь: Дизайн-студия Б, 2014. — 348 с.

2.                Приказ Министерства природных ресурсов и экологии Российской Федерации от

06.06.2017 г. № 273 ”06 утверждении методов расчетов рассеивания выбросов вредных

(загрязняющих) веществ в атмосферном воздухе”// http://publication.pravo.gov.ru            

3.                Кодекс Российской Федерации об административных правонарушениях“ Собрание законодательства Российской Федерации. - 2002.- 1 (часть 1); Российская газета, 2013, 4 декабря.

Дополнительные источники:

1. Охрана окружающей среды на предприятиях отрасли: учебное пособие [Текст] / ВВ. Зиновьев, А.В. Завгороднев, А.Г. Ишков, АД. Хованский и др. - Ростов-на-Дону: Наш регион,

2008. - 84 с.

2. Постановление Правительства РФ от 16.05.2016 422 ”Об утверждении Правил разработки и утверждения методик расчета выбросов вредных (загрязняющих) веществ в атмосферный воздух стационарными источниками”//Собрание законодательства РФ. -2016.- N 21 .ст. 3018;

З. Постановление Главного государственного санитарного врача Российской Федерации от 28 января 2021 года 2 «Об утверждении санитарных правил и норм СанПиН 12.3685-21 ”Гигиенические нормативы и требования к обеспечению безопасности и (или) безвредности для человека факторов среды обитания”// https://base.garant.ru

4.             Постановление Главного государственного санитарного врача Российской Федерации от 28.012021 № З ”Об утверждении санитарных правил и норм СанПиН 2.1.3684-21 ”Санитарноэпидемиологические требования к содержанию территорий городских и сельских поселений, к водным объектам, питьевой воде и питьевому водоснабжению, атмосферному воздуху, почвам, жилым помещениям, эксплуатации производственных, общественных помещений, организации и проведению санитарно- противоэпидемических (профилактических) мероприятий“ (Зарегистрирован 29.01.2021 № 62297) /l https://base.garant.ru

5.             Приказ Министерства природных ресурсов и экологии РФ от 18 февраля 2022 года «т 109 «Об утверждении требований к содержанию программы производственного экологического

контроля, порядка и сроков представления отчета об организации и о результатах осуществления производственного экологического контроля».

6.             Постановление Правительства РФ от 26.05.2016 г «Об утверждении Положения о подтверждении исключения негативного воздействия на окружающую среду объектов размещения отходов /l Собрание законодательства РФ. -2016.-№ 23.- Ст. 3317;- 2020.- N 34.-Ст.

5477

7.             Постановление Правительства РФ от 31 декабря 2020 г. 2398 ”Об утверждении критериев отнесения объектов, оказывающих негативное воздействие на окружающую среду, к объектам 1, П, III и IV категорий“ [Текст] ll http://www.pravo.gov.ru

Интернет-ресурсы:

1. Охрана природы в ПАО «Газпром»: сайт. - URL: http://www. gazprom.ru/nature/.

2.Правовые ресурсы: сайт. URL: http://www.consultant.ru/law/hotdocs/

З . Документы; сайт. URL: http://www.garant.ru/doc/

Скачивание материала доступно только для авторизованных пользователей.