План

  • docx
  • 08.12.2025
Публикация на сайте для учителей

Публикация педагогических разработок

Бесплатное участие. Свидетельство автора сразу.
Мгновенные 10 документов в портфолио.

Иконка файла материала Арксинус, арккосинус, арктангенс и арккотангенс.docx

Тема урока: Арксинус, арккосинус, арктангенс и арккотангенс

Цели:

Образовательные задачи:

·        Закрепление понятия арксинус, арккосинус, арктангенс и арккотангенс и навыки вычисления их при решении более сложных упражнений;

·        Научить пользоваться таблицами и микрокалькулятором для вычисления значенийарксинуса, арккосинуса, арктангенса и арккотангенса.

 

Воспитательные задачи:

 

·        Владение системой знаний, формирование логического. Системного мышления, владение интеллектуальными умениями;

·        Содействовать формированию системы знаний по данной теме;

 

Развивающие задачи:

 

Развитие памяти, познавательного интереса у учащихся.

 

 

Ход урока:

Iэтап: «Настроимся на урок»

(Это организационный этап)

·        Я приветствую класс, называю тему и цель урока;

·        Обращаю внимание на план урока (написан на доске).

 

Здравствуйте, ребята. Сегодня мы изучаем тему:Арксинус, арккосинус, арктангенс и арккотангенс.

Цель нашего урока: Закрепить  понятия арксинус, арккосинус, арктангенс и арккотангенс и навыки вычисления их при решении более сложных упражнений;Научиться пользоваться таблицами и микрокалькулятором для вычисления значений арксинуса, арккосинуса, арктангенса и арккотангенса.

Посмотрите ребята на доску, здесь написан план урока по которому мы сегодня будем с вами работать:

План урока:

Настроимся на урок!;

• А есть ли вопросы?;

• Тестирование;           

• Над чем работать и где?;

• Минута отдыха ли?!;

• И класс, и ты!;

•Подведем черту!;

 

(Переходим ко IIэтапу)

 

 

II этап:«А есть ли вопросы?»

(Традиционное название – проверка домашнего задания)

Домашняя работа записана на доске с пропусками.

Вопросы:

·        Сформулировать теорему о корне уравнения?

·        Сформулировать определение арксинуса числа?

·        Для каких чисел определен арксинус?

·        Сформулировать определениеарккосинуса,арктангенса?

·        Для каких чисел он определен?

 

(Оценки задомашние задание)

 

 

 

(Переходим ко III этапу

 

 

Iэтап: «Над чем работать и где?»

 

·        Ваше домашние задание на сегодня, дано вам в виде практикума (по карточкам) нахождение значений арксинуса, арккосинуса, арктангенса и арккотангенса. В дневник записываем карточки.

Учащиеся получают дифференцированные домашние задания.

·        Работа с таблицей Брадиса и микрокалькулятором. (Объясняет учитель). Нам нужно вычислить следующие значения. (Перевод градусной меры в радианную, стр. 59).

 

а)arcsin 0,5736 = 350 = 0,6109;

б) arcos0,7771 = 390 = 0,6804;

в)arctg 4,705 = 780 = 1,3614;

г) arcctg 3,732 = 150 = 0,2618.

 

·        На закрепление полученных знаний решим №130 (а; в). Под буквой а) решать будем с вами так. Я предлагаю вам сыграть со мной в игру «Молчанка» (Объясняю правила игры: учитель записывает под диктовку учащегося, если учащийся начинает диктовать неправильно, то).

а) arcsin 0,3010 = 170 31’ = 0,3057;

arctg 2,3 = 660 30’ = 1,1606

·        Под буквой в) я показываю, как быстро на микрокалькуляторе вычисляются значения не находящиеся в таблице.

·        Запишем цепочку:

аrcsin 0, 7801 = 51017’ = 0,8951;

arcos 0,8771 =280 42’ = 0,5009.

 

Давайте сделаем вывод: что удобнее для учащегося: для вычисления: микрокалькулятор или таблица Брадиса?

 

(Переходим к следующему этапу)

 

 

 

IVэтап.«Минута отдыха ли?!»

(Устная работа)

 

I.                  Объясните цепочку равенств:

 

 = аrcsin/2 =arcos= arctg= arcсtg/2

                

II.               Что означают слова «арка», «аркада»? Существует ли какая-нибудь связь этих слов со значением приставки «арк» в словах «арксинус», «арккосинус»?

Справка:

Арк(от лат. arcus – дуга), часть сложных слов, означающая: дуговой (см. тригонометрические функции.).

Арка, дугообразное перекрытие проема в стене или пролета между двумя опорами.

Аркада (от француз.Arcade), ряд одинаковых арок, опирающихся на колонны или столбы.

 

 

 

(Переходим к следующему этапу

 

 

Vэтап«И класс, и ты!»

 

·        Сейчас я познакомлю вас с основными соотношениями для обратных тригонометрических функций:

 

1.    аrcsin х + arcos х = , если   - 1 ≤ х  ≤ 1.

На основании тождества: sin(900)= cos α

 

2.     sin(arcsinx) = x,если- 1 ≤ х  ≤ 1.

Это тождество вытекает из определения арксинуса (arcsin– это такой угол х, что sinx = a).

3.     cos(arcosx) = x, если - 1≤х ≤1

Это тождество вытекает из определения арккосинуса.

4.    arcsin(sinx) = x, если -  ≤ х ≤

Обозначим sinxчерез а. Тогда наше тождество будет равносильно определению arcsin а =х, если х {-  ;} и sinx = a. Заметим, что выражение arcsin(sinx) имеет смысл при х, однако при х  {- оно не равно х.

5.   arcos (cos x) = x, если 0≤х

Обозначим(cos х) = а. Получим определение арккосинуса: arcos а = х, если х {0;} и cosx = a.

6.    arctg (tgx) = x,если - <

Обозначим tgx = a. Получим определение арктангенса: arcctg а =х, если х∋{- } и tg = а.

7.     tg (arctg х) =х, для любого действительного числа х.

8.     ctg (arcctgх) = х,для любого действительного числа х.

9.   arcctg (ctgх) =х, если 0<х<

10. arctg х + arcctg х =

 

·        Дайте выполним упражнения на применение этих тождеств (устно)

I.                  Найдите значение выражения:

1)    arcos х (cos х);

2)    arctg (tg);

3)    tg (arctg 1);

4)    arcctg (ctg);

5)    cos (arcos/2);

6)    sin (arcsin);

7)    arcsin (sin);

8)    ctg (arcctg 1).

II.               Найдитезначениевыражения:

1)    sin(arcsin + arcos);

2)    cos (arcos+ arcsin);

3)    sin (arctg 1 +  arcctg 1);

4)    tg (arcsin + arctg)

III.           Решить уравнение:

а)arcos;

б) arctg (2х – 1) = - ;

в) arcsin= -

(Переходим к следующему этапу)

 

 

 

VIэтап. Тестирование

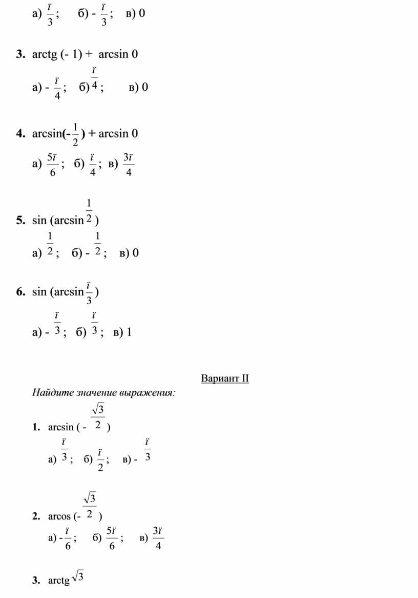
Вариант I

Найдите значение выражения:

1.     аrcsin (-

а) ;     б) - ;   в)

 

2.  arcos (-1)

а) ;      б)  - ;            в) 0

 

3.     arctg

а) ;      б) - ;    в) 0

 

4.     arctg (- 1) +  arcsin 0

а) - ;    б);        в) 0

 

5.     аrcsin(-) + arcsin 0

а) ;   б) ;  в)

 

6.     sin (arcsin)

а) ;    б) - ;    в) 0

 

7.     sin (arcsin)

а) - ;   б) ;   в) 1

 

 

Вариант II

Найдите значение выражения:

1.      аrcsin ( - )

а) ;    б) ;     в) - 

 

2.      arcos (-)

а) -;      б) ;      в)

 

3.      arctg

а) ;    б) -  ;        в) 1

 

4.      arctg 1 + arcos 1

а) ;     б) 0;     в)

 

5.      аrcsin (-) +  arcos (-)

а) ;     б) ;   в) - 

 

6.      cos (arcos

а) ;      б) - ;    в) 1

 

7.      arcos (cos)

а) ;   б) ;   в) -

(Переходим к следующему этапу)

 

VII этап «Подведем черту!»

·        Проверка теста (работу делают под копирку);

·        Выставление оценок.


 

Скачивание материала доступно только для авторизованных пользователей.