План 9 кл С Свободное падение тел.

  • docx
  • 01.05.2020
Публикация на сайте для учителей

Публикация педагогических разработок

Бесплатное участие. Свидетельство автора сразу.
Мгновенные 10 документов в портфолио.

Иконка файла материала План 9 кл С Свободное падение тел..docx

                                                                                            План  урока

 

Раздел 9.1ВКинематика

Дата: .

ФИО учителя:

Класс:                 Урок

Количество присутствующих:

Отсутствующих:

Тема урока

 Свободное падение тел.

 

Цели обучения, которые достигаются на данном уроке (ссылка на учебную программу)

9.1.1.12 - уметь анализировать зависимости в виде y=kx+b (V = V0 + gt).

9.2.1.6 - решать задачи с использованием кинематического  уравнения равнопеременного и равномерного  движения, включая свободное падение тела в поле гравитации;

Цели урока

Изучение равноускоренно

Сформировать понятие о свободном падении.

Путем исследования сделать вывод, что при свободно падении скорость тела не зависит от его массы.

Критерии оценивания

Развитие навыков работы с физическим оборудованием.

Языковые цели

 

Орын ауыстыру

Перемещение

Displacement

Жылдамдық

Скорость

Velocity

Үдеу

Ускорение

Acceleration

Жол

Путь

Distance

Уақыт

Время

Тime

Привитие ценностей

Развивать самостоятельность при работе, для того, чтобы выработать необходимые навыки для обучения на протяжении всей жизни. Учащиеся должны внимательно слушать друг друга и при необходимости корректно высказывать свои мысли.

Межпредметные связи

Уметь устанавливать связи между характеристиками механического движения при решении задач (связь с математикой).

Уметь применять знания из курса географии и математики при работе с картой (масштаб, направление)

Понимать единство процессов в природе (разделы физики)

Навыки использования ИКТ

В ходе проведения данного урока учащиеся улучшат навыки работы с измерительными приборами и анализом их данных при помощи компьютера.

Предварительные знания

Учащиеся должны повторить понятия скалярной скорости, векторной скорости и ускорения из Раздела 7.2A. Они должны быть знакомы с использованием математического уравнения графика прямой линии, y = kx+b.

Ход урока

Запланированные этапы урока

Запланированная деятельность на уроке

 

Ресурсы

Начало урока

Организационный момент. Приветствие учащихся.  Стартовое активити для создания коллаборативной среды на уроке.                                               Цели урока формулируем совместно с учащимися.

На доске:                                          Ожидаемые результаты;                   План изучения нового материала;

Повторение изученного материала,  проверка домашнего задания

 

Середина урока  

 

 

 

 

 

 

 

 

 

 

 

 

 

 

 

 

 

 

 

 

 

 

 

 

 

 

 

 

 

 

 

 

 

 

 

 

 

 

 

 

 

 

 

 

 

 

 

 

 

 

 

 

 

 

 

 

 

 

 

 

 

 

 

 

 

 

 

 

 

 

 

 

 

 

 

 

Свободное падение тел.

Изложение кратко о экспериментах Аристотеля и Галилео. Свободно отпускаем два тела: книгу и листочек бумаги.

Демонстрация видео материала.

Объянение нового материала.  Видео, показывающее стробоскопическое изображение падающего мяча.

Свободное падение представляет собой частный случай равномерно ускоренного движения без начальной скорости. Ускорение этого движения равно ускорению свободного падения, называемого также ускорением силы тяжести. Для этого движения справедливы формулы:

Простым примером свободного падения является падение тела без начальной скорости с некоторой высоты h. Направим координатную ось y вертикально вверх и совместим начало координат с поверхностью Земли (рис.1). Пользуясь формулами для равноускоренного движения, определим основные характеристики свободного падения:

http://ru.solverbook.com/my_images/pic548.png     Рис.1. Падение тела с некоторой высоты без начальной скорости

Ускорение:                Скорость:               Координата:

Из условия , можно найти время падения тела на Землю:

Скорость тела в любой точке:   скорость тела в момент падения на Землю:   \[v_p=\sqrt{2gh}\]

Следует также помнить о том, что свободное падение — это не всегда движение вниз. Тело, брошенное с некоторой начальной скоростью вертикально вверх, также будет двигаться равноускоренно с ускорением \overline{g}. При этом, так как векторы скорости и ускорения противоположно направлены, модуль скорости сначала будет уменьшаться до нуля. Потом тело, достигнув некоторой максимальной высоты, изменит направление движения и будет двигаться вниз.

Решение типовых задач. На этом этапе реализуется дифференцированный подход в обучении.

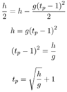
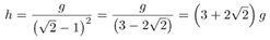
Задание  В последнюю секунду свободного падения тело прошло половину своего пути. С какой высоты и сколько времени падало тело?

Решение Тело совершает свободное падение с начальной скоростью, равной нулю (рис.1).

При таком движении координата тела меняется со временем по закону:

            В момент падения тела на Землю, его координата равна нулю:

Из условия y=0, можно найти время падения тела на Землю:

        откуда время падения:

         За 1 секунду до падения время , а координата тела, согласно условию задачи:

поэтому можно записать:

                       Тело падало с высоты 57,1 м в течение 3,4 с.

Задача№1.

Тело падает с высоты 57.5м. Сколько времени падает тело и какова его скорость при ударе о землю?

Задача №2

Стрела выпущена из лука вертикально вверх с начальной скоростью 20м/с. На какую максимальную высоту поднимется стрела?

Задача 3

С вертолета сбросили без начальной скорости два груза, причем второй на 1 с позже первого. Определить расстояние между грузами через 2 с и через 4 с после начала движения первого груза. (Ответ: 15 м, 35 м.)

Задача 4

Аэростат поднимается с аэродрома вертикально вверх с ускорением 2 м/с2. Через 5 с от начала его движения из него выпал предмет. Через какое время этот предмет упадет на землю? (Ответ: 3,5 с.)

 

 

Презентация, демонстрация экспериментов.

 

 

 

 

 

 

 

 

 

 

 

 

 

 

 

 

 

 

 

 

 

 

 

 

 

 

 

 

 

 

 

 

 

 

 

 

 

 

 

 

 

 

 

 

 

презентация

 

 

 

 

 

 

 

 

 

 

 

 

 

 

 

 

 

 

 

 

 

Конец урока  

Закрепление материала ( устные и письменные дифференцированные задания)   Проверка знаний -  письменное формативное оценивание в взаимопроверкой. Дать анализ и оценку успешности достижения цели и наметить перспективу последующей работы.

Повторение  и систематизация материала, изученного на уроке; подведение итогов урока;

Рефлексия «Плюс, минус, интересно»                                                                                         

                      Домашнее задание

 

Дифференциация – каким образом Вы планируете оказать больше поддержки? Какие задачи Вы планируете поставить перед более способными учащимися?

Оценивание – как Вы планируете проверить уровень усвоения материала учащимися?

Здоровье и соблюдение техники безопасности


Дифференциация  осуществится в использовании  заданий .Большая часть учеников справятся с заданиями и будут консультировать других учеников которые испытывают затруднения .Учитель в течении урока будет оказывать поддержку ученикам

Формативное оценивание

Взаимооценивание

Самоценивание

Все эти виды помогут ученикам выстроить правильную траекторию движения к цели

Инструктаж по ТБ и правилам поведения в кабинете физики.

Пункты, применяемые из Правил техники безопасности на данном уроке.  

 

Общая оценка

Какие два аспекта урока прошли хорошо (подумайте, как о преподавании, так и об обучении)?

1:

2:

Что могло бы способствовать улучшению урока (подумайте, как о преподавании, так и об обучении)?

1:

2:

Что я выявил за время урока о классе или достижениях/трудностях отдельных учеников, на что необходимо обратить внимание на последующих уроках?

 

 


 

Скачано с www.znanio.ru

Посмотрите также