Понятие одночлена, определение его коэффициента и степени_Приложение 3

  • docx
  • 30.04.2020
Публикация на сайте для учителей

Публикация педагогических разработок

Бесплатное участие. Свидетельство автора сразу.
Мгновенные 10 документов в портфолио.

Иконка файла материала Понятие одночлена, определение его коэффициента и степени_Приложение 3.docx

Приложение 3

Игра «Найди свою пару».

Цель: Первичное определение уровня усвоения материала

В игре принимают участие все учащиеся класса. Если учащихся нечетное количество, то можно учителю принять участие в игре.

Раздайте карточки с одночленами и числами, показывающими их степень.  Каждый учащийся случайным образом  выбирает одну из карточек. Участники должны быстро найти свою пару, т. е. обладателя карточки с записью одночлена и с записью  степени одночлена.

 

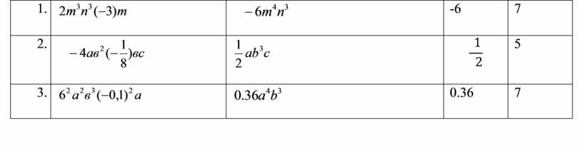
Одночлен

Стандартный вид одночлена

Коэффициент

Степень одночлена

1.       

-6

12

2.       

1

5

3.       

-1

16

4.       

3

5

5.       

50

3

6.       

-24

5

7.       

42

25

8.       

84

3

9.       

120

5

10.   

-64

12

11.   

-1

40

12.   

832

4

13.   

-270

7

14.   

-64

24

15.   

0.5

22

16.   

0.6

19

17.   

3

15

18.   

13

19.   

34

n+21

20.   

1

24

21.   

1

30

22.   

-3

3n+2m+t

23.   

-6

7

24.   

5

25.   

0.36

7