Ппоурочная разработка урока по теме «Первая космическая скорость. Невесомость и перегрузки» (физика, 9 класс) в соответствии с требованиями ФГОС ООО (основного общего образования), ориентированная на УМК А. В. Перышкина.
Общие сведения
Цели урока (в соответствии с ФГОС ООО)
Предметные:
Метапредметные:
Личностные:
Ход урока
1. Организационный момент (2 мин)
2. Актуализация знаний (5 мин)
Цель: выявить опорные знания
Фронтальный опрос:
3. Постановка темы и целей урока (2 мин)
«Какую скорость
нужно развить, чтобы покинуть Землю?»
«Почему космонавты "плавают" в корабле?»
«Что такое перегрузка?»
4. Изучение нового материала (20 мин)
1. За пределами земной атмосферы на тело действуют только силы тяготения со стороны Земли, Солнца и других небесных тел.
2. В зависимости от начальной скорости тела, траектория его движения различна.
Чем больше начальная скорость, тем дальше пролетит тело.
При некоторой начальной скорости тело покинет пределы земной атмосферы и превратится в искусственный спутник Земли.



При дальнейшем увеличении начальной скорости тело может превратиться в искусственный спутник Солнца или покинуть Солнечную систему.

3. Скорость, которую надо сообщить телу, поднятому на высоту h над Землёй, чтобы оно стало искусственным спутником Земли:

4. Минимальная скорость, которую необходимо сообщить телу у поверхности Земли, чтобы оно стало искусственным спутником, называется первой космической скоростью: υ = 7,9 км/с.
5. Тело — искусственный спутник Земли при 7,9 км/с < V < 11,2 км/с.
Тело преодолеет притяжение Земли и окажется в космическом пространстве при V > 11,2 км/с (вторая космическая скорость).
Тело преодолеет притяжение Солнца и покинет Солнечную систему при V > 16,7 км/с (третья космическая скорость).
Тело преодолеет притяжение нашей Галактики Млечный Путь и покинет её. При V > 550 км/с (четвёртая космическая скорость).
Применение: орбитальный спутник, запуск аппаратов
4.2 Невесомость
силу, с которой тело, вследствие его притяжения к Земле, действует на опору или подвес, называют весом тела.
Если тело, подвешенное на нити или помещённое на опору, покоится или движется равномерно и прямолинейно, то его вес по модулю равен силе тяжести:
Р = mg.
Вес тела приложен к опоре или подвесу, в отличие от силы тяжести, приложенной к телу. Вес и сила тяжести имеют не только разные точки приложения, но и разную природу: сила тяжести — гравитационная сила, а вес — сила упругости.
2. Предположим теперь, что тело вместе с опорой или подвесом движется относительно Земли с ускорением. Будут ли в этом случае равны вес тела и сила тяжести?
Рассмотрим движение человека в
лифте. Пусть лифт имеет ускорение
,
направленное вниз (рис. 52). В инерциальной системе отсчёта, связанной с
Землёй, на человека действуют сила тяжести, направленная вниз, и сила упругости
со стороны пола лифта, направленная вверх. Силу упругости в этом случае
называют силой реакции опоры и обозначают буквой
.
Равнодействующая этих сил сообщает человеку ускорение.

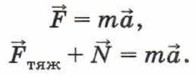
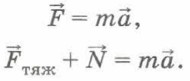
Пользуясь вторым законом Ньютона, можно записать в векторной форме:

Направим ось У вертикально вниз и запишем это уравнение в проекциях на ось, учитывая, что Fтяж = mg, проекции ускорения и силы тяжести на ось У положительны, а проекция силы реакции опоры отрицательна. Получим:
mg - N = mа.
Отсюда:
N = mg - mа = m(g - а).
По третьему закону Ньютона вес тела по модулю равен силе реакции опоры:
Р = N.
Тогда
Р = m(g - а).
Таким образом, если тело вместе с опорой или подвесом движется с ускорением, направленным так же, как и ускорение свободного падения, то его вес меньше силы тяжести, т. е. меньше веса покоящегося тела.
Уменьшение веса вы испытываете, находясь в лифте, в момент начала его движения вниз.
Если ускорение тела равно ускорению свободного падения а = g, то вес тела Р = 0. Такое состояние называют состоянием невесомости. В состоянии невесомости пребывают космонавты в космическом корабле во время полёта, поскольку они движутся вокруг Земли с центростремительным ускорением, равным ускорению свободного падения.
Но не только космонавты испытывают состояние невесомости. В таком состоянии может находиться бегун в короткие промежутки времени, когда обе ноги оторваны от земли; прыгун с трамплина во время полёта.
3. Рассмотрим ещё раз движение лифта и стоящего в нём
человека. Но только теперь лифт имеет ускорение
,
направленное вверх (рис. 53).

Пользуясь вторым законом Ньютона, можно записать:

Направив ось У вертикально вниз, запишем это уравнение в проекциях на ось:
mg - N = -mа;
N = mg + mа = m(g + а).
Поскольку Р = N, то
Р = m(g + а).
Таким образом, если тело вместе с опорой или подвесом движется с ускорением, направленным противоположно ускорению свободного падения, то его вес больше силы тяжести, т. е. больше веса покоящегося тела.
Демонстрация: видео из МКС (например, «капля воды», «плавающие предметы»)
4.3 Перегрузка
· Увеличение веса тела, вызванное движением с ускорением, называют перегрузкой.
· Перегрузку вы испытываете в лифте, в момент начала его движения вверх. Огромные перегрузки испытывают космонавты и пилоты реактивных самолётов при взлёте и посадке; лётчики, выполняющие на самолёте фигуру высшего пилотажа «мёртвая петля» в нижней и верхней её точках. Для того чтобы уменьшить давление на скелет космонавтов при взлёте, сделаны специальные кресла, в которых космонавты находятся в полулежачем положении. При этом сила давления, которая действует на космонавта, распределяется на бо́льшую площадь, и давление на скелет становится меньше, чем в том случае, когда космонавт находится в сидячем положении.
· примеры
o старт ракеты → перегрузка 3–4 g
o тренировки в центрифуге
o вход в атмосферу
5. Закрепление материала (10 мин)
6. Рефлексия. Подведение итогов (3 мин)
Вопросы:
7. Домашнее задание (на выбор): подготовить доклад по темам:
движение планет вокруг Солнца • гравитационный центр и орбиты • положение Солнечной системы в галактике • типы галактик и движение звёзд внутри них • сравнительное движение разных небесных тел
Материалы на данной страницы взяты из открытых источников либо размещены пользователем в соответствии с договором-офертой сайта. Вы можете сообщить о нарушении.