Практические работы №19 Использование различных возможностей динамических (электронных) таблиц для выполнения учебных заданий. Представление результатов выполнения расчетных задач средствами деловой графики.

  • docx
  • 11.11.2021
Публикация на сайте для учителей

Публикация педагогических разработок

Бесплатное участие. Свидетельство автора сразу.
Мгновенные 10 документов в портфолио.

Иконка файла материала Л2-00472.docx

Практические работы №19

Использование различных возможностей динамических (электронных) таблиц для выполнения учебных заданий. Представление результатов выполнения расчетных задач средствами деловой графики.

 

1.   Цель работы: освоить основные операции по созданию, редактированию и оформлению электронных таблиц, построению графиков и диаграмм.

 

 

2.   Оборудование, приборы, аппаратура, материалы: персональный компьютер, программа MS Excel.

 

 

3.   Краткие теоретические сведения

 

 

Представление данных в виде прямоугольных таблиц является удобным и привычным. В виде таблиц можно оформлять деловые документы: счета, накладные, ведомости и прочее. Для работы с табличными данными                                предназначены                      современные программы, называемые электронными таблицами. Примером электронных таблиц служат электронные таблицы MS Exсel.

Все данные таблицы размещаются в ячейках. Содержимым ячейки может быть текст, числовое значение или формула.

Вводить данные в электронные таблицы можно с помощью автозаполнения, а также используя другие приемы вставки строк и столбцов или приемы удаления строк, столбцов и ячеек. Текст и числа рассматриваются как константы. Изменить их можно только путем редактирования соответствующих ячеек. Формулы же автоматически пересчитывают свои значения, как только хотя бы один их операнд был изменен.

В Excel операции перемещения и копирования данных осуществляется с помощью Drag-and Drop („перетащить и бросить”) и буфера обмена. Для копирования в Excel используется маркер заполнения – рамка выделения в правом нижнем углу, имеющая утолщение, напоминающее прямоугольник. При помощи него можно скопировать содержимое в соседние ячейки.

Формула — это совокупность операндов, соединенных между собой знаками операций и круглых скобок. Операндом может быть число, текст, логичное значение, адрес ячейки (ссылка на ячейку), функция. В формулах различают арифметические операции и операции отношений.


Excel допускает арифметические операции "+" сложение, "-" вычитание, "*" — умножение,"/" — деление, "^" — возведение в степень; операции отношений: ">" — больше, "<" — меньше, "=" — равно, "<=" — меньше или равно, ">=" больше или равно, "<>" не равно.

Арифметические операции и операции отношений выполняются над числовыми операндами. Над текстовыми операндами выполняется единственная операция "&", которая к тексту первого операнда присоединяет текст второго операнда. Текстовые константы в формуле ограничиваются двойными кавычками. При вычислении формулы сначала выполняются операции в круглых скобках, потом арифметические операции, за ними операции отношений.

Адрес ячейки включает имя колонки и номер строки. Адреса ячеек (ссылки на ячейки) можно использовать в формулах. Возможны относительные, абсолютные и смешанные ссылки. Ссылка, которая включает имя колонки и номер строки, является относительной. При копировании формулы, а также редактировании листа такая ссылка будет модифицироваться. В абсолютных ссылках перед именем колонки и номером строки стоит символ $. Такие ссылки не модифицируются. В смешанных ссылках абсолютной является название колонки и относительной — номер строки, или наоборот (например, $А1, А$1). В них модифицируется только относительная часть ссылки.

В формуле может быть ссылка на диапазон ячеек. Диапазон может быть только прямоугольным. Указывая диапазон ячеек, задают адрес верхней левой ячейки и через двоеточие адрес нижней правой ячейки. Если в формуле есть ссылки на ячейки, которые находятся на другом листе, то ссылка должна содержать имя листа, восклицательный знак и адрес ячейки: например, лист! А1.

Функции. Excel содержит более 400 встроенных функций. Функция имеет имя и список аргументов в круглых скобках. Аргументами могут быть числовые и текстовые константы, ячейки, диапазоны ячеек. Некоторые функции доступны только тогда, когда открыта соответствующая надстройка.

Ввести функции в формулу можно вручную или с использованием мастера функций. Для работы с мастером функций надо нажать кнопку Мастер функций панели инструментов Стандартная или выполнить команду Вставка - Функции. При этом открывается диалоговое окно Мастер функций шаг 1 из 2, в котором можно выбрать категорию функций. При выборе категории в поле Функция выводится список функций данной категории. В этом списке можно выбрать нужную функцию. В строке состояния выводится краткое описание функции.

После выбора функции надо нажать кнопку Далее, в результате чего откроется окно диалога Мастер функций шаг 2 из 2, в котором можно указать


аргументы функции. В поле Значение выводится значение функции при указанных аргументах. После нажатия кнопки Готово формула вставляется в активную ячейку.

Для наглядного представления данных, входящих в электронные таблицы, служат диаграммы и графики. Они размещаются обычно на рабочем листе и позволяют проводить сравнение данных, находить закономерности. Excel предоставляет широкие возможности в построении различных видов диаграмм (линейчатых, круговых, кольцевых, лепестковых и т.д.).

Для построения диаграмм входят в меню Мастер диаграмм, где выбирается тип диаграммы, ее объемный вариант, диапазон данных и устанавливается название диаграммы и меняется цвет. При необходимости добавляется легенда – прямоугольник, в которой помещаются обозначения и названия рядов данных.

При построении графика функции следует выбрать тип диаграммы – точечный, со значениями, соединенными сглаживающими данными.


 

4.   Задание

 

 

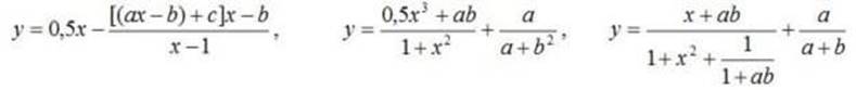
Задание 1.

1.   Запишите формулы по всем требованиям MS Excel:


 

2.   Составьте для этих формул таблицу по образцу:

 

 

 

A

 

B

 

C

 

D

 

a

b

c

x

 

0,1

0,2

0,3

0,1

 

 

 

 

0,2

 

 

 

 

0,3

 

 

 

 

0,4

 

 

 

 

0,5

3.   Запишите формулу вычисления в ячейку Е2 и скопируйте в ячейки Е3:Е6.

4.   Добавьте абсолютную адресацию в необходимые ячейки.


5.   Сохраните под именем ПР15.xls.

 

 

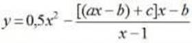
Задание 2. Запишите формулу  по всем требованиям MS Excel. Рассчитайте значение функции у для х от 0 до 1 с шагом 0,1 на Листе2 Рабочей книги. Построить график функции у(х).

 

 

 

A

 

B

 

C

 

D

 

E

 

1

a

b

c

x

y

 

0,1

0,2

0,3

0

 

 

 

 

 

0,1

 

 

 

 

 

0,2

 

 

 

 

 

 

 

1

 

 

 

1

 

 

Задание 3. Имеются данные о продажи газет в трех торговых точках за неделю:

 

 

А

В

 

С

 

D

 

Е

 

F

 

G

Н

 

День

Понед

Втор

Сред

Чет

Пят

Субб

Воскр


 

недели

ельник

ник

а

верг

ница

ота

есенье

 

Точка

1

20

25

32

30

23

30

20

 

Точка

2

33

28

25

25

22

25

20

 

Точка

3

15

20

22

29

34

35

30

 

Внесите эти данные на Лист3 Рабочей книги и постройте гистограмму (столбчатую диаграмму), на которой будут отображены данные сразу обо всех трех торговых точках.

1.                 Создайте таблицу в MS Exсel, заполните ее данными.

2.                 Выделите блок клеток А1:Н4, содержащий данные для графической обработки (Данные располагаются в строках. Первая строка выделенного блока является строкой Х координат (опорные точки); следующие три строки выделенного блока содержат Y координаты (высоты столбиков) диаграммы.) и постройте диаграмму.

3.                 Укажите заголовок диаграммы: “Торговля газетами”.

 

Задание 4. Постройте линейную диаграмму, отражающую изменение количества проданных газет в течение недели (см. задание 3).

 

 

Задание 5. На основе таблицы продажи газет (см. задание 3) и постройте для нее ярусную диаграмму (столбчатая диаграмма 2-ой вид). Результаты работы сохраните в ранее сохраненном файле ПР15.xls.


5. Содержание отчета

 

 

Отчет должен содержать:

1.                  Название работы.

2.                  Цель работы.

3.                  Задание и его решение.

4.                  Вывод по работе.

 

6. Контрольные вопросы

1.                  Что такое редактор электронных таблиц?

2.                  Перечислить элементы электронной таблицы, их обозначения.

3.                  Как называется документ, созданный в табличном процессоре. Из каких частей он состоит?

4.                  Какие данные можно вносить в ячейки электронной таблицы?

5.                  Чем отличается абсолютная адресация от относительной. Когда применяются эти виды адресации?

6.                  Как построить диаграммы по числовым данным?

 

7.  Литература

1.                  Информатика и ИКТ: учебник для начального и среднего профессионального образования. Цветкова Н.С., Великович Л.С. – Академия, 2011 г.

2.                  Информатика и ИКТ. Практикум для профессий и специальностей технического и социально-экономического профилей. Н. Е. Астафьева, С. А. Гаврилова, под ред. М.С. Цветковой, Академия, 2012г.

3.                  Информатика и ИКТ. Базовый уровень: учебник для 10-11 кл. / И.Г.Семакин, Е.К.Хеннер. – 4 изд., испр. – М. – Бином. Лаборатория знаний, 2008г. 246 с.: ил.

4.                  Информатика и ИКТ. Базовый уровень: практикум для 10-11 кл. / И.Г.Семакин, Е.К.Хеннер. – 4 изд., испр. – М. – Бином. Лаборатория знаний, 2008г.

5.                  Информатика и ИКТ. 10 кл. Базовый уровень под ред. Н.В.Макаровой – Спб – Лидер, 2010г.

6.                  Информатика и ИКТ. 11 кл. Базовый уровень под ред. Н.В.Макаровой – Спб – Лидер, 2010г.

7.                  Энциклопедия школьной информатики / под ред. И.Г.Семакина.

   М.: Бином. Лаборатория знаний, 2011г.

8.                  http//www.informatika.ru;

9.                  http//www.student.informatika.ru;

10.             http://mirgeo.ucoz.ru/


 

Скачано с www.znanio.ru