
Основное свойство дроби.
Сокращение дробей
На уроке:
• научится использовать основное свойство дроби и сокращение дробей при решении задач;

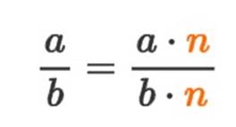
Если числитель и знаменательдробиумножитьили разделить на одно и то же натуральное число, то получится равная ей дробь.

Например:

Сократить дробь — значит разделить ее числитель и знаменатель на их общий делитель (больше 1)

Пример 1. Сократим обыкновенную дробь
𝟑 𝟑1 𝟑 ∙ 𝟏 𝟏
= =
= ![]()
𝟏𝟓 𝟓 ∙ 𝟑 𝟓 ∙ 𝟏 𝟓
1 несократимая дробь
Сокращая дробь, стремитесь в итоге получить несократимую дробь!







Мерзляк А.Г. Математика: 6 класс: учебник / А.Г. Мерзляк, В.Б. Полонский, М.С. Якир; под ред. В.Е. Подольскгого.-5е изд., стереотип.-М.: Вентана-Граф, 2020
Мерзляк А.Г. Математика: 6 класс: дидактические материалы: пособие для учащихся общеобразовательных организаций/ А.Г. Мерзляк, В.Б. Полонский, Е.М. Рабинович, М.С. Якир.-М.: Вентана-Граф, 2020
19 августа 2024 г.
Материалы на данной страницы взяты из открытых источников либо размещены пользователем в соответствии с договором-офертой сайта. Вы можете сообщить о нарушении.