

Понятие числовой последовательности
Рассмотрим ряд натуральных чисел N:
1, 2, 3, …, n – 1, n, п + 1, …
Функцию y = f(x), x N называют функцией натурального аргумента или числовой последовательностью и обозначают:
y = f(n) или у1 , y1 , …, yn , … или {уn }.
Величина уn называется общим членом последовательности.
Примеры числовых последовательностей:
• 1, 2, 3, 4, 5, 6, … - последовательность натуральных чисел;
• 2, 4, 6, 8, 10, … - последовательность четных чисел;
• 19, 38, 57, 76, 95, …- последовательность двузначных чисел, кратных 19;
• -1, -2, -3, -4, -5,… - последовательность отрицательных целых чисел.
Способы задания последовательностей:
1.Перечислением членов последовательности (словесно).
2.Заданием аналитической формулы.
3.Заданием рекуррентной формулы.
Словесное задание последовательности:
Последовательности можно задавать различными способами, например словесно, когда правило задания последовательности описано словами, без указания формулы. Так словесно задается последовательность простых чисел:
2,3,5,7,11,13,17,19,23,29, … .
Аналитическое задание последовательности:
Последовательность задана аналитически, если указана формула ее n-го члена.
Примеры:
• 𝑦𝑛 = 𝑛2.Это аналитическое задание последовательности
1, 4, 9, 16, …, 𝒏𝟐, … .
• 𝑦𝑛 = С. Здесь речь идет о последовательности С, С, С, С, С, … .
Такую последовательность называют постоянной ( или стационарной).
Рекуррентный способ задания
Рекуррентный способ задания последовательности состоит в том, что указывают правило, позволяющее вычислить n-й член последовательности, если известны ее предыдущие члены.
Примеры:
• Арифметическая
прогрессия – это числовая последовательность
𝑎𝑛
, заданная рекуррентно соотношениями:
𝒂𝟏 = 𝒂, 𝒂𝒏+𝟏 = 𝒂𝒏 + 𝒅
( 𝑎 и 𝑑 – заданные числа, 𝑑 – разность арифметической прогрессии).
Рекуррентный способ задания
• Геометрическая
прогрессия - это числовая последовательность
𝑏𝑛
,
заданная рекуррентно соотношениями:
𝒃𝟏 = 𝒃, 𝒃𝒏+𝟏 = 𝒃𝒏 ∙ 𝒒
( 𝑏 и 𝑞 − за данные числа, 𝑏 ≠ 0, 𝑞 ≠ 0; 𝑞 – знаменатель геометрической прогрессии).
СВОЙСТВА ЧИСЛОВЫХ
ПОСЛЕДОВАТЕЛЬНОСТЕЙ
Числовая последовательность – частный случай числовой функции, а потому некоторые свойства функций можно перенести и на последовательности.
Ограниченность числовой последовательности.
Последовательность {уn} называют ограниченной сверху, если существует такое число M, что для любого n∈𝐍 выполняется неравенство уn ≤ M.
Иными словами, последовательность {уn} называют ограниченной сверху, если все ее члены не больше некоторого числа.
Число М называют верхней границей последовательности.
Пример: -1, -4, -9, -16, - 25,…, -n2 , … - ограничена сверху; в качестве верхней границы можно взять число -1.
Ограниченность числовой последовательности.
Последовательность {уn} ограниченна снизу, если существует такое число m, что для любого n∈𝑵 выполняется неравенство уn ≥ m.
Иными словами, последовательность {уn} называют ограниченной снизу, если все ее члены не меньше некоторого числа.
Число m называют нижней границей последовательности.
Пример: 1, 4, 9, 16, …, n2 , … - ограничена снизу; в качестве нижней границы можно взять число 1( или любое число, которое меньше, чем 1).
Ограниченность числовой последовательности.
Если последовательность ограничена и сверху и снизу, то ее называют ограниченной последовательностью.
𝟏
𝟏 𝟏 𝟏 Пример: 1, , , , … ,
, … .
𝟐 𝟑 𝟒 𝒏
В качестве верхней границы можно взять 1, в качестве нижней 0.
Возрастание и убывание числовой последовательности.
Последовательность {уn} называют возрастающей последовательностью, если каждый ее член больше
предыдущего: у1 < y2 < y3 < y4 < … < yn < yn+1 < …
Пример: 1, 3, 5, 7, 9, 2n – 1, … - возрастающая последовательность.
Последовательность {уn} называют убывающей последовательностью, если каждый ее член меньше
предыдущего: у1 > y2 > y3 > y4 > … > yn > yn+1 > …
Пример: 1, 1/3, 1/5, 1/7, 1/(2п – 1), … - убывающая последовательность.
Возрастающие и убывающие последовательности называют монотонными.
последовательности.
Рассмотрим две числовые
последовательности 𝑦𝑛
и
𝑥𝑛
.
![]() |
𝑥𝑛
:
1,
,
,
, …
,
𝑛1 , …
.
Изобразим члены этих последовательностей точками на координатной прямой

последовательности.
• Замечаем,
что члены последовательности
𝑥𝑛
как бы « сгущаются» около точки 0, а у последовательности
![]()
𝑦𝑛
такой « точки сгущения» нет. В подобных случаях математики говорят так:
последовательность
𝑥𝑛
сходится, а последовательность 𝑦𝑛
расходится.
• Математики не используют слова «точка сгущения для членов заданной последовательности» они предпочитают использовать термин «предел последовательности».
последовательности.
Определение:
Число 𝒂 называется пределом
последовательности
𝒙𝒏
,
если для любого 𝜺 > 𝟎 все
члены последовательности
𝒙𝒏
, лежат в 𝜺 - окрестности (𝒂
− 𝜺, 𝒂 + 𝜺) точки 𝒂,
т.е. найдется такое натуральное число N, что при n>N
будет выполнено неравенство
𝒙𝒏 − 𝒂
< 𝜺
Если
последовательность
𝒙𝒏
имеет
пределом число 𝒂, то пишут lim 𝒙𝒏
= 𝒂
𝑛→∞
![]() |
Теорема о пределах
Если 𝒍𝒊𝒎 𝒙𝒏 = 𝒃, 𝒍𝒊𝒎 𝒚𝒏 = 𝒄, то
𝒏→∞ 𝒏→∞
1) Предел суммы равен сумме пределов:
𝒍𝒊𝒎( 𝒙𝒏 + 𝒚𝒏) = 𝒃 + 𝒄
𝒏→∞
2) Предел произведения равен произведению пределов: 𝒍𝒊𝒎( 𝒙𝒏𝒚𝒏) = 𝒃𝒄
𝒏→∞
3) Предел частного равен частному пределов:
𝒍𝒊𝒎( 𝒙𝒏) =
𝒃
, если с ≠ 𝟎
𝒏→∞ 𝒚𝒏 𝒄
4) Постоянный множитель можно вынести за знак предела: 𝒍𝒊𝒎(𝒌 𝒙𝒏) = 𝒌𝒃
𝒏→∞

пределов
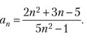
последовательностей:
пределов последовательностей:
![]() |

Решение: Разделим и числитель, и знаменатель на переменную n в наивысшей степени, в которой она входит в данную дробь (в данном случае делим на n2):

пределов
последовательностей:
![]() |

Материалы на данной страницы взяты из открытых источников либо размещены пользователем в соответствии с договором-офертой сайта. Вы можете сообщить о нарушении.