Методические рекомендации к проведению урока
Тема урока: Разложение квадратного трехчлена
Тип урока: Урок закрепления знаний
Цели обучения:
8.2.1.2 выделять полный квадрат двучлена из трехчлена;
8.2.1.3 раскладывать квадратный трехчлен на множители;
Цели урока:
Учащиеся
ü выделяют полный квадрат двучлена из трехчлена;
ü раскладывают квадратный трехчлен на множители, в том числе с предварительным введением замены переменной и геометрическим способом.
Структура урока
1. Организационный момент. Целеполагание.
2. Актуализация знаний и умений учащихся по пройденному материалу.
3. Работа в малых группах.
4. Решение задач.
5. Усложнение темы.
6. Самостоятельная работа.
7. Геометрический способ разложение квадратного трехчлена на множители.
8. Подведение итогов урока. Рефлексия.
Теоретический материал к уроку, определения к понятиям и др.
|
|
|
Инструкции к демонстрациям и технике безопасности.
Демонстрация материала осуществляется с помощью презентации PowerPoint. Слайды презентации содержат анимации, которые позволяют поэтапно вывести на экран решения и ответы к предложенным заданиям. Поэтому при показе презентации следует делать паузы после демонстрации заданий и постановки вопросов, давая учащимся время на их выполнение и обдумывание ответов.
Дополнительные методические рекомендации по организации урока.
Структура и организация урока нацелены на продуктивную деятельность учащихся при изучении новой темы, не допуская пассивного восприятия материала. В связи с этим учителю необходимо задавать учащимся вопросы высокого порядка, наталкивая их на «открытие» и освоение нового материала, при этом выдерживая паузы, необходимые для обдумывания.
Дополнительные разноуровневые (на дифференциацию) задания.
Базовый уровень
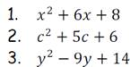
Разложите на множители с помощью геометрического метода разложения.

Продвинутый уровень
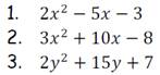
Разложите на множители с помощью геометрического метода разложения.

Рекомендации по формативному оцениванию.
Формативное оценивание производится на каждом этапе урока (самооценивание, оценивание учителем по критериям). Оценка путем наблюдения за вовлечением учеников в работу при выполнении заданий и за участием в диалогах. Прогресс, ответную реакцию на задания в парах, в группах необходимо отслеживать для того, чтобы оценить вклад каждого ученика и выявить наличие ошибок для их дальнейшей коррекции.
Учитывая результаты оценивания на всех этапах урока, в том числе, по итогам самостоятельной работы, учителем будет сделан вывод о достижении учащимися цели 8.2.1.2.
Ответы, критерии к заданиям, дополнительные материалы к уроку.
Ответы к заданиям, рассматриваемым на уроке, содержатся в презентации урока и полезны для организации самооценивания или взаимооценивания учащихся.
Критерии оценивания к каждому заданию прописаны в приложениях к уроку, а также указаны в краткосрочном плане.
Ответы к приложению 1.
|
Квадратный трехчлен |
Стандартный вид
|
Выделение полного квадрата |
Разложение на множители |
Корни
|
Оценивание ответа учащегося |
|
x2 -84- 8x |
x2-8x-84 |
(х-4)2-100 |
|
|
|
|
|
|
|
|
|
|
|
|
|
|
|
|
|
|
|
|
|
|
|
|
|
|
|
|
|
|
|
Ответы к приложению 2.
Разложение квадратного трехчлена – Factorising Quadratics
|
1 |
Factorise
|
|
|
2 |
Factorise
|
|
|
3 |
Factorise
|
|
|
4 |
Factorise
|
|
|
5 |
Fully factorise
|
|
|
6 |
Factorise
|
|
|
7a |
Factorise
(Only last line gets the mark) |
|
|
7b |
Factorise
|
|
|
8 |
Fully factorise
|
|
Ответы к приложению 3.
|
Задание 1. а) б)
в)
г)
|
Задание 2. а) б) -11.
|
Список полезных ссылок и литературы.
Алгебра. 8-класс: Учебник для 8 класса общеобразовательной школы с русским языком обучения/ А.Н. Шыныбеков – 3-издание. – Алматы: «Атамұра», 2012. 288 с.
Алгебра. 8 класс : учеб. для учащихся общеобразоват. учреждений / Ю. Н. Макарычев, Н. Г. Миндюк, К. И. Нешков, И. Е. Феоктистов. — 10-е изд., испр. — М. : Мнемозина,
2010.
https://www.youtube.com/watch?v=aquZH2vKyjs
https://interneturok.ru/lesson/algebra/8-klass/kvadratnye-uravneniya-prodolzhenie/razlozhenie-kvadratnogo-tryohchlena-na-mnozhiteli
http://lomonosovclub.com/ru/study_lists/34#!/articles/256
http://www.yaklass.ru/p/algebra/8-klass/kvadratnye-uravneniia-11021/teorema-vieta-9116/re-eee0a262-f7db-4e0b-87df-9079beb1b2ce
Скачано с www.znanio.ru
Материалы на данной страницы взяты из открытых источников либо размещены пользователем в соответствии с договором-офертой сайта. Вы можете сообщить о нарушении.