План урока
Библиотека ЦОК https://m.edsoo.ru/7f4318c2
Тема: Сложение, вычитание, умножение и деление алгебраических дробей.
Учитель:
1.Класс:
2.Тип урока:
3.Планируемые результаты:
Личностные: готовность принимать и осваивать социальную роль обучающегося; проявление мотивов своей учебной деятельности
Предметные: научатся применять теоретический материал при умножении и делении рациональных дробей и возведении в степень.
Метапредметные: управлять своей познавательной и учебной деятельностью посредством постановки целей; находить достоверную информацию, необходимую для решения поставленных задач.
Ключевые слова: умножение, дробь, числитель, знаменатель, сокращение, множитель.
Краткое описание: Урок по предмету «Алгебра» для 8 класса по теме «Умножение рациональных дробей2». Комбинированный урок. На уроке предусмотрено использование следующих типов электронных образовательных материалов: «Диагностическая работа», «Самостоятельная работа».
Блочно-модульное описание урока
БЛОК1. Вхождение в тему урока и создание условий для осознанного восприятия нового материала.
1.Мотивирование на учебную деятельность
2. Актуализация опорных знаний
Как вычитать дроби в алгебре?
Чтобы вычесть дроби с разными знаменателями, вам нужно найти общий знаменатель. Это можно сделать, определив наименьшее общее кратное двух знаменателей. После переписывания дробей так, чтобы они обе имели общий знаменатель, вы можете вычесть числители, как вы бы сделали с любыми двумя дробями.
Как упростить вычитание алгебраических дробей?
Чтобы вычесть алгебраические дроби, сначала выразите их через наименьший общий знаменатель (НОЗ), а затем вычтите их числители, чтобы получить числитель, который делится на НОЗ, чтобы получить ответ.
3. Целеполагание: обеспечить усвоение знаний о приемах умножения и деления рациональных дробей; формировать умения осуществлять умножение и деление рациональных дробей и выполнять возведение рациональной дроби в степень.
БЛОК 2. Освоение нового материала
1.Осуществление учебных действий по освоению нового материала




2.Проверка первичного закрепления


БЛОК 3. Применение изученного материала
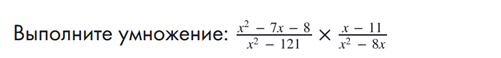
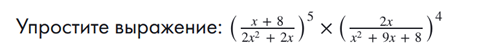
1.Применение знаний, в том числе в новых ситуациях
![]()
![]()
1. 2.Выполнение межпредметных заданий из реальной жизни.
3.Задание ЕГЭ и ОГЭ
4.Развитие ФГ


Подбор соответствующего задания.
5.Систематизация знаний и умений

БЛОК 4. Проверка приобретенных знаний, умений и навыков.
1.Диагностика или самодиагностика.

БЛОК 5. Подведение итогов, домашнее задание.
1. Рефлексия (достигнуто или не достигнуто по образовательным результатам)
Обсуждаем итоги урока, выставляем оценки в журнал.
1.Что на уроке больше всего понравилось (запомнилось)?
2.Что было трудным?
3.Что так и осталось непонятным?
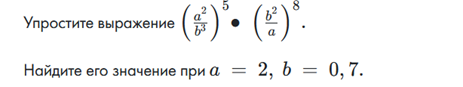
2. Домашнее задание.



![]()


Материалы на данной страницы взяты из открытых источников либо размещены пользователем в соответствии с договором-офертой сайта. Вы можете сообщить о нарушении.