План урока
1.Класс: 8
2.Тема: Допустимые значения переменных, входящих в алгебраические выражения
3.Тип урока: Урок освоения новых знаний и умений
4.Цель урока: формировать умение находить допустимые значения переменных, входящие в дробные выражения.
5.Планируемые результаты:
Личностные: овладение языковой и читательской культурой как средством познания мира.
Предметные: выполнять действия со степенями с целыми показателями, с многочленами и алгебраическими дробями.
6.Ключевые слова: переменная, значение переменной, рациональная дробь, рациональное выражение, допустимые значения переменной.
Блочно-модульное описание урока
Этап 1/БЛОК 1.Вхождение в тему урока и создание условий для осознанного восприятия нового материала
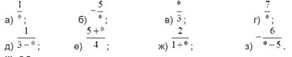
1. Актуализация опорных знаний.
Поставьте вместо * какое-нибудь число и назовите полученную дробь:

Этап 2 /БЛОК 2. Освоение нового материала
1. Осуществление учебных действий по освоению нового материала.
( Алгебраические выражения. Алгебра, 8 класс: уроки, тесты, задания. (yaklass.ru))
Дробное
выражение не всегда имеет смысл. Например, в выражении
значение возьмём равным 3, то знаменатель обратится в 0, то есть это
значение мы брать не можем.
При
всех остальных значениях - это выражение имеет смысл. Значение переменных, при
которых выражение имеет смысл, называют допустимыми значениями переменных.
![]()
Область допустимых значений переменной (ОДЗ) все действительные числа, кроме 0, так как на ноль делить нельзя.
Как находить допустимые значения переменных? При поиске ответа на этот вопрос учащиеся должны сформировать ряд вопросов:
1)
если выражение является целым, то все значения входящих в него переменных будут
допустимыми.
2) чтобы найти допустимые значения переменных дробного выражения, нужно
проверить, при каких значениях знаменатель обращается в ноль. Найденные числа
не будут являться допустимыми значениями.

Рациональные
выражения бывают целыми и дробными. 



Этап 3 /БЛОК 3. Подведение итогов, домашнее задание
1. Рефлексия.
Обсуждаем итоги урока, выставляем оценки в журнал.
1.Что на уроке больше всего понравилось (запомнилось)?
2.Что было трудным?
3.Что так и осталось непонятным?
2.
Домашнее задание.
Скачано с www.znanio.ru
Материалы на данной страницы взяты из открытых источников либо размещены пользователем в соответствии с договором-офертой сайта. Вы можете сообщить о нарушении.