Разветвленный алгоритм

  • docx
  • 11.11.2021
Публикация на сайте для учителей

Публикация педагогических разработок

Бесплатное участие. Свидетельство автора сразу.
Мгновенные 10 документов в портфолио.

Иконка файла материала Л2-00493.docx

Разветвленный алгоритм

1.                  Задачи на ветвление

Разветвляющимся называется такой алгоритм, в котором в зависимости от истинности или ложности заданного условия выбирается один из нескольких возможных вариантов (путей) вычислительного процесса. Каждый такой вариант называется ветвью алгоритма. Возможных вариантов может быть два или три.


Ветвление - такая форма организации действий, при которой в зависимости от выполнения или невыполнения некоторого условия совершается либо одна, либо другая последовательность действий.

Признаком разветвляющегося алгоритма является наличие операций проверки условия.

 

 

Условие это выражение логического типа. Оно может включать в себя константы, имена переменных, арифметические операции, операции отношения, логические операции, скобки. Условие может быть истинным или ложным, то есть принимать одно из двух значений: ИСТИНА или ЛОЖЬ.

Различают два вида условий: простые и составные.

 

 

Простым условием называется выражение, составленное из двух арифметических выражений или двух текстовых величин, связанных одним из знаков: <, £ , >, ³, =, ¹. Такое условие часто называют операцией отношения.

 

Составными условиями называются условия, состоящие из нескольких простых и соединенные знаками логических операций И, ИЛИ, НЕ.

ПРИМЕРЫ составных условий.

(A > 5) И (B < 2)

(X = Y) ИЛИ (50 £ C 1)

НЕ («собака» = «конура») И («кошка» = D)

 

 

Составное условие вида «X И истинно тогда и только тогда, когда истинны оба условия X и Y, в остальных случаях – ложно.

Составное условие вида «X ИЛИ Y» истинно тогда, когда истинно хотя бы одно условие X или Y. Условие вида «НЕ X» истинно, если X ложно, и наоборот.

 

Для обозначения операции проверки условия в блок-схеме алгоритма используется блок, изображаемый ромбом, внутри которого указывается проверяемое условие. Этот блок имеет один вход и два или три выхода.

 

Если выходов два, то они обозначаются ДА и НЕТ. Если условие истинно, то вычислительный процесс «идет» по ветви ДА; если ложно – по ветви НЕТ.

 

Если выходов три (это чаще всего бывает, когда в условии переменная или выражение сравниваются с нулем), то они обозначаются: >0, <0, =0.


При написании разветвляющихся программ используется условный оператор.

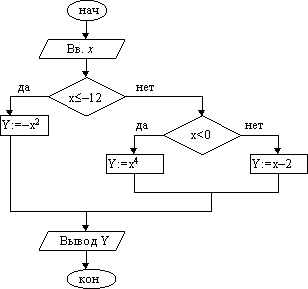
Пример 1. Вычислить значение функции


 

 

 

 

 

 

 

1.  Ввести x.

 

2.  Если x £ –12, то y:=–x2

 

3.  Если x<0, то y:=x4 4. y := x–2

5.  Вывести y

 

6.  Конец

 

При тестировании алгоритмов с развилкой необходимо подбирать такие исходные данные, чтобы можно было проверить все ветви. В приведенном выше примере должно быть по крайней мере три тестовых набора.