Филиал бюджетного профессионального образовательного учреждения Чувашской Республики
«Чебоксарский медицинский колледж»
Министерства здравоохранения Чувашской Республики в городе Канаш
|
РАССМОТРЕНО и ОДОБРЕНО на заседании ЦМК ОГСЭ Протокол № ____ «____» _______________ 20 ___ г. Председатель ЦМК ____________ |
утверждено Зав. филиалом БПОУ «ЧМК» МЗ Чувашии в г. Канаш ____________ |
Методическая разработка теоретического занятия
Решение неравенств методом интервалов.
учебная дисциплина БД. 04 Математика
специальность 34.02.01Сестринское дело
(базовая подготовка)
Канаш, 2026
|
Составитель: Семенова А.М., преподаватель высшей квалификационной категории филиала БПОУ ЧР «Чебоксарский медицинский колледж» Министерства здравоохранения Чувашии в г. Канаш
|
|
Рецензент: Иванова Л.М., преподаватель, высшей квалификационной категории филиала БПОУ ЧР «Чебоксарский медицинский колледж» Министерства здравоохранения Чувашии в г. Канаш
|
Аннотация
Данная методическая разработка по теме «Решение неравенств методом интервалов» является уроком изучения нового материала. Метод интервалов – один из базовых методов решения неравенств (рациональных, показательных, логарифмических и иррациональных). Материал урока направлен на изучение решения различных неравенств методом интервалов.
СОДЕРЖАНИЕ
ВВЕДЕНИЕ
1. методический блок
1.1. Учебно-методическая карта
Формы деятельности
1.2. Технологическая карта
2. Информационный блок
2.1. План лекции
2.2 Текст лекции
2.3. Глоссарий
3. Контролирующий блок
Данная методическая разработка по теме «Решение неравенств методом интервалов» является уроком изучения нового материала. Материал урока направлен на изучение метода интервалов — метод решения сложных неравенств, основанный на разбиении числовой прямой на интервалы, на каждом из которых выражение сохраняет постоянный знак. Его используют для рациональных, дробно-рациональных и степенных выражений, где переменная содержится в множителях или знаменателях.
Структура урока: постановка цели и задач урока; повторение умений и навыков,
являющихся опорой для восприятия новой темы; проведение проверочных упражнений
(устная работа); решения неравенств методом интервалов. Упражнения на
закрепление данного алгоритма; тренировочные упражнения по образу и подобию в
виде самостоятельной работы; самоконтроль обучающихся.
Создание проблемных ситуаций на уроках математики повышает
интерес к предмету, вносит разнообразие и эмоциональную окраску
в учебную работу, снимает утомление, развивает внимание,
сообразительность.
|
Тема занятия |
Решения неравенств методом интервалов. |
||||||
|
Учебная дисциплина |
БД.04 Математика |
||||||
|
Специальность |
34.02.01 Сестринское дело (базовая подготовка) |
||||||
|
Курс |
I |
||||||
|
Группа |
9М-11-25, 9М-12-25, 9М-13-25,9М-14-25, 9Л-12-25. |
||||||
|
Место проведения |
Кабинет № 5 |
||||||
|
Продолжительность занятия |
90 мин. |
||||||
|
Характеристика занятия |
Вид |
Вид занятия Лекция текущая, обзорная.
|
|||||
|
Тип |
Типы учебных занятий урок изучения нового материала; комбинированный урок
|
||||||
|
Форма |
Изложение, рассказ, объяснение с демонстрацией наглядных пособий. Формы деятельностиФронтальная.
|
||||||
|
Технологии обучения |
Традиционная технология обучения Технология развивающего обучения
|
||||||
|
Методы обучения |
Метод Репродуктивный: упражнения, действия по алгоритму. Интерактивные методы – практическая отработка осваиваемых знаний, умений, навыков на уровне компетенций
|
||||||
|
Средства обучения |
1.По характеру воздействия на обучаемых: ИКТ - презентации; 2.По степени сложности: простые: учебники, печатные пособия.
|
||||||
|
Методическая цель |
Методическая цель - отрабатывать методику контроля результатов выполнения письменных упражнений. - реализовывать индивидуальный дифференцированный подход в процессе выполнения обучающимися заданий для самостоятельной работы; |
||||||
|
Цели и задачи занятия |
Воспитательная |
Формулировать интеллектуальных, нравственных, эмоционально-волевых качеств у обучающихся.
|
Воспитывать положительное отношение к приобретению новых знаний; Воспитывать ответственность за свои действия и поступки; Вызвать заинтересованность новым для студентов подходом изучения математики. Воспитывать интерес к математике путём введения разных видов закрепления материала: устной работой, работой с учебником, работой у доски, ответами на вопросы и умением делать самоанализ, самостоятельной работой; стимулированием и поощрением деятельности учащихся.
|
||||
|
Образовательная |
Обобщить и закрепить знания о способах решения квадратных, рациональных, дробно-рациональных неравенств методом неравенств. Выяснить значение метода интервалов для решения неравенств. Применять полученные знания в простейших ситуациях. |
Рассмотреть способы решения неравенств. Способствовать выработке навыков их решения. Систематизировать знания решения неравенств методом интервалов.
|
|||||
|
Развивающая |
Развитие речи, мышления, сенсорной восприятие внешнего мира через органы чувств сферы;
|
Формировать навыки познавательного мышления. Продолжить развитие умения выделять главное. Продолжить развитие умения устанавливать причинно-следственные связи. Развивать
навыки и умения, в выполнении заданий по теме, умение работать в группе и
самостоятельно. Развивать логическое мышление, правильную и грамотную
математическую речь, развитие самостоятельности и уверенности в своих знаниях
и умениях при выполнении разных видов работ. |
|||||
|
Планируемый результат |
Уметь |
Решать квадратные, линейные, дробно-рациональные неравенства методом интервалов. Решать однородные показательные неравенства; |
|||||
|
Знать |
Алгоритм решения неравенства методом интервалов |
||||||
|
Формирование компетенций у обучающихся |
Общие (ОК)
|
Л1. Сформированность представлений о математике как универсальном языке науки, средстве моделирования явлений и процессов, идеях и методах математики; Л5. Готовность и способность к образованию, в том числе самообразованию, на протяжении всей жизни; сознательное отношение к непрерывному образованию как условию успешной профессиональной и общественной деятельности; Л8. Отношение к профессиональной деятельности как возможности участия в решении личных, общественных, государственных, общенациональных проблем; М2. Умение продуктивно общаться и взаимодействовать в процессе совместной деятельности, учитывать позиции других участников деятельности, эффективно разрешать конфликты; М5. Владение языковыми средствами: умение ясно, логично и точно излагать свою точку зрения, использовать адекватные языковые средства;
|
|||||
|
Профессиональные (ПК) |
П1. Сформированность представлений о математике как части мировой культуры и месте математики в современной цивилизации, способах описания явлений реального мира на математическом языке; П3. Владение методами доказательств и алгоритмов решения, умение их применять, проводить доказательные рассуждения в ходе решения задач; П4. Владение стандартными приемами решения рациональных и иррациональных, показательных, степенных, тригонометрических уравнений и неравенств, их систем; использование готовых компьютерных программ, в том числе для поиска пути решения и иллюстрации решения уравнений и неравенств; |
||||||
|
Межпредметные связи |
Входящие |
История |
Система показательных уравнений и неравенств. |
||||
|
Выходящие |
Геометрия |
|
|||||
|
Внутрипредметные |
Алгебра, геометрия |
||||||
|
Показательные уравнения, показательные неравенства. Система показательных уравнений и неравенств. |
|||||||
|
Оснащение занятия |
Методическое |
Методическая разработка занятия. |
|||||
|
Материально-техническое |
Ручка, карандаш, тетрадь, линейка. |
||||||
|
Информационное |
Компьютер, интерактивная доска. |
||||||
|
Список литературы |
Основная |
1.Алимов, Ш. А. Алгебра и начала математического анализа (базовый и углубленный уровни)10—11 классы / Ш.А. Алимов — М., 2018. – с.455. 2.Колягин, Ю.М. Математика: алгебра и начала математического анализа. Алгебра и начала математического анализа (базовый и углубленный уровни). 11 класс / М. В Ткачева., Н. Е Федерова. — М., 2018. - 384 с. |
|||||
|
Дополнительная |
1 Александров А.Д., Геометрия / А.Л.Вернер, В.И. Рыжик (базовый и профильный уровни). 10—11 кл. – 2017. – 344 с. 2. Богомолов, И.Д. Математика: учебник / И.Д. Богомолов. – М., 2018. - 384 с.
|
||||||
|
Интернет-ресурсы |
1. Калашникова В.А. Методическое пособие: «Конспекты лекций по математике» [Электронный ресурс] /В.А. Калашникова. 2. Яковлев Г.Н. Алгебра и начала анализа (Математика для техникумов) [Электронный учебник] /Г.Н Яковлев. - Режим доступа: http://lib.mexmat.ru/books/78472. 3.http://fcior.edu.ru/ - Федеральный центр информационно-образовательных ресурсов 4.http://school-collection.edu.ru/ - Единая коллекция цифровых образовательных ресурсов
|
||||||
|
Деятельность преподавателя |
Деятельность обучающихся |
Методическое обоснование |
Формируемые ОК и ПК |
|
|
1. Организационный этап -5 мин. |
||||
|
Проверяет готовность обучающихся к занятию. дает положительный эмоциональный настрой, организует, проверяет готовность уч-ся к уроку |
Готовятся к началу занятия. |
Включение обучающихся в деятельность на личностно значимом уровне. |
ОК 1, ОК 4. П1. |
|
|
2. Этап всесторонней проверки домашнего задания - 10мин. |
||||
|
Выявляет правильность и осознанность выполнения всеми обучающимися домашнего задания; устранить в ходе проверки обнаруженные пробелы в знаниях. |
По очереди комментируют свои решения. Приводят примеры. Пишут под диктовку.
|
Повторение изученного материала, необходимого для открытия нового знания, и выявление затруднений в индивидуальной деятельности каждого обучающегося. |
ОК1, ПК 1, ПК4 |
|
|
3. Постановка цели и задач занятия. Мотивация учебной деятельности обучающихся - 5 мин. |
||||
|
Озвучивает тему урока и цель, уточняет понимание обучающегося поставленных целей урока. Эмоциональный настрой и готовность преподавателя на урок.
|
Эмоционально настраиваются и готовятся обучающихся на урок. Ставят цели, формулируют тему урока. |
Обсуждение затруднений; проговаривание цели урока в виде вопроса, на который предстоит ответить. Методы, приемы, средства обучения: побуждающий от проблемы диалог, подводящий к теме диалог. |
ОК 1, ОК 4. П1. |
|
|
4. Актуализация знаний - 30 мин. |
||||
|
Уточняет понимание обучающимися поставленных целей занятия. Выдвигает проблему. Создает условия, чтобы обучающийся смогли систематизировать знания о множестве действительных чисел, имели представление о пределе числовой последовательности
|
Под диктовку, все выполняют задание, а один проговаривает вслух.
|
Создание проблемной ситуации. Уч-ся- фиксируют индивидуальные затруднения . Создание условия, чтобы обучающийся смогли систематизировать знания о множестве действительных чисел. |
ОК 1, ОК 4. П1. |
|
|
5. Первичное усвоение новых знаний - 10 мин. |
||||
|
Создаёт эмоциональный настрой на усвоение новых знаний.
|
Внимательно слушают, записывают под диктовку в тетрадь. |
Создание условий, чтобы обучающийся смогли систематизировать знания о множестве действительных чисел. |
ОК1, ПК 1, ПК4 |
|
|
6. Первичная проверка понимания - 10 мин. |
||||
|
Проводит параллель с ранее изученным материалом. Проводит беседу по уточнению и конкретизации первичных знаний;
|
Отвечают на заданные вопросы преподавателем. |
Осознание степени овладения полученными знаниями - каждый для себя должен сделать вывод о том, что он уже умеет. |
ОК1, ПК 1, ПК4 |
|
|
7. Первичное закрепление - 5 мин. |
||||
|
Контролирует выполнение работы. Осуществляет: индивидуальный контроль; выборочный контроль. Побуждает к высказыванию своего мнения. Показывает на доске решение, опираясь на алгоритм. |
записывают решение, остальные решают на местах, потом проверяют друг друга;
|
Тренировка и активизация употребления новых знаний, включение нового в систему Режим работы: устная, письменная, фронтальная, индивидуальная. |
ОК1, ПК 1, ПК4 |
|
|
8. Контроль усвоения, обсуждение допущенных ошибок и их коррекция (подведение итогов занятия 5 мин |
||||
|
Отмечает степень вовлеченности обучающихся в работу на занятии. Задает вопросы по обобщению материала. |
Под диктовку, все выполняют задание, а один проговаривает вслух; |
Оценивание работу обучающихся, делая акцент на тех, кто умело взаимодействовал при выполнении заданий |
ОК 1, ОК 4. П1. |
|
|
9. Информация о домашнем задании, инструктаж по его выполнению 5 мин |
||||
|
Обсуждение способов решения домашнего задания. Записывает номера заданий на доске.
|
Обобщают полученные знания, делают вывод о выполнении задач урока. |
Информация о домашнем задании, инструктаж по его выполнению
|
ОК 1, ОК 4. П1. |
|
|
10. Рефлексия (подведение итогов занятия) , 5 мин |
||||
|
Акцентирует внимание на конечных результатах учебной деятельности обучающихся на занятии.
|
1. Проводят самоанализ: “Чему научились и что нового узнали?”
|
Осознание своей учебной деятельности; самооценка результатов деятельности своей. |
ОК1, ПК 1, ПК4 |
|
|
№ п/п |
Изучаемые вопросы |
Уровень усвоения |
|
1. |
Устная работа. Повторение. Проверка домашнего задания. |
1 |
|
2. |
Объяснение темы: «Решение неравенств методом интервалов» |
|
|
|
2. 1 Алгоритм решения неравенств методом интервалов |
2 |
|
|
2.2 Решения квадратных неравенств методом интервалов. |
2 |
|
|
2.3 Решение дробно-квадратичного неравенства |
|
|
|
2.4 Решение дробно-линейных неравенств |
|
|
3. |
Закрепление нового материала. |
|
|
|
3.1 Решение примеров 1-3. |
3 |
|
4 |
Контролирующий блок: Проверь себя. |
3 |
|
5. |
|
3 |
1. Устная работа. Проверка домашнего задания. Фронтальный опрос.
Для реализации целей урока нам потребуется некоторый теоретический материал.
Давайте вспомним основные положения, необходимые для решения неравенств:
Вопросы:
Какие виды неравенств мы знаем::
1. Линейные ax + b > 0, (неравенство вида где a, b – некоторые числа, x - переменная )
2. Квадратные ax2 +bx + c > 0, (неравенства вида где a, b, c – числа, x – переменная)
3. Неравенства высших степеней (A(x) > 0, неравенства вида , A(x)- где многочлен степени выше 2)
4. Рациональные (неравенства вида
, гдеА(х) и Р(х) многочлены.
На этой странице вы узнаете
Решая уравнение, мы стремимся к тому, чтобы обе части были равны. Но существуют такие примеры, где мы заведомо знаем, что два выражения не могут быть равны между собой. Они называются неравенствами.
Метод интервалов
Неравенство — это алгебраическое выражение, в котором одна сторона имеет отличное от другой значение. В неравенствах обычно одна сторона больше другой.
Для записи неравенств используют знаки > , < , ≥ , ≤ .
При этом “>” и “<” — это строгие знаки неравенства, а “≥” и “≤” — нестрогие знаки неравенства.
Их отличие в том, что нестрогие знаки неравенства включают граничные точки в итоговый промежуток, а строгие — нет.

Рассмотрим пример неравенства (х — 10)(х + 21) > 0.
Его можно решить несколькими способами. Например, вспомним, что положительным будет произведение двух положительных или двух отрицательных множителей, тогда получается совокупность из двух систем.

Однако этот способ решения очень трудоемкий и требует много времени. А если множителей будет больше, например, три или четыре, то время на решение в разы увеличивается.
Небольшой секрет тайм-менеджмента: как сократить время при решении неравенств? В таких случаях на помощь приходит метод интервалов.
Метод интервалов — специальный алгоритм решения для сложных неравенств вида f(x) > 0. При этом знак неравенства может быть любым.
Интервал — это промежуток на числовой прямой, ограниченный двумя различными числами.
2.1 .Алгоритм решения неравенств методом интервалов
1 шаг. Перенести все части неравенства в одну сторону так, чтобы с
другой остался только 0.
2 шаг. Найти нули функции, для этого необходимо решить уравнение
f(x) = 0.
3 шаг. Начертить числовую прямую и отметить на ней все полученные
корни. Таким образом, числовая прямая разобьется на интервалы.
4 шаг. Определить знаки на каждом интервале. Для этого необходимо
подставить любое удобное значение в f(x) и определить, какой знак будет иметь
функция на данном интервале.
Расставляя полученные корни на прямой, необходимо отмечать их точками. При этом от того, какая отмечена точка (выколотая или закрашенная), будет зависеть ответ.
Таким образом, граничные точки не будут включены в итоговый промежуток. Для записи таких точек используют круглые скобочки. Например, в промежуток (2;3) включаются все значения от 2 до 3, но не включаются граничные точки.

Это означает, что мы включаем их в итоговый промежуток. Для записи таких точек используют квадратные скобочки. Например, в промежуток [2;3] включаются все значения от 2 до 3, в том числе и граничные точки.

Например, если необходимо решить неравенство с дробью, то нули знаменателя на числовой прямой обязательно должны быть обозначены выколотыми точками.
|
Как
быстро определить верное обозначение точки на прямой? |
Стоит отметить, что непрерывная функция будет менять знак только в точках, в которых она равна 0. Именно поэтому в методе интервалов мы ищем и отмечаем нули функции на прямой — только при переходе через них будет меняться знак функции.
При этом существует способ, с помощью которого можно быстро расставить знаки на прямой. Достаточно определить знак на одном из интервалов, а дальше чередовать знаки при переходе через каждую точку на прямой.
Правила чередования знаков:
|
Как правильно чередовать знаки на
числовой прямой? |
Рассмотрим несколько примеров, чтобы на практике разобрать применение метода интервалов для решения неравенств.
2.2 Решение квадратных неравенств методом интервалов:
Пример 1. Решить неравенство x2 + 8x — 33 > 0.
Шаг 1. Первым шагом необходимо найти нули функции, для этого приравниваем выражение слева к 0: x2 + 8x — 33 = 0.
Шаг 2. Находим корни уравнения, получаем х = 3 и х = -11.
Шаг 3. Расставляем полученные корни на числовой прямой. Поскольку знак неравенства строгий, то точки должны быть выколотыми:
![]()
Шаг 4. Дальше необходимо определить знаки на каждом интервале. Для этого подставим х = -12 в x2 + 8x — 33. Получаем:
(-12)2 + 8*(-12) — 33 = 144 — 96 — 33 = 15.
Получается положительное число, следовательно, интервал от минус бесконечности до -11 положительный. Поскольку все корни в неравенстве повторяются нечетное количество раз (по одному разу), то знаки чередуются.
![]()
В ответ необходимо записать промежутки с положительным знаком, следовательно, ответом будет х ∈ (-∞; -11) U (3; +∞).
2.3 Решение дробно-квадратичного неравенства
Пример 2. Решить
неравенство:
≤0
1. Находим нули функции.
Нули числителя: 2х2 + 22х — 204 = 0. Решая уравнение, получаем х = 6 и х = -17.
Нули знаменателя: (х — 3)(х + 5) = 0, следовательно, х = 3 и х = -5.
2. Расставляем полученные корни на числовой прямой. Нули числителя будут обозначены закрашенными точками, поскольку знак неравенства нестрогий. А вот нули знаменателя — выколотыми, поскольку знаменатель не может равняться 0, следовательно, и нули знаменателя не должны входить в итоговый промежуток.
![]()
3. Определяем знак на крайнем левом промежутке, подставляя х=-20 в дробь:
:
=:
= :
= 0,45
Следовательно, промежуток положительный.
4. Поскольку каждый корень встречается один раз, то есть нечетное количество раз, то знаки будут чередоваться.
![]()
В ответ необходимо включить отрицательные промежутки. Следовательно, ответом будет х ∈ [-17; -5) U (3; 6].
2.3 Решение дробно-линейных неравенств:
Мы рассмотрели метод интервалов на примере дробно-квадратичного рационального неравенства. Рекомендуется самостоятельно построить эскиз графика функции для данного примера.
Пример 1.
Решить
неравенство: ![]()
Эквивалентными преобразованиями приведем неравенство к нужному виду.
![]()
![]()
Множество решений этого неравенства совпадает со множеством решений исходного неравенства
Неравенство такого вида мы уже умеем решать методом интервалов.
1. ![]()
2.
Область допустимых значений ![]()
3.
Нули функции ![]()
4. Определяем интервалы знакопостоянства.
4 –
выколотая точка, т.к. при
функция
не существует, изобразим это на графике пунктирной линией.
5. Расставим знаки на промежутках. Самостоятельно можно проверить знаки методом пробной точки (Рис.2).

Теперь можно вернуться к неравенству и выбрать интервалы, удовлетворяющие заданным условиям.
Ответ: ![]()
Мы привели исходное неравенство к дробно-линейному виду. Самостоятельно можно построить эскиз графика функции.
3. Закрепление нового материала:
3.1.Решение примеров:
Пример 1. Решить
неравенство: ![]()
1. Первым делом следует отметить, что знаменатели не могут быть равны 0, следовательно, х2 ≠ 0 и х + 2 ≠ 0, отсюда получаем х ≠ 0 и х ≠ -2.
2. Теперь перенесем все части неравенства влево:
![]()
Приведем к общему знаменателю:
![]()
Для решения неравенства будет удобнее, если перед х2 в числителе будет стоять положительный знак, для этого умножим неравенство на -1.
При умножении неравенства на отрицательное число знак неравенства меняется на противоположный.
Получаем:
![]()
Теперь найдем нули функции.
Нули числителя: х2 — х — 2 = 0. Тогда х = -1 и х = 2.
Нули знаменателя: х = 0 и х = -2.
2. Расставим корни на числовой прямой, при этом нули числителя будут обозначены закрашенными точками, а нули знаменателя — выколотыми.
![]()
3. Определим знак на крайнем левом промежутке, подставив для этого х = -3 в дробь:
Промежуток отрицательный.
4. Дальше расставляем знаки, чередуя их. При этом следует заметить, что х = 0 — корень, повторяющийся четное количество раз (поскольку у х2 четная степень). Следовательно, при переходе через эту точку знак функции меняться не будет.

В ответ необходимо включить отрицательные промежутки, следовательно: х ∈ (-∞; -2) U [-1; 0) U (0; 2].
Вместо
могут
быть другие функции, например, дробно-линейные или дробно-квадратичные. Решение
неравенств такого рода является нашей целью.
Пример
2. Решить неравенство ![]()
Это
же неравенство может быть представлено в виде
тогда
нужно вначале разложить на множители числитель и знаменатель дроби.
1.
Рассмотрим функцию ![]()
2.
Область определения: ![]()
3.
Найдем нули функции ![]()
4. Выделим интервалы знакопостоянства.
5. Находим знак функции на каждом интервале.
Можно
проверить знаки по методу пробной точки. Например, на промежутке
На
остальных промежутках аналогично.(Рис.1)

Теперь
возвращаемся к неравенству
Ответ: ![]()
Рассмотрим некоторые сопутствующие задачи.
Найти наименьшее решение неравенства.
Ответ: ![]()
Найти
число натуральных решений неравенства ![]()
Ответ: 2.
Найти длину интервалов, составляющих множество решений неравенства.
Ответ:2.
Пример
3. Решить неравенство ![]()
При
решении данного неравенства может быть допущена грубая ошибка. Решать его
методом умножения обеих частей на
категорически
нельзя, будет потеряно множество решений!
Можно
умножить обе части неравенства на положительное число, тогда знак неравенства
останется прежним. Можно умножить на отрицательное число, тогда знак
неравенства поменяется. Но умножать на
мы
не можем, т.к. не знаем его знака.
Поэтому решаем неравенство методом эквивалентных преобразований.
![]()
1.
Рассмотрим функцию ![]()
2.
Область определения ![]()
3.
Нули функции ![]()
4. Определим интервалы знакопостоянства.
Точка 0 выколотая, в ней функция не существует, отметим это на графике пунктирной линией.
5. Расставим знаки на интервалах (Рис. 3).

Возвращаемся
к неравенству. ![]()
Ответ:![]()
Мы рассмотрели решение неравенств методом интервалов. В качестве функции выступала дробь, в числителе и знаменателе либо линейная, либо квадратичная функция.
Вывод:
· Метод интервалов позволяет упростить решение любого неравенства, а также экономит время, которое ограничено на экзамене.
· Чтобы решить неравенство с помощью метода интервалов необходимо найти нули функции, расставить их на числовой прямой, а после определить знак каждого полученного интервала.
· Нули функции на прямой обозначаются точками, при этом закрашенные точки включают граничные значения в итоговый промежуток, а не закрашенные, напротив, исключают их из промежутка.
· Для определения знака на каждом интервале необходимо подставить любое значение из этого интервала в функцию.
· Для упрощения расстановки знаков можно пользоваться правилами чередования, определив знак только на одном интервале, а дальше менять знаки на каждом следующем. При этом если корень встречается в функции нечетное количество раз, то знак при переходе через эту точку на следующий интервал меняется, а если корень встречается четное количество раз, то знак на следующем интервале не меняется.
Задание 1.
Какие знаки неравенства существуют?
Задание 2.
Какой знак неравенства может встретиться в методе интервалов?
Задание 3.
Какое утверждение верное?
Задание 4.
Какое утверждение верное?
Задание 5.
Если в неравенстве строгий знак неравенства, то какие скобочки могут
встретиться в ответе?
Ответы: 1. — 3 2. — 4 3. — 2 4. — 2 5. — 1
2.Объяснение темы Системы показательных уравнений и неравенств.
2.1 Способы решения систем уравнений
Для начала кратко вспомним, какие вообще существуют способы решения систем уравнений. Существуют четыре основных способа решения систем уравнений:
1)Способ подстановки: берется любое из данных уравнений и выражается y через x, затем y подставляется в уравнение системы, откуда и находится переменная x. После этого мы легко можем вычислить переменную y.
2)Способ сложения: в данном способе необходимо умножать одно или оба уравнения на такие числа, чтобы при сложении вместе обоих одна из переменных «исчезла».
3)Графический способ: оба уравнения системы изображается на координатной плоскости и находится т очка их пересечения.
4)Способ введения новых переменных: в этом способе мы делаем замену каких-либо выражений для упрощения системы, а потом применяем один из выше указанных способов.
2.2 Системы показательных уравнений и неравенств.
Определение 1: Системы уравнений, состоящие из показательных уравнений, называются системой показательных уравнений.
Решение систем показательных уравнений будем рассматривать на примерах.
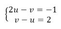
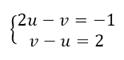
Пример 1 Решить систему уравнений.
Решение.
Будем пользоваться первым способом для решения данной системы. Для начала выразим в первом уравнении y через x.
![]()
Подставим y во второе уравнение:
[-2-x=у]
Ответ: (-4,6).
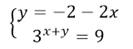
Пример 2
Решить систему уравнений

Решение.
Данная система равносильна системе

Применим четвертый метод решения уравнений. Пусть 2x=u (u >0), а 3y=v (v >0), получим:

Решим полученную систему методом сложения. Сложим уравнения:
Тогда из второго уравнения, получим, что возвращаясь к замене, получил новую систему показательных уравнений:
Получаем: Ответ: (0,1).
2.3 Системы показательных неравенств.
Определение 2: Системы неравенств, состоящие из показательных уравнений, называются системой показательных неравенств.
Решение систем показательных неравенств будем рассматривать на примерах.
Пример 3
Решить систему неравенств

Решение:
Данная система неравенств равносильна системе

Для решения первого неравенства вспомним следующую теорему равносильности показательных неравенств:
Теорема 1. Неравенство a{f(x)} >a{\varphi (x)} , где a >0,a ≠ 1 равносильна совокупности двух систем
Ответ: (-4,6).
Пример 2
Решить систему уравнений

Решение.
Данная система равносильна системе
Применим четвертый метод решения уравнений. Пусть 2x=u (u >0), а 3y=v (v >0), получим:

Решим полученную систему методом сложения. Сложим уравнения:
Тогда из второго уравнения, получим, что возвращаясь к замене, получил новую систему показательных уравнений:
Ответ:(0,1).
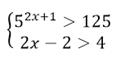
3.1 Решение примеров устно.
Пример №1. Решить
неравенство: ![]()
Вспоминаем
свойства показательной функции:
, значит,
Данное
неравенство не имеет решений.
Пример №2. Решить
неравенство: ![]()
По
аналогии с предыдущим неравенством:
(а,
значит,
) для всех
из области
определения, то есть
.
3.2 Примеры и разбор решения заданий тренировочного модуля.
Пример №1. Решите систему уравнений:
![]()
"Решаем" каждое из уравнений по отдельности, приводя к обычной линейной системе.
1) ![]()
![]()
![]()
![]()
2) ![]()
![]()
![]()
![]()
Получаем систему:

![]()
![]()
![]()
Ответ:![]()
Пример №2. Решите систему уравнений:
![]()
1) Перемножим оба уравнения:
![]()
![]()
![]()
2) Поделим второе уравнение на первое:
![]()
![]()
![]()
![]()
![]()
Получаем систему:
![]()
![]()
Ответ: ![]()
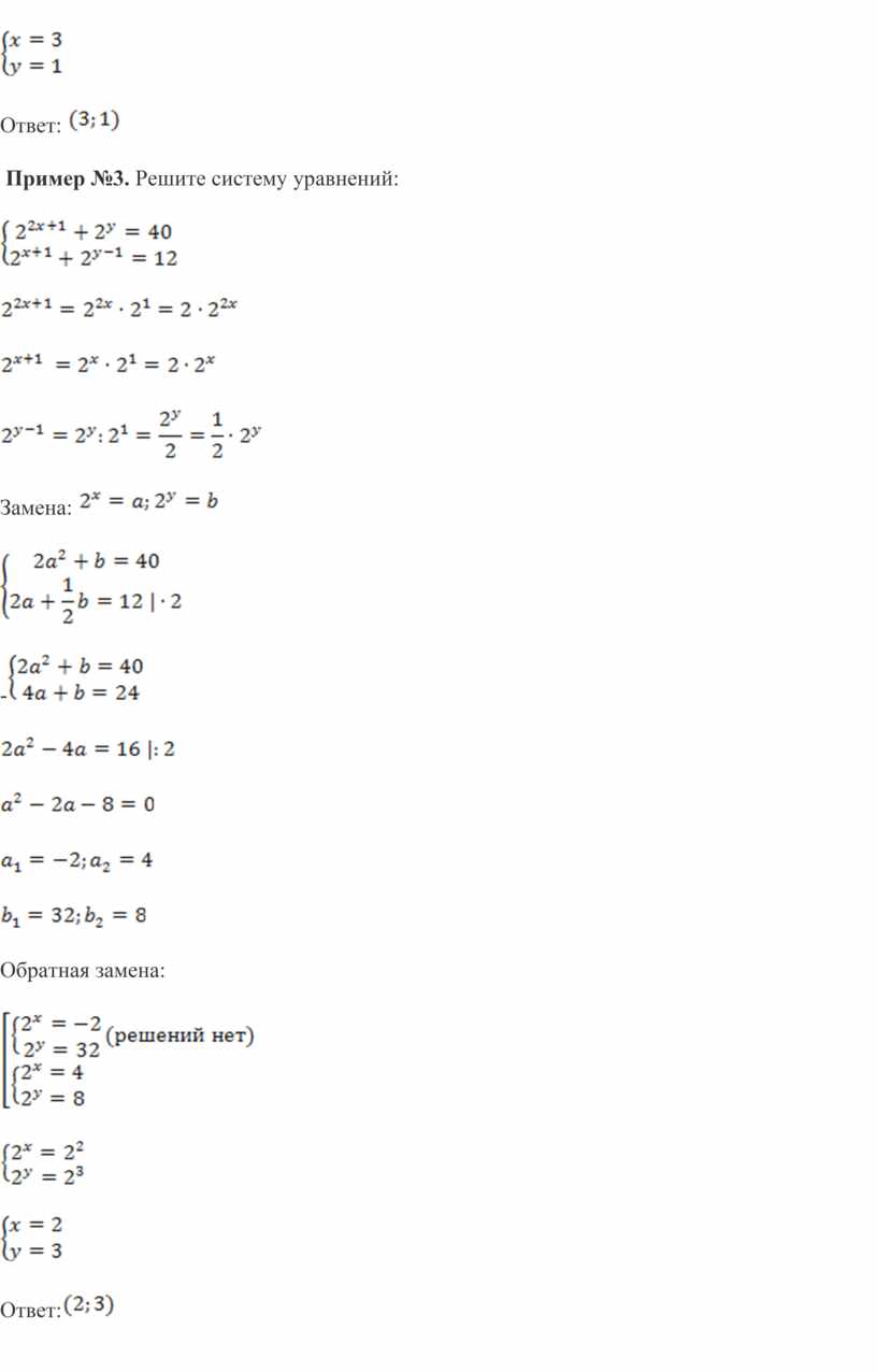
Пример №3. Решите систему уравнений:
![]()
![]()
![]()
![]()
Замена: ![]()

-![]()
![]()
![]()
![]()
![]()
Обратная замена:

![]()
![]()
Ответ:![]()
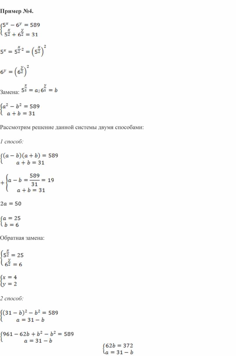
Пример №4.
![]()
![]()
![]()
Замена: ![]()
![]()
Рассмотрим решение данной системы двумя способами:
1 способ:
![]()

![]()
![]()
Обратная замена:
![]()
![]()
2 способ:
![]()
![]()
![]()
![]()
Обратная замена:
![]()
Ответ: ![]()
4.Решение упражнений (нечетные пункты) на закрепление темы (№240-242)
5.Домашнее задание № 240-242 (четные пункты). Подведение итогов.
|
Термин |
Значение |
|
Система показательных уравнений. |
Это система уравнений, состоящие из показательных уравнений. |
|
Система показательных неравенств. |
Это система неравенств, состоящие из показательных уравнений и неравенств. |
3. Контролирующий блок
Самостоятельная работа «Системы показательных уравнений и неравенств»
1 вариант
1.
Решить
уравнение: а)
,
б)
,
в)
-5=0.
2.
Решить
неравенство:
.
3.
Решить
систему уравнений: 1) ![]()
2)![]()
3) ![]()
Самостоятельная работа «Системы показательных уравнений и неравенств»
2 вариант
1.
Решить
уравнение: а)
,
б)
,
в)
+9=0.
2.
Решить
неравенство:
.
3.
Решить
систему уравнений: 1) ![]()
2) ![]()
3) ![]()
Скачано с www.znanio.ru
Материалы на данной страницы взяты из открытых источников либо размещены пользователем в соответствии с договором-офертой сайта. Вы можете сообщить о нарушении.