

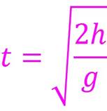
С вертолёта, находящегося на высоте 300 м, сбросили груз. Через какое время груз упадёт на землю, если вертолёт неподвижен.
Решение:
h - высота, t - время,
- скорость.
Так как груз падает без начальной скорости
=>
=>


Какова линейная скорость тела, движущегося по окружности радиусом 40 м с ускорением 2,5 м/с2

Ответ:

С какой наибольшей скоростью может двигаться автомобиль массой 1 т на повороте радиусом 100 м, чтобы его не «занесло», если
=>
Чему равна центростремительная сила и центростремительное ускорение, действующие на пращу массой 800 г, вращающуюся на веревке длиной 60 сантиметров равномерно со скоростью 2 м/с?

Задачи для
самостоятельного решения
Задача1 C какой скоростью велосипедист проходит закругление с радиусом 25 метров, если центростремительная скорость его движения равна 4 м/с?
Задача2 С вертолёта, находящегося на высоте 200 м, сбросили груз.
Через какое время груз упадёт на землю, если вертолёт неподвижен.

Задачи должны быть оформлены так же, как они оформлены в презентации.
Задачи переписывать не нужно, мне от вас нужно только решение «самостоятельных задач».
Материалы на данной страницы взяты из открытых источников либо размещены пользователем в соответствии с договором-офертой сайта. Вы можете сообщить о нарушении.