Тема урока: «Решение задач с помощью уравнений»
Цели:
Универсальные учебные действия:
Вид урока: урок усвоения знаний, умений и навыков.
Ход урока
Решение задач на движение с помощью рациональных уравнений
1. Организационный момент.
2. Актуализация опорных знаний учащихся.
Наиболее удобные обозначения при решении задач на движение
S (км)- путь, расстояние;
V (км/ч) - скорость;
t (ч) - время.
Связь при равномерном движении по прямой между этими величинами такова: S=V*t

Условия задачи удобно анализировать, заполняя таблицу.

3. Мотивация учебной деятельности учащихся.
4. Изучение нового материала.
Основные этапы решения текстовой задачи алгебраическим методом
1. Анализ условия задачи и его схематическая запись.
2. Перевод естественной ситуации на математический язык (построение математической модели: введение переменной и составление дробного рационального уравнения).
3. Решение полученного уравнения.
4. Интерпретация полученного результата.
Решение задачи.
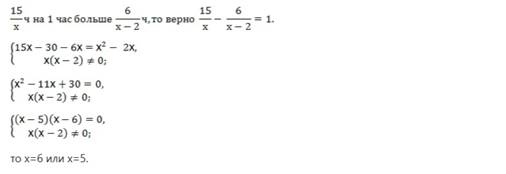
Турист проплыл на лодке против течения реки 6 км и по озеру 15 км, затратив на путь по озеру на 1 час больше чем на путь по реке. Зная, что скорость течения реки равна 2 км/ч, найдите скорость лодки при движении по озеру.

На 1 час больше.
Пусть х км/ч скорость движения лодки по озеру. По условию х > 0.

Ответ: собственная скорость лодки 6 км/ч или 5 км/ч.
5. Закрепление. Коррекция умений и навыков учащихся.
Учащимся предлагается выбрать правильный ответ. Приложение 1
Учащиеся выходят к доске по одному, заполняют таблицу и составляют уравнение. Для экономии времени всем учащимся раздаются листы с условиями задач и пустыми таблицами. Успешным учащимся предлагается для одной из задач провести полное решение.
1. Теплоход проходит по течению до пункта назначения 126 км и после стоянки возвращается в пункт отправления. Найдите скорость теплохода в неподвижной воде, если скорость течения 2 км/ч, стоянка длится 8 ч, а в пункт отправления теплоход возвращается ровно через сутки после отплытия из него. Ответ дайте в км/ч.




5. Дополнительно: Велосипедист проехал из поселка до станции с некоторой постоянной скоростью, а возвращался со скоростью на 5 км/ч большей. Какова была первоначальная скорость велосипедиста, если известно, что средняя скорость на всем пути следования составляла 12 км/ч?
6. Проверка уровня усвоения новых знаний, умений и навыков.
7. Итог урока.
Приложение 1
Приложение 2
Скачано с www.znanio.ru
Материалы на данной страницы взяты из открытых источников либо размещены пользователем в соответствии с договором-офертой сайта. Вы можете сообщить о нарушении.