Сложение и вычитание алгебраических дробей_План урока (2)

  • docx
  • 30.04.2020
Публикация на сайте для учителей

Публикация педагогических разработок

Бесплатное участие. Свидетельство автора сразу.
Мгновенные 10 документов в портфолио.

Иконка файла материала Сложение и вычитание алгебраических дробей_План урока (2).docx

Краткосрочный план

Раздел долгосрочного плана:

7.4В:Алгебраические дроби

Школа:

Дата:

ФИО учителя:

Класс: 7

Количество присутствующих:

отсутствующих:

Тема урока

Сложение и вычитание алгебраических дробей

Вид урока

Изучение новой темы

Цели обучения, которые достигаются на данном уроке (ссылка на учебную программу)

7.2.1.19 выполнять сложение и вычитание алгебраических дробей

 

Цели урока

Формировать умения и навыки сложения и вычитания алгебраических дробей.

Критерии оценивания

Учащийся достиг цели обучения, если:

1.      приводит дробное выражение к общему знаменателю

2.       применяет арифметические действия к дробям

Языковые цели

Языковые цели обучения:

Учащиеся будут:

-      аргументировано описывать выбор алгебраической дроби из ряда различных выражений;

-      комментировать нахождение области допустимых значений алгебраической дроби;

-      пояснять смысл сокращения дроби;

-      комментировать порядок выполнения действий с алгебраическими дробями;

-      пояснять выполнение каждого действия с алгебраическими дробями.

Серияполезных фраз для диалога/письма

Ø  дробь не имеет смысла …;

Ø  дробь равна нулю тогда, когда …;

Ø  чтобы найти область допустимых значений выражения, нужно …;

Ø  чтобы привести дроби к общему знаменателю, нужно …;

Ø  используем разложение числителя и знаменателя дроби на множители для …;

Ø  чтобы найти общий знаменатель дробей, нужно …;

Ø  чтобы найти дополнительные множители для каждой дроби, нужно …;

Ø  чтобы изменить знаки слагаемых в числителе (знак перед дробью), …;

Ø  чтобы показать, что значение выражения не зависит от значения входящих в него переменных, нужно …;

Ø  заменить дробь тождественно равной ей дробью значит … .

Привитие ценностей

Умение работать в группе, терпеливость, осознанность, ответственность перед коллегами…

Межпредметные связи

Знания, полученные в данном разделе, найдут применение во многих разделах математики, физики и других науках.

Навыки использования ИКТ

Использование интерактивной доски в качестве демонстрационного средства и средства записи.

Предварительные знания

Умение применять формулы сокращённого умножения при упрощении выражений и разложении на множители; навыки умножения и деления многочлена на одночлен; умение раскладывать многочлен на множители различными способами, понятие алгебраической дроби, основное свойство дроби

Ход урока

Запланированные этапы урока

Запланированная деятельность на уроке

Ресурсы

Начало урока5 мин

 

1.      Приветствие учащихся.

2.      Формулировка темы и целей урока.

3.      Brain gym

А)Какое число уменьшится на треть, если его перевернуть?   (9)

Б) Что не имеет длины, глубины, ширины, высоты, а можно измерить?  (температура и др. варианты)

В)Что все люди на земле делают одновременно? (дышат)

Г) Где край света? (там, где начало тьмы)

Д) В китайском языке сочетание трех иероглифов «дерево» означает слово «лес». А что означает сочетание двух иероглифов «дерево»? (парк)

 

 

 

https://azbyka.ru/deti/logicheskie-i-zanimatelnye-zadachi

Середина урока

3 мин

 

 

 

 

 

 

 

 

 

 

 

 

 

 

 

 

12 мин

 

 

 

 

 

 

 

 

 

 

 

 

 

 

 

 

 

 

 

 

 

 

 

 

 

4 мин

 

 

 

 

 

 

 

 

 

10 мин

 

 

 

 

 

 

 

 

 

 

 

 

 

 

 

 

 

 

 

 

 

 

6 мин

 

4.      Введение в новую тему. Исследовательская работа.

Выполните сложение дробей:

Учащиеся выполняют действия над обыкновенными дробями.

Учитель задает вопрос: что будет, если задание перепишем в виде

 

 

Учащиеся выполняют сложение по аналогии с предыдущим примером:

 

 

 


Далее учащиеся сравнивают эти два примера и делают выводы.

 

5.      Изучение материала

Над алгебраическими дробями можно осуществлять преобразования аналогичные тем, которые применяются для обыкновенных дробей.

Как привести алгебраические дроби к наименьшему

общему знаменателю?

Учащиеся совместно с учителем определяют алгоритм сложения и вычитания алгебраических дробей.

 

Алгоритм выполнения действий сложения и

вычитания алгебраических дробей

с разными знаменателями:

1)      Знаменатели дробей разложить на множители.

2) Найти наименьший общий знаменатель для дробей.

3) Привести все дроби к найденному общему знаменателю.

4) Сложить или вычесть дроби согласно правилу

сложения и вычитания дробей с одинаковыми

знаменателями.

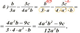
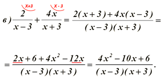
6.      Фронтальная работа.

Учащиеся совместно с учителем разбирает решение следующего примера:

Работа в парах.(Деление на пары учитель осуществляет удобным для него способом)

Критерии оценивания:

Учащиеся выполняют сложение и вычитание алгебраических дробей (приводит к общему знаменателю, выполняет преобразование числителей).

Выполните сложение и вычитание алгебраических дробей:

 

 

 

 

7.      Индивидуальная работа.

Учащиеся самостоятельно выполняют задание.

Упростить выражение.

 

 

 

 

 

Презентация

 

 

 

 

 

 

 

 

 

 

 

 

 

 

 

 

 

 

 

 

 

 

 

 

 

 

 

 

 

 

 

 

 

 

Алгебра, 7 класс, Шыныбеков Ә.Н., 2012 г.

 

 

 

 

 

 

 

Алгебра, 7 класс, Шыныбеков Ә.Н., 2012 г.

Конец урока

5 мин

8.      Подведение итогов урока

9.      Постановка домашнего задания

10.  Рефлексия

Начало урока     Середина          Конец урока

http://igrushka.kz/vip74/hud.jpghttp://nenuda.ru/nuda/199/198486/198486_html_m6fd136fa.jpg

Алгебра, 7 класс, Шыныбеков Ә.Н., 2012 г.

 

Дифференциация – каким образом Вы планируете оказать больше поддержки? Какие задачи Вы планируете поставить перед более способными учащимися?

Оценивание – как Вы планируете проверить уровень усвоения материала учащимися?

Здоровье и соблюдение техники безопасности

Дифференциация может быть выражена в подборе заданий, в ожидаемом результате от конкретного ученика, в оказании индивидуальной поддержки учащемуся, в подборе учебного материала и ресурсов с учетом индивидуальных способностей учащихся (Теория множественного интеллекта по Гарднеру).

Дифференциация может быть использована на любом этапе урока с учетом рационального использования времени.

Используйте данный раздел для записи методов, которые Вы будете использовать для оценивания того, чему учащиеся научились во время урока.

Здоровьесберегающие технологии.

Используемые физминутки и активные виды деятельности.

Пункты, применяемые из Правил техникибезопасности на данном уроке.

Рефлексия по уроку

Были ли цели урока/цели обучения реалистичными?

Все ли учащиеся достигли ЦО?

Если нет, то почему?

Правильно ли проведена дифференциация на уроке?

Выдержаны ли были временные этапы урока?

Какие отступления были от плана урока и почему?

Используйте данный раздел для размышлений об уроке. Ответьте на самые важные вопросы о Вашем уроке из левой колонки.

 

Общая оценка

 

Какие два аспекта урока прошли хорошо (подумайте как о преподавании, так и об обучении)?

1:

 

2:

Что могло бы способствовать улучшению урока (подумайте как о преподавании, так и об обучении)?

1:

 

2:

Что я выявил(а) за время урока о классе или достижениях/трудностях отдельных учеников, на что необходимо обратить внимание на последующих уроках?

 

 

 

 


 

Скачано с www.znanio.ru