Сокращение алгебраических дробей_План урока (1)

  • docx
  • 30.04.2020
Публикация на сайте для учителей

Публикация педагогических разработок

Бесплатное участие. Свидетельство автора сразу.
Мгновенные 10 документов в портфолио.

Иконка файла материала Сокращение алгебраических дробей_План урока (1).docx

План урока

 

Раздел долгосрочного плана:

7.4С Алгебраические дроби

Школа :  

 

Дата :

ФИО  учителя:

 

Класс: 7

Количество присутствующих:

 

отсутствующих:

Тема урока

Сокращение алгебраических дробей. Упрощение выражений,содержаших алгебраические дроби

Тип урока

Закрепление пройденного материала

Цели обучения, которые достигаются на данном  уроке (ссылка на учебную программу)

7.2.1.29   Упрощение выражений содержащих алгебраические дроби

 

Цель урока

Уметь сокращать дроби, используя основное свойства алгебраических дробей

Критерии оценивания

 

 

Знание и понимание

Знает основное свойство алгебраических дробей;

Применение знания

Выполняет разложение на множители числителя и знаменателя алгебраической дроби;

Применение знания

Умеет сокращать и упрощать алгебраические дроби;

 

Языковые цели

 Лексика  и терминология

Объясняет практическое применение сокращения обыкновенных дробей.

Приводит практические примеры алгебраических дробей.

Правильно использует следующую терминологию:

-          область допустимых значений;

-          значение переменной, при котором алгебраическая дробь не имеет смысла;

-          целое выражение ;

-          алгебраические дроби;

-          основное свойство дробей; 

-          сокращение дробей;

Привитие ценностей

Формирование уважения, товарищества во время работы в группе и парах,ответственность при самостоятельной работе и привитие ценностей прилежной учебы.

Активное участие, умение принять самостоятельное решение. Принятие и уважение мнения других. 

Межпредметные связи

 

Навыки  ИКТ

Развитие навыков использования интерактивной доски

Предварительные

знания

Умеет преобразовывать выражения, выполняет действия над алгебраическими дробями, сформированы навыки разложения многочленов на множители, применяя формулы сокращенного умножения

Ход урока

Запланированные этапы урока

Запланированная деятельность на уроке

Ресурсы

Начало урока

5 мин

І. Организационный момент:

Приветствие учеников. Создание дружной атмосферы.

Деление учеников на две группы  

Ученики делятся на группы, выбирая разноцветные фигуры.

 

ІІ. Постановка цели урока и определение критериев оценивания.

- Учащиеся в группах обсуждают цели урока и критерий оценивания.

 

Разноцветные фигуры

 

 

Презентация

Слайд 1-2

Середина урока

Повторение

 

5 мин

 

 

 

 

 

 

 

 

 

5 мин

 

 

 

 

 

 

 

2 мин

 

 

 

 

10 мин

 

 

 

 

 

 

 

 

 

 

 

 

 

 

11 мин

 

 

 

 

 

 

 

 

 

 

 

 

 

 

 

 

 

 

 

 

 

 

2 мин

 

 

1.      Знание. 

Повторяются следующие темы:

1)      Формулы сокращенного умножения

2)      Вынеснение общего множителя за скобки

3)      Разложение многочленов на множителей

4)      Основное свойство дробей

Учащиеся формулируют теоретический материал по данным темам. Затем учащиеся выполняют задания на сокращение дробей.

 

2.      Понимание.Для лучшего пониманиятемыученикам предлагается привести практические примеры на основное свойство обыкновенных дробей, (например,  сложить полкоробки  и одну  треть коробки конфет и т.д.). Примеры на алгебраические дроби, такие как, отношение пройденного путик затраченному времени, отношение площади прямоугольника к его длине и т. д.

 

Физминутка.Ученики танцуют под музыку.Когда останавливается музыка каждыйвыбирает себе наугад пару, таким образом класс делятся на пары.

 

3. Применение-анализ. Стратегия  «Думай-анализируй в паре»

1) Ученики в паре выполняють 1) и 3) примера №490 и объясняют решение друг другу. Слабоуспевающим трем ученикам предлагается выполнить несколько примеров на сокращение дробей на доске, при необходимости подробно объясняется.

 

2) Уровневые задания:

Работа с учебником.

І уровень – №498 (3,4)

ІІ  уровень – №500 (1,4)

ІІІ уровень - № 506(1)

 

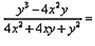
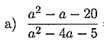
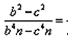
3)Индивидуальная работа. Тренинг.

Сократите данные алгебраические дроби.

http://myshpora.narod.ru/class7/algebra7/alimov7/asa7g5/asa7524447.gif

5)https://ds03.infourok.ru/uploads/ex/0529/0001c660-30d24dc0/hello_html_504d2dd2.png

6) https://ds03.infourok.ru/uploads/ex/0529/0001c660-30d24dc0/hello_html_504d2dd2.png

7)https://ds03.infourok.ru/uploads/ex/0529/0001c660-30d24dc0/hello_html_504d2dd2.png

8)https://ds03.infourok.ru/uploads/ex/0529/0001c660-30d24dc0/hello_html_504d2dd2.png

Дополнительные задания

http://otvet.mobi/storage/f1/66/f166d0c7e052d5579bef33cda44c7f1c.png

http://otvet.mobi/storage/f1/66/f166d0c7e052d5579bef33cda44c7f1c.png

После окончания работы ученикам даются ответы и они проверяют свои работы, работают над ошибками.

 

4. Синтез.

Совместно с учащимися проводится обсуждение и анализ практического применения сокращение алгебраических дробей и выслушиваются мнения учеников.

Презентация

Слайд 3,4

 

 

 

 

 

 

 

 

 

Ә.Н.Шыныбеков

Алгебра

7 кл  Алматы

«Атамұра»

2012 год

108-115 стр.

 

 

 

 

 

 

Ә.Н.Шыныбеков

Алгебра

7 кл  Алматы

«Атамұра»

2012 год

114 стр.

 

Презентация

Слайд 5

 

 

Приложение

Конец урока

5 минут

5. Оценивание.Учащиеся  по листу оценивания оценивают друг друга и сами себя. Со стороны учителя дается обратная связь.

Домашнее задание: 

1)      Выучить правило сокращения алгебраических дробей.

2)      №509 2), 4);

№510 1), примеры.

В конце урока ученики выполняютрефлексию по методу «Светофор» и отвечают на вопросы:

- что узнал, чему научился?

- что осталось непонятным?

- над чем необходимо работать?

 

Слайд 6

 

Слайд 7

 

Ә.Н.Шыныбеков

Алгебра

7 кл  Алматы

«Атамұра»

2012 год

115 стр.

 

Слайд 8

Дифференциация – каким образом Вы планируете оказать больше поддержки? Какие задачи Вы планируете поставить перед более способными учащимися?

Оценивание – как Вы планируете проверить уровень усвоения материала учащимися?

Здоровье и соблюдение техники безопасности

Дифференциация может быть выражена в подборе заданий, в ожидаемом результате от конкретного ученика, в оказании индивидуальной поддержки учащемуся, в подборе учебного материала и ресурсов с учетом индивидуальных способностей учащихся (Теория множественного интеллекта по Гарднеру).

Дифференциация может быть использована на любом этапе урока с учетом рационального использования времени.

Используйте данный раздел для записи методов, которые Вы будете использовать для оценивания того, чему учащиеся научились во время урока.

Здоровьесберегающие технологии.

Используемые физминутки и активные виды деятельности.

Пункты, применяемые из Правил техникибезопасности на данном уроке.

Рефлексия по уроку

Были ли цели урока/цели обучения реалистичными?

Все ли учащиеся достигли ЦО?

Если нет, то почему?

Правильно ли проведена дифференциация на уроке?

Выдержаны ли были временные этапы урока?

Какие отступления были от плана урока и почему?

Используйте данный раздел для размышлений об уроке. Ответьте на самые важные вопросы о Вашем уроке из левой колонки.