Сокращение алгебраических дробей_Приложение

  • docx
  • 30.04.2020
Публикация на сайте для учителей

Публикация педагогических разработок

Бесплатное участие. Свидетельство автора сразу.
Мгновенные 10 документов в портфолио.

Иконка файла материала Сокращение алгебраических дробей_Приложение.docx

Приложение.

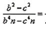
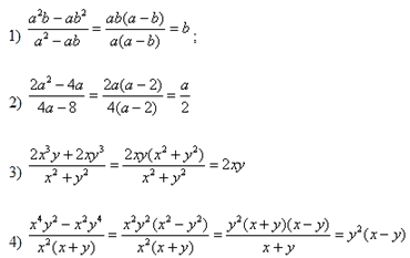
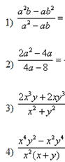
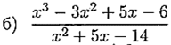
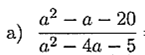
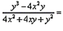
Сократите данные алгебраические дроби.

http://myshpora.narod.ru/class7/algebra7/alimov7/asa7g5/asa7524447.gif

5)https://ds03.infourok.ru/uploads/ex/0529/0001c660-30d24dc0/hello_html_504d2dd2.png

6) https://ds03.infourok.ru/uploads/ex/0529/0001c660-30d24dc0/hello_html_504d2dd2.png

7)https://ds03.infourok.ru/uploads/ex/0529/0001c660-30d24dc0/hello_html_504d2dd2.png

8)https://ds03.infourok.ru/uploads/ex/0529/0001c660-30d24dc0/hello_html_504d2dd2.png

Дополнительные задания

http://otvet.mobi/storage/f1/66/f166d0c7e052d5579bef33cda44c7f1c.png

http://otvet.mobi/storage/f1/66/f166d0c7e052d5579bef33cda44c7f1c.png

 

 

 

 

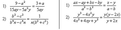
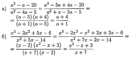
Ответы.

http://myshpora.narod.ru/class7/algebra7/alimov7/asa7g5/asa7524447.gif

https://ds03.infourok.ru/uploads/ex/0529/0001c660-30d24dc0/hello_html_504d2dd2.png

http://otvet.mobi/storage/f1/66/f166d0c7e052d5579bef33cda44c7f1c.png