Методические рекомендации к проведению урока
Тема урока: Среднее значение. Дисперсия. Стандартное отклонение
Тип урока: Урок закрепления знаний
Цели обучения:
8.3.3.5
знать определения и формулы для вычисления дисперсии и стандартного отклонения;
Цели урока:
Учащиеся изучат понятия «дисперсия» и «стандартное отклонение» и научатся вычислять их, используя различные формулы.
Структура урока
1. Организационный момент. Целеполагание.
2. Повторение.
3. Вывод альтернативной формулы.
4. Закрепление.
5. Подведение итогов урока. Рефлексия.
Теоретический материал к уроку, определения к понятиям и др.
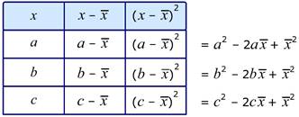
Пусть даны три произвольных числа a, b, c. Вычислим их стандартное отклонение:


Тогда
=
) =
.
Итак, можно использовать альтернативные формулы вычисления дисперсии и стандартного отклонения. Эти формулы значительно упрощают вычисления:
.

Таким образом, дисперсию можно вычислить, вычитая квадрат среднего арифметического из среднего арифметического квадратов, а квадратный корень этого числа является стандартным отклонением.
Инструкции к демонстрациям и технике безопасности.
Демонстрация материала осуществляется с помощью презентации PowerPoint. Слайды презентации содержат анимации, которые позволяют поэтапно вывести на экран решения и ответы к предложенным заданиям. Поэтому при показе презентации следует делать паузы после демонстрации заданий и постановки вопросов, давая учащимся время на их выполнение и обдумывание ответов.
Задания, оформленные отдельным приложением, несмотря на то, что они включены в презентацию, необходимо предоставить учащимся обязательно в распечатанном виде. А имеющиеся слайды использовать при обсуждении с классом и при оценивании выполненной работы. Это поможет свести к минимуму использование интерактивной доски.
Дополнительные методические рекомендации по организации урока.
Структура и организация урока нацелены на продуктивную деятельность учащихся, не допуская пассивного восприятия материала. В связи с этим учителю необходимо задавать учащимся вопросы высокого порядка, наталкивая их на «открытие» и освоение нового материала, при этом выдерживая паузы, необходимые для обдумывания.
Дополнительные разноуровневые (на дифференциацию) задания.
Базовый уровень
№1. Ниже изображены графики, описывающие вес огурцов (вида х, вида у), проросших из 100 семян.
а) Вес огурцов какого вида более рассеян?
b) Приведите обоснование своего ответа.

Продвинутый уровень
Менеджер футбольного клуба планирует принять нового игрока в состав команды. В качестве потенциального нового игрока менеджер рассматривает две кандидатуры. Он собрал данные о забитых голах этими игроками в течение 14 последних матчей и представил в виде таблицы.
|
1 игрок |
0 |
1 |
0 |
0 |
0 |
3 |
1 |
0 |
1 |
1 |
3 |
0 |
0 |
3 |
|
2 игрок |
1 |
1 |
0 |
2 |
1 |
1 |
0 |
1 |
1 |
0 |
2 |
1 |
1 |
1 |
Найдите среднее арифметическое и стандартное отклонение голов каждого игрока.
Какого игрока менеджер должен принять в состав команды? Обоснуйте свой ответ.
Рекомендации по формативному оцениванию.
Формативное оценивание производится на каждом этапе урока (самооценивание, оценивание учителем по критериям). Оценка путем наблюдения за вовлечением учеников в работу при выполнении заданий и за участием в диалогах. Прогресс, ответную реакцию на задания в парах, в группах необходимо отслеживать для того, чтобы оценить вклад каждого ученика и выявить наличие ошибок для их дальнейшей коррекции.
Ответы, критерии к заданиям, дополнительные материалы к уроку.
Ответы к заданиям содержатся в презентации урока и полезны для организации самооценивания или взаимооценивания учащихся.
Ответы к приложению 1.
№1.
a)
=2,075;
; b)
нет.
№2.
a)
;
.
№3. a)
;
. b)
1,91; 0,05
Критерии оценивания к каждому блоку заданий прописаны в приложениях к уроку, а также указаны в краткосрочном плане.
Список полезных ссылок и литературы.
Мордкович А.Г., Семенов В.П. События, Вероятности. Статическая обработка данных. Дополнительные параграфы к курсу алгебры 7–9 классов общеобразовательных учреждений. – М.: Мнемозима, 2009.
Ткачева М.Ф., Федорова Н.Е. Элементы статистики и вероятность. Учебное пособие для 7–9 классов общеобразовательных учреждений. – М.: Просвещение, 2007.
Бродский Я.С. Статистика. Вероятность. Комбинаторика. – М.: ООО «Издательство Оникс»; ООО «Издательство «Мир и Образование», 2008.
Макарычев Ю. Н.Алгебра : элементы статистики и теории вероятностей : учеб. пособие для учащихся 7—9 кл. общеоб–разоват. учреждений / Ю. Н. Макарычев, Н. Г. Миндюк; под ред. С. А. Теляковского.— 3–е изд.— М. : Просвещение, 2005.
|
http://5klass.net/algebra–9–klass/Osnovy–statistiki/020–Poligon–raspredelenija–dannykh.html
http://x–uni.com/matematika/7klass/uchebniki/sobitiya–veroyatnosti–statisticheskaya–obrabotka–dannih–aalgebra–7–9–klass–mordkovich–a–g–semenov–p–v–2008
|
http://videouroki.net/filecom.php?fileid=98704116
Скачано с www.znanio.ru
Материалы на данной страницы взяты из открытых источников либо размещены пользователем в соответствии с договором-офертой сайта. Вы можете сообщить о нарушении.