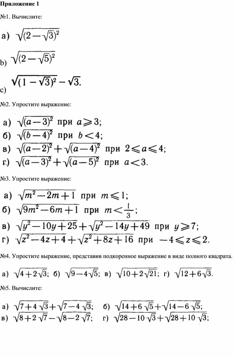
Приложение 1
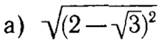
№1. Вычислите:
![]()
b) ![]()
c) ![]()
№2. Упростите выражение:

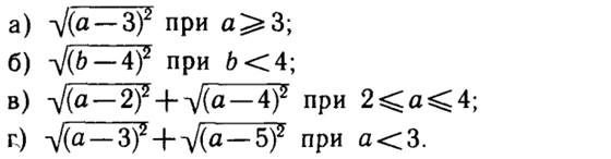
№3. Упростите выражение:

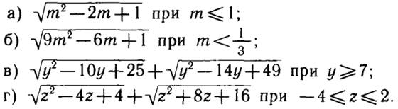
№4. Упростите выражение, представив подкоренное выражение в виде полного квадрата.
![]()
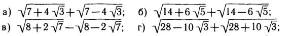
№5. Вычислите:

Материалы на данной страницы взяты из открытых источников либо размещены пользователем в соответствии с договором-офертой сайта. Вы можете сообщить о нарушении.