Приложение 2. Работа в парах
Утверждение. Пусть а, b, m и n – действительные числа такие, что a=m+n, b=mn. Тогда справедливы равенства:
![]()
Задание 1. Докажите второе равенство.
Вопрос: Чем существенно отличается доказательство второго равенства от доказательства первого?
Задание 2. Упростите, используя доказанное утверждение.

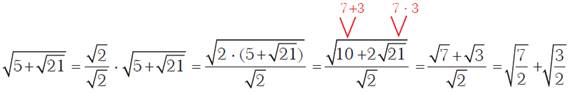
Последние два примера наиболее сложные, поэтому решение пункта е) приведено ниже. Разберите данное решение и решите по аналогии пункт f).
Вопрос: В чем особенность пунктов е, f?

Критерии оценивания:
ü Верно доказывает второе равенство в утверждении;
ü Называет отличия и сходства в доказательствах первого и второго равенств;
ü Правильно упрощает числовые выражения с помощью прямого использования доказанного утверждения;
ü Правильно упрощает сложные числовые выражения, используя доказанное утверждение.
Материалы на данной страницы взяты из открытых источников либо размещены пользователем в соответствии с договором-офертой сайта. Вы можете сообщить о нарушении.