Приложение 3. Индивидуальная работа
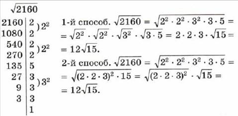
1. Разберите пример.

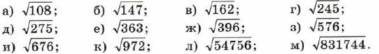
2. Опираясь на рассмотренный пример, вынесите множитель за знак корня.

Критерии оценивания:
ü Верно выполняет разложение составного числа на простые множители;
ü Верно применяет свойства арифметического квадратного корня для вынесения множителя за знак корня.
Материалы на данной страницы взяты из открытых источников либо размещены пользователем в соответствии с договором-офертой сайта. Вы можете сообщить о нарушении.