Приложение 4. Дифференцированные задания. Индивидуальная работа
УРОВЕНЬ А





УРОВЕНЬ В





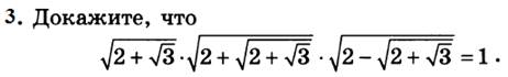
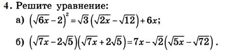
УРОВЕНЬ С




Критерии оценивания:
ü Применяет свойства арифметического квадратного корня для вычисления значений квадратных корней;
ü Применяет свойства арифметического квадратного корня для преобразования выражений, содержащих квадратные корни;
ü Применяет свойства арифметического квадратного корня для доказательства равенств, содержащих квадратные корни.
Материалы на данной страницы взяты из открытых источников либо размещены пользователем в соответствии с договором-офертой сайта. Вы можете сообщить о нарушении.