

y = f(x) f(x) = x², f(x) = sin x, f(x) = 3x + 1 где:
x — независимая переменная (аргумент) y — зависимая переменная (значение функции).
|
Область
значений E(f) — множество всех значений,
которые принимает функция y = f(x) при x |
Область определения D(f) — множество всех допустимых значений аргумента x, при
которых функция имеет смысл.
Примеры: Четные:
•f(x) = x²,
•f(x) = cos x
•f(x) = x³,
•f(x) = sin x
Ни те, ни другие:
•f(x) = x² + x
Периодическая функция
функция, которая повторяет свои значения через некоторый
❗Не все функции являются
периодическими: f(x) = x² — не является периодической.

Функция
называется ограниченной, если множество её значений ограничено при всех
значениях аргумента.
Иначе говоря, существует такое положительное число М, что для
всех значений x из области определения функции выполняется неравенство |f(x)|
≤ M. Если такого числа М не существует, то функция называется
неограниченной.
неограниченная функция —
Функция, ограниченная функция, которая не
сверху — это функция, область удовлетворяет условиям
значений которой ограничена ограниченности (сверху или
сверху некоторым числом. снизу).
Функция,
ограниченная снизу — это функция, значения
которой не могут быть меньше некоторого числа.



![]() |

![]() |
![]()
![]() |

Основные методы раскрытия:
•Разложение на множители
•Умножение на сопряжённое выражение
•Деление числителя и знаменателя на старшую степень x (при x→∞ )
•Применение замечательных пределов
![]()
Функция f(x) называется
непрерывной в точке x=a , если выполняются три условия: 
Примеры непрерывных функций:



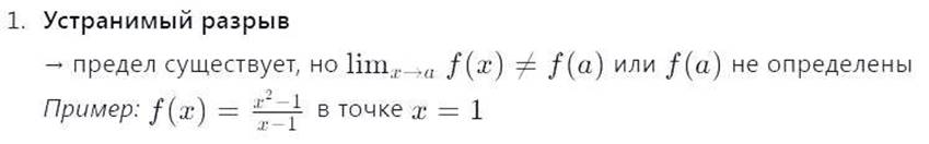
2. Разрыв I рода (скачок)
→ существуют конечные, но разные односторонние пределы
3. Разрыв II рода
→ хотя бы один из односторонних
пределов не существует или бесконечен ![]()
![]() |

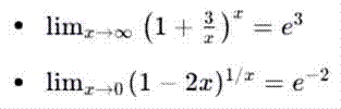
![]()
,
где e≈2,71828... —
основание натурального логарифма
Обобщённая форма:

Примеры:

![]()
• Основа математического анализа — без пределов невозможно
определить производную и интеграл.
• Исследование функций — асимптоты, поведение в особых точках,
построение графиков.
• Физика — мгновенная скорость, ускорение, плотность.
• Экономика — предельные издержки, доход, эластичность.
• Инженерия и IT — моделирование, численные методы, машинное обучение.
|
• |
Предел — фундаментальное понятие, описывающее тенденцию поведения функции. |
|
• |
Свойства пределов позволяют алгебраически упрощать сложные выражения. |
|
• |
Непрерывность — свойство «гладкости», критически важное для прикладных моделей. |
|
• |
Замечательные пределы — мощный инструмент для раскрытия неопределённостей. |
Материалы на данной страницы взяты из открытых источников либо размещены пользователем в соответствии с договором-офертой сайта. Вы можете сообщить о нарушении.