Технологическая карта урока
2. Класс: 9 Дата: Предмет Алгебра
3. Тема урока: Сумма n−первых членов арифметической прогрессии
4. Цель урока: Закрепление умений применения формулы для вычисления суммы n−первых членов арифметической прогрессии и применять полученные знания при решении задач
5. Задачи урока:
Образовательные:
1) закрепить формирование умений выводить формулы для вычисления суммы n−первых членов арифметической прогрессии, обеспечить усвоение формул, показать их использование в реальной ситуации;
2) формировать умение фиксировать затруднение, ставить цель и планировать свою деятельность;
Развивающие:
1) создать условия для развития положительной мотивации к учебно-познавательной деятельности, творческой инициативы и активности, развивать различные виды мышления, памяти, внимания и речи;
2) содействовать развитию умений осуществлять рефлексивную деятельность;
Воспитательные:
1) Воспитание аккуратности;
2) Воспитание интереса к предмету при помощи использования компьютеров на уроке.
3) способствовать развитию чувства ответственности, товарищества и взаимопомощи, чувства любви к окружающему миру.
6. Тип урока: Урок закрепления новых знаний (УЗНЗ)
7. Основные понятия урока: арифметическая прогрессия, n-член арифметической прогрессии
8. Материально-техническое обеспечение урока: Доска, учебник Алгебра 9 (Никольский), карточки.
|
Этап урока |
Задачи этапа |
Деятельность учителя |
Деятельность учеников |
Формируемые УУД |
|
Организационный этап. Сообщение темы урока |
Создать благоприятный психологический настрой на работу |
Приветствие, проверка подготовленности к учебному занятию, организация внимания детей. (На доске в столбик записаны слова: хочу, могу, умею, делаю) учитель, показывая на каждое из этих слов, даёт расшифровку. ХОЧУ: я хочу пожелать вам, ребята, увеличить объём своих знаний. МОГУ: сообщаю, что на уроке можно консультироваться. УМЕЮ: мы умеем применять с вами рациональные способы для решения задач. ДЕЛАЮ: делаем каждый себе установку «Понять и быть тем первым, который увидит ход решения», а вместе с вами сегодня мы движемся только вперед, т.к. слово «Прогрессио» в переводе с греческого языка обозначает движение вперёд. Тема нашего урока не будет нова для вас, продолжаем заниматься тем, чем уже начали занимать на прошлых уроках. Итак, ребята, тема нашего урока: «Арифметическая прогрессия. Формула суммы n первых членов арифметической прогрессии» |
Включаются в деловой ритм урока.
|
Коммуникативные: планирование учебного сотрудничества с учителем и сверстниками. Регулятивные: организация своей учебной деятельности Личностные: мотивация учения |
|
Актуализация знаний |
Актуализация опорных знаний и способов действий. |
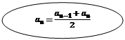
1) Работа в парах (Самопроверка по образцу) Вопросы кроссворда: 1. Числовая последовательность, каждый член которой, начиная со второго, равен предыдущему члену, сложенному с одним и тем же числом. 2. Разница между последующим и предыдущим членом прогрессии. 3. Способ задания последовательности. 4. Разность последовательно одинаковых членов. 5. Элементы, из которых состоит последовательность. 6. Натуральное число, обозначающее место члена в последовательности. 7. Функция, заданная на множестве натуральных чисел. 8. Последовательность, содержащая конечное число членов2) Технология «Микрофон» Выясним, как вы знаете формулы и определения по данной теме. 1. Какая последовательность называется арифметической прогрессией? Назовите формулу. 2. Назовите первый член и разность арифметической прогрессии 8; 8; 8; … . 3. Как найти разность арифметической прогрессии? Назовите формулу. 4. Назовите способы задания последовательности. 5. Продолжите предложение «Любая арифметическая прогрессия может быть задана формулой вида ….» 6. К каким числам принадлежит n? 7. Назовите формулу n – го члена арифметической прогрессии. 8. Сформулируйте свойство каждого члена арифметической прогрессии, начиная со второго. Назовите формулу. 9. Запишите формулы суммы п первых членов арифметической прогрессии.
3)Для того чтобы вы окончательно убедились в своих твёрдых знаниях теоретического материала и формул, поработаем в парах. Вам предлагается карточка, в которой вы вместе с соседом по парте должны «найти пару», соединив их стрелкой. |
Участвуют в работе по повторению: в беседе с учителем отвечают на поставленные вопросы.
№1
№2
№3
|
Познавательные: структурирование собственных знаний. Коммуникативные: организовывать и планировать учебное сотрудничество с учителем и сверстниками. Регулятивные: контроль и оценка процесса и результатов деятельности. Личностные: оценивание усваиваемого материала. |
|
Закрепление знаний |
1. Работа в группах. Решение задач на применение знаний об арифметической прогрессии в других науках, в жизни 1 группа (Применение арифметической прогрессии в физике) При свободном падении тело проходит в первую секунду 5 м, а в каждую следующую на 10 м больше. Найдите глубину шахты, если свободно падающее тело достигло ее дна через 5 с после начала падения.
2 группа (Применение арифметической прогрессии в строительстве) При хранении бревен строевого леса их укладывают как показано на рисунке. Сколько брёвен находится в одной кладке, если в ее основании положено 12 бревен?
3 группа (Применение арифметической прогрессии в спорте) Альпинисты в первый день восхождения поднялись на высоту 1400 м, а затем каждый следующий день они проходи ли на 100 м меньше, чем в предыдущий. За сколько дней они покорили высоту в 5000 м?
2. Коллективное решение(применение арифметической прогрессии в медицине) Больной принимает лекарство по следующей схеме: в первый день он принимает 5 капель, а в каждый следующий день – на 5 капель больше, чем в предыдущий. Приняв 40 капель, он 3 дня пьет по 40 капель лекарства, а потом ежедневно уменьшает прием на 5 капель, доведя его до 5 капель. Сколько пузырьков лекарства нужно купить больному, если в каждом содержится 20 мл лекарства (что составляет 250 капель)?
Применение арифметической прогрессии в химии: Заряды ядер атомов элементов, расположенных в таблице Менделеева друг за другом, отличаются на +1. Заряд ядра атома водорода (№1) равен +1. Элемент номер №1 содержит один протон в ядре, заряд ядра +1.
Применение арифметической прогрессии в истории Эта задача связана с детскими годами замечательного немецкого математика Карла Гаусса (1777–1855 гг.). Когда ему было 9 лет, учитель задал эту задачу всему классу, чтобы дети не мешали ему проверять письменные работы учеников другого класса. Через 1 минуту Карл произнес: «Я уже решил…» – и сдал работу. К концу урока сумму вычислили и остальные. Рассмотрим, как с этим справился маленький Карл: "Я заметил, что 1+100 =101, 2 +99 =101, 3 +98 = 101 и т. д. Пара ровно отстоящих от краёв ряда чисел даёт 101 и последняя пара средних чисел даёт 101 =50 + 51. Числа, взятые по паре с начала и с конца ряда встречаются в середине после 50 сложений этих пар. Поэтому надо 101 х 50 = 5050. Это число и будет суммой всех 100 чисел". |
Применяют полученные знания на практике
Дано: (аn) – арифм. прогрессия а1=5, d = 10 Найти: S5 - ? Решение: Ответ: 125 м.
Решение. Составим математическую модель задачи: 1400, 1300, …, 1400 – 100(n – 1). a1 = 1400; d = – 100, Sn = 5000. Надо найти n. Sn = 5000 = 10000 = (2800 – 100 n + 100) n; 10000 = (2900 – 100 n) n; 100 n2 – 2900 n + 10000 = 0; n2 – 29 n + 100 = 0; n = 25, n = 4. n = 4 (при n = 25 аn= – 1000, но аn> 0)Значит, альпинисты покорили высоту за 4 дня. Ответ: за 4 дня.
Решение. Составим математическую модель задачи: 5, 10, 15,…,40, 40, 40, 35, 30,…,5 аn= а1 + d(n – 1), 40 = 5 + 5(n – 1), n = 8, Sn = S8 = 180 капель больной принимал по схеме в первый период и столько же по второй период. Всего он принял 180 + 40 + 180 = 400 (капель), всего больной выпьет 400:250 = 1,6 (пузырька). Значит, надо купить 2 пузырька лекарства. Ответ: 2 пузырька.
Знакомятся с информацией |
Познавательные: Выделение и формулирование познавательной цели, рефлексия способов и условий действия. Анализ и синтез объектов. Коммуникативные: Поддержание здорового духа соперничества для поддержания мотивации учебной деятельности. Личностные: Формирование мотивации к самосовершенствованию. Регулятивные: Планирование своей деятельности для решения поставленной задачи, моделирование |
|
|
Подготовка к ГИА |
||||
|
Контроль знаний |
Оценить знания, полученные учащимися на уроке |
Тест по теме «Арифметическая прогрессия»
Взаимопроверка по готовым ответам. 1 правильный ответ - 1 балл. Вариант 1 1.(3), 2.(1 ), 3.(2), 4.(4) , 5.(3) Вариант 2 1.(2), 2.(4 ), 3.(1), 4.(3) , 5.(3)
Дополнительное задание Рабочие прокладывают тоннель длиной 500 метров, ежедневно увеличивая норму прокладки на одно и то же число метров. Известно, что за первый день рабочие проложили 3 метра тоннеля. Определите, сколько метров тоннеля проложили рабочие в последний день, если вся работа была выполнена за 10 дней. Решение:
Sn = 500, a1 = 3
3 + an = 100.. n = 10 an = 97 Ответ: 97 метров |
Выполняют самостоятельную работу
|
Личностные: формирование готовности к самообразованию; Коммуникативные: использование критериев для обоснования своего суждения; Регулятивные: планирование своей деятельности для решения поставленной задачи и контроль полученного результата; Познавательные: Анализ, синтез, сравнение, обобщение, аналогия, сериация, классификация; |
|
Рефлексия (подведение итогов урока) |
Дать количественную оценку работы учащихся |
Составление кластера по теме –Итак, какие «открытия» мы совершили сегодня на уроке? –Мы достигли цели, которую ставили перед собой в начале урока? –По каким формулам можно вычислять сумму n-первых членов арифметической прогрессии? –Где нам понадобятся знания, которые мы получили сегодня на уроке? –Что необычного вы для себя открыли? –Проанализируйте свою работу на уроке, дайте оценку –У кого три «Да», у кого два «Да», у кого одно «Да»? |
Участвуют в рефлексии, устно оценивают содержание урока. |
Регулятивные: оценивание собственной деятельности на уроке
|
|
Информация о домашнем задании |
Обеспечение понимания детьми содержания и способов выполнения домашнего задания |
− Выучить формулы суммы n-первых членов арифметической прогрессии. − Выполнить задания из сборника под номерами: –Спасибо за урок! |
Учащиеся записывают в дневники задание. |
- |
|
Рефлексия деятельности |
Да, Нет |
Рефлексия деятельности |
Да, Нет |
|
Формулы для вычисления суммы n-первых членов арифметической прогрессии мне понятны
|
|
Формулы для вычисления суммы n-первых членов арифметической прогрессии мне понятны
|
|
|
Я научился решать задачи по эталону |
|
Я научился решать задачи по эталону |
|
|
Я научился решать задачи с применением формул для вычисления суммы n-первых членов арифметической прогрессии |
|
Я научился решать задачи с применением формул для вычисления суммы n-первых членов арифметической прогрессии |
|
|
Рефлексия деятельности |
Да, Нет |
Рефлексия деятельности |
Да, Нет |
|
Формулы для вычисления суммы n-первых членов арифметической прогрессии мне понятны
|
|
Формулы для вычисления суммы n-первых членов арифметической прогрессии мне понятны
|
|
|
Я научился решать задачи по эталону |
|
Я научился решать задачи по эталону |
|
|
Я научился решать задачи с применением формул для вычисления суммы n-первых членов арифметической прогрессии |
|
Я научился решать задачи с применением формул для вычисления суммы n-первых членов арифметической прогрессии |
|
|
Рефлексия деятельности |
Да, Нет |
Рефлексия деятельности |
Да, Нет |
|
Формулы для вычисления суммы n-первых членов арифметической прогрессии мне понятны
|
|
Формулы для вычисления суммы n-первых членов арифметической прогрессии мне понятны
|
|
|
Я научился решать задачи по эталону |
|
Я научился решать задачи по эталону |
|
|
Я научился решать задачи с применением формул для вычисления суммы n-первых членов арифметической прогрессии |
|
Я научился решать задачи с применением формул для вычисления суммы n-первых членов арифметической прогрессии |
|
Технологическая карта учащегося
|
№1
Вопросы кроссворда: 1. Числовая последовательность, каждый член которой, начиная со второго, равен предыдущему члену, сложенному с одним и тем же числом. 2. Разница между последующим и предыдущим членом прогрессии. 3. Способ задания последовательности. 4. Разность последовательно одинаковых членов. 5. Элементы, из которых состоит последовательность. 6. Натуральное число, обозначающее место члена в последовательности. 7. Функция, заданная на множестве натуральных чисел. 8. Последовательность, содержащая конечное число членов
|
№2 Для того чтобы вы окончательно убедились в своих твёрдых знаниях теоретического материала и формул, поработаем в парах. Вам предлагается карточка, в которой вы вместе с соседом по парте должны «найти пару», соединив их стрелкой.
Тренировочные упражнения (уст
№3 Тренировочные упражнения (устно) 1. Является ли заданная последовательность арифметической прогрессией, почему? 1) 3; 5; 7; 9; 11… 2) 3; -1; -5; -9; -13; -17… 3)10; 9; 8; 7; 6… 4) 4; 8; 16; 32.. 5) 2; 4; 6; 8; 10; 12… 6) 2; 7; 9; 12… 2. Выразите через а1 и d: а8, а33, а100. 3. Известно, что а1 = 1, d = 2. Задайте эту прогрессию 4. Последовательность задана формулой ап = 4n – 1. Найдите: а1, а5, а10.
№4. (применение арифметической прогрессии в медицине) Больной принимает лекарство по следующей схеме: в первый день он принимает 5 капель, а в каждый следующий день – на 5 капель больше, чем в предыдущий. Приняв 40 капель, он 3 дня пьет по 40 капель лекарства, а потом ежедневно уменьшает прием на 5 капель, доведя его до 5 капель. Сколько пузырьков лекарства нужно купить больному, если в каждом содержится 20 мл лекарства (что составляет 250 капель)? |
||||||||||||||||||||||||||||||||||||||||||||||||||||||
|
|
|
|
|
|
1 группа (Применение арифметической прогрессии в физике)
При свободном падении тело проходит в первую секунду 5 м, а в каждую следующую на 10 м больше. Найдите глубину шахты, если свободно падающее тело достигло ее дна через 5 с после начала падения.
2 группа (Применение арифметической прогрессии в строительстве)
При хранении бревен строевого леса их укладывают как показано на рисунке. Сколько брёвен находится в одной кладке, если в ее основании положено 12 бревен?

3 группа (Применение арифметической прогрессии в спорте)
Альпинисты в первый день восхождения поднялись на высоту 1400 м, а затем каждый следующий день они проходи ли на 100 м меньше, чем в предыдущий. За сколько дней они покорили высоту в 5000 м?
1 группа (Применение арифметической прогрессии в физике)
При свободном падении тело проходит в первую секунду 5 м, а в каждую следующую на 10 м больше. Найдите глубину шахты, если свободно падающее тело достигло ее дна через 5 с после начала падения.
2 группа (Применение арифметической прогрессии в строительстве)
При хранении бревен строевого леса их укладывают как показано на рисунке. Сколько брёвен находится в одной кладке, если в ее основании положено 12 бревен?

3 группа (Применение арифметической прогрессии в спорте)
Альпинисты в первый день восхождения поднялись на высоту 1400 м, а затем каждый следующий день они проходи ли на 100 м меньше, чем в предыдущий. За сколько дней они покорили высоту в 5000 м?
1 группа (Применение арифметической прогрессии в физике)
При свободном падении тело проходит в первую секунду 5 м, а в каждую следующую на 10 м больше. Найдите глубину шахты, если свободно падающее тело достигло ее дна через 5 с после начала падения.
2 группа (Применение арифметической прогрессии в строительстве)
При хранении бревен строевого леса их укладывают как показано на рисунке. Сколько брёвен находится в одной кладке, если в ее основании положено 12 бревен?

3 группа (Применение арифметической прогрессии в спорте)
Альпинисты в первый день восхождения поднялись на высоту 1400 м, а затем каждый следующий день они проходи ли на 100 м меньше, чем в предыдущий. За сколько дней они покорили высоту в 5000 м?
Материалы на данной страницы взяты из открытых источников либо размещены пользователем в соответствии с договором-офертой сайта. Вы можете сообщить о нарушении.