Тест по темам «Тригонометрия», «Примеры решения систем тригонометрических уравнений»
Вариант 1
Задание 1.
Решите систему уравнений

Ответ:
(_; _).
Задание 2.
Решите систему уравнений
записывайте в порядке роста
первой переменной.
Ответ:
(_; _),
(__; _).
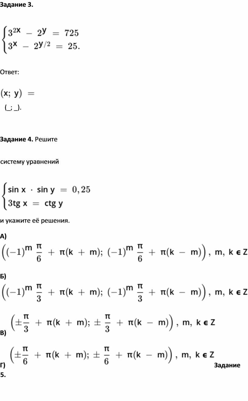
Задание 3.

Ответ:
(_; _).
Задание 4. Решите систему уравнений

и укажите её решения.
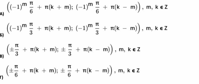
А) ![]()
Б) ![]()
В) ![]()
Г)
Задание
5.
записывайте в
порядке роста первой переменной.
Ответ:
(_; _),
(_;
_).
Задание 6.
Решите систему уравнений

Ответ:
(__; __).
Задание 7.
Решите систему уравнений

Ответ:
(_; _).
Задание 8.
записывайте в
порядке роста первой переменной.
Ответ:
(_; _),
(__; _).
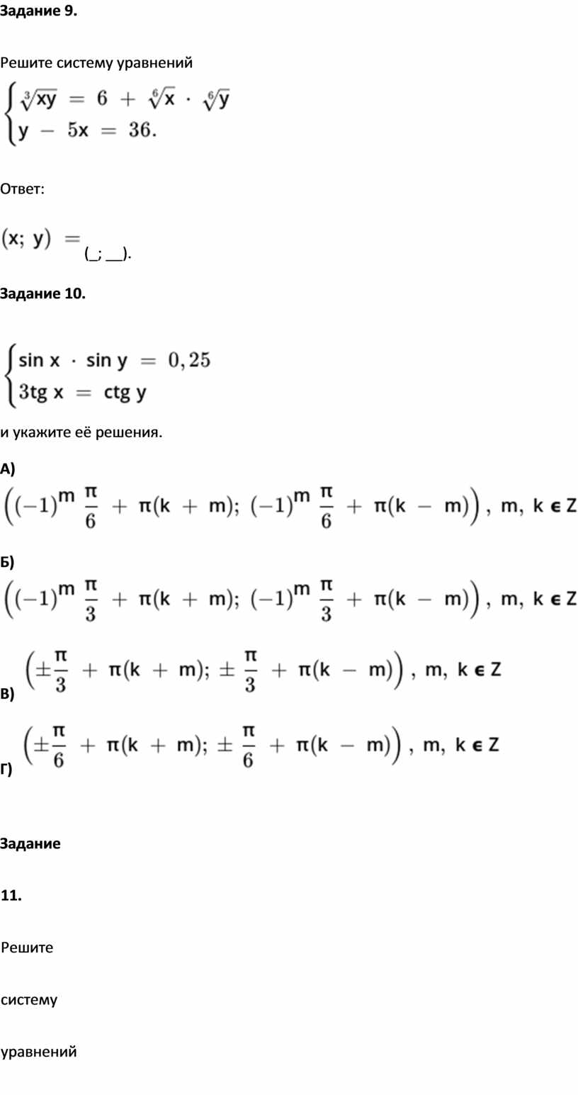
Задание 9.
Решите систему уравнений

Ответ:
(_; __).
Задание 10.

и укажите её решения.
А) ![]()
Б) ![]()
В) ![]()
Г) ![]()
Задание 11. Решите систему уравнений

и укажите её решения.
А) ![]()
Б) ![]()
В) ![]()
Г) ![]()
Задание 12. Решите систему уравнений

Ответ:
(_; _).
Задание 1. Правильный ответ: 1, 4
Задание 2.
Правильный ответ: 9, 9, 25, 1
Задание 3. Правильный ответ: 1, 4
Задание 4. Правильный ответ: Г
Задание 5.
Правильный ответ: 1, 3, 3, 1
Задание 6.
Правильный ответ: 25, 36
Задание 7. Правильный ответ: 2, 4
Задание 8.
Правильный ответ: 4, 4, 16, 0
Задание 9.
Правильный ответ: 9, 81
Задание 10. Правильный ответ: Г
Задание 11. Правильный ответ: Г
Задание 12.
Правильный ответ: 3, 2
Тест по темам «Тригонометрия», «Примеры решения систем тригонометрических уравнений»
Вариант 2
Задание 1.
Решите систему уравнений и выберите верный ответ.

В)
Г)
Варианты ответов:
1)
2)
|
Ответ |
А |
Б |
В |
Г |
|
|
|
|
|
Задание 2.
Решите систему уравнений

Ответ:
(__; __).
Задание 3.

Ответ:
(_; _).
Задание 4. Решите систему уравнений

и укажите её решения.
А) ![]()
Б) ![]()
В) ![]()
Г)
Задание
5.
записывайте
в порядке роста первой переменной.
Ответ:
(_; _),
(_;
_).
Задание 6.
Решите систему уравнений и выберите верный ответ.

В)
Г)
Варианты ответов:
1)
2)
|
Ответ |
А |
Б |
В |
Г |
|
|
|
|
|
Задание 7.

Ответ:
(__; _).
Задание 8. Решите систему уравнений

Ответ:
(_; __).
Задание 9. Решите систему уравнений

Ответ:
(__; __).
Задание 10.
записывайте в
порядке роста первой переменной.
Ответ:
(_; _),
(_;
_).
Задание 11.
Решите систему уравнений
записывайте в
порядке роста первой переменной.
Ответ:
(_; _),
(__; _).
Задание 12.
Решите систему уравнений
записывайте в
порядке роста первой переменной.
Ответ:
(_; _),
(_;
_).
Задание 1.
|
Правильный ответ: |
А |
Б |
В |
Г |
|
1 |
2 |
|
|
|
|
Задание 2. Правильный ответ: 36, 25 Задание 3. Правильный ответ: 3, 2 Задание 4. Правильный ответ: Г Задание 5. Правильный ответ: 2, 3, 3, 2 Задание 6. |
|
|
|
|
|
Правильный ответ: |
А |
Б |
В |
Г |
|
|
|
1 |
2 |
|
Задание 7.
Правильный ответ: 16, 4
Задание 8.
Правильный ответ: 9, 81
Задание 9.
Правильный ответ: 36, 25
Задание 10.
Правильный ответ: 1, 3, 3, 1
Задание 11.
Правильный ответ: 9, 9, 25, 1
Задание 12.
Правильный ответ: 2, 3, 3, 2
Материалы на данной страницы взяты из открытых источников либо размещены пользователем в соответствии с договором-офертой сайта. Вы можете сообщить о нарушении.