Сложение и вычитание дробей с одинаковыми знаменателями
Автор: © 2015, ООО КОМПЭДУ, http://compedu.ru
Описание:
При поддержке проекта http://videouroki.net
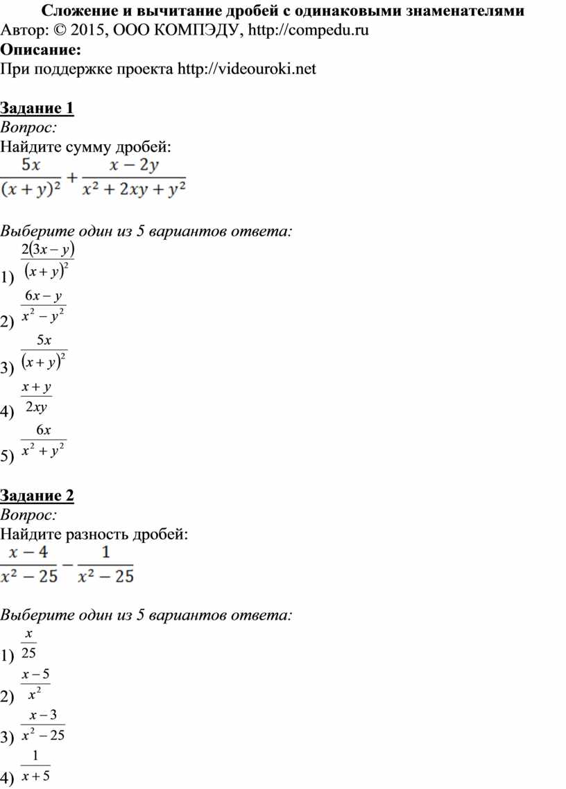
Задание 1
Вопрос:
Найдите сумму дробей:

Выберите один из 5 вариантов ответа:
1) 
2) 
3) 
4) 
5) 
Задание 2
Вопрос:
Найдите разность дробей:

Выберите один из 5 вариантов ответа:
1) 
2) 
3) 
4) 
5) 
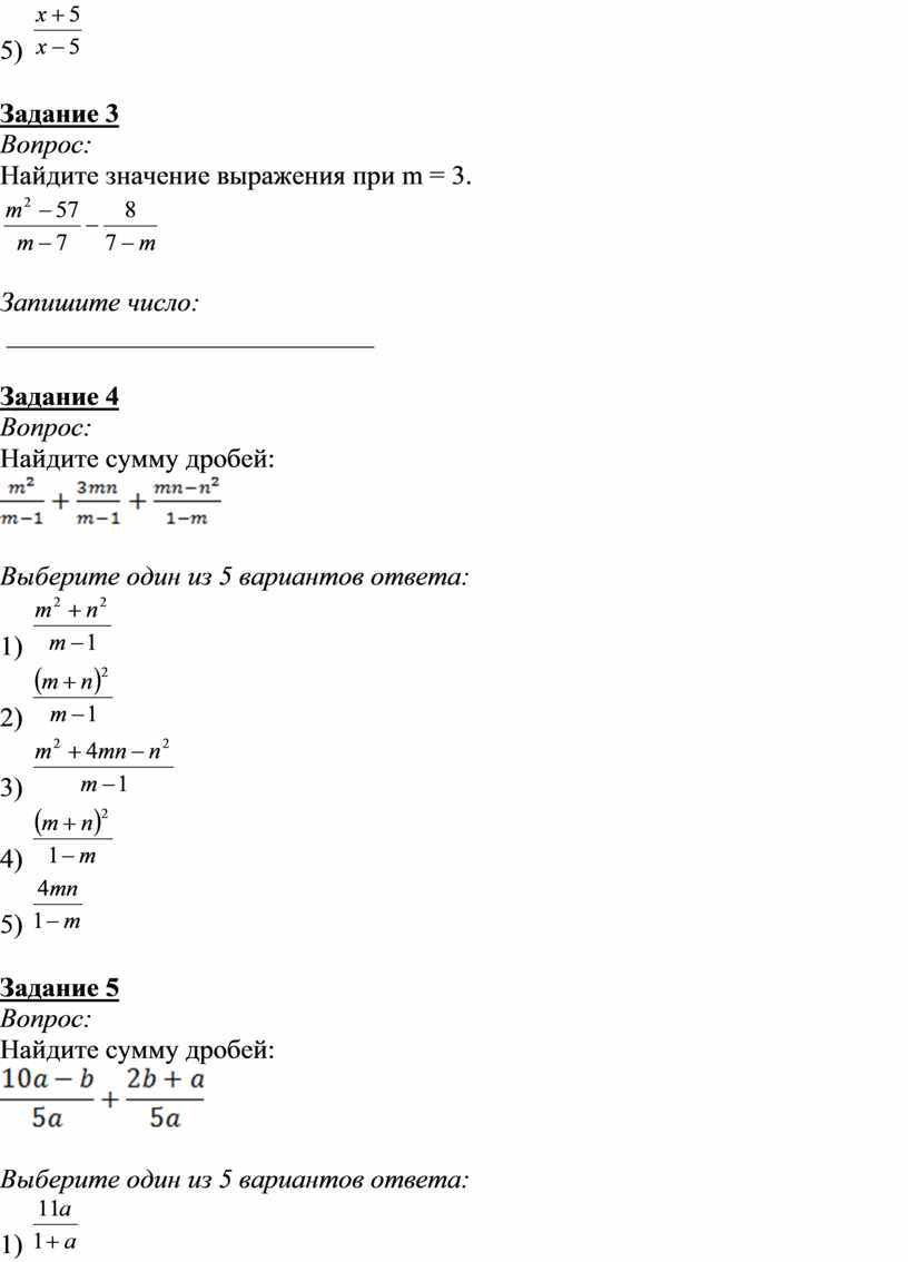
Задание 3
Вопрос:
Найдите значение выражения при m = 3.

Запишите число:
___________________________
Задание 4
Вопрос:
Найдите сумму дробей:

Выберите один из 5 вариантов ответа:
1) 
2) 
3) 
4) 
5) 
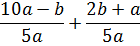
Задание 5
Вопрос:
Найдите сумму дробей:

Выберите один из 5 вариантов ответа:
1) 
2) 
3) 
4) 
5) 
Задание 6
Вопрос:
Преобразуйте выражение и представьте его в виде дроби:

Выберите один из 5 вариантов ответа:
1) 
2) 
3) 
4) 
5) 
Задание 7
Вопрос:
Вычислите:
 
Выберите один из 5 вариантов ответа:
1) 
2) 
3) 
4) 
5) 
Задание 8
Вопрос:
Выберите верные утверждения:
Выберите несколько из 4 вариантов ответа:
1) Чтобы выполнить вычитание рациональных дробей с одинаковыми знаменателями, надо из числителя первой дроби вычесть числитель второй дроби, а затем из знаменателя первой дроби вычесть знаменатель второй дроби.
2) Чтобы выполнить вычитание рациональных дробей с одинаковыми знаменателями, надо из числителя первой дроби вычесть числитель второй дроби, а знаменатель оставить тем же.
3) Чтобы сложить рациональные дроби с одинаковыми знаменателями, надо сложить их числители, а знаменатель оставить тем же.
4) Чтобы сложить рациональные дроби с одинаковыми знаменателями, надо сложить их числители, и отдельно сложить их знаменатели.
Задание 9
Вопрос:
Найдите значение разности:

Запишите число:
___________________________
Задание 10
Вопрос:
Найдите разность дробей:
 
Выберите один из 5 вариантов ответа:
1) 
2) 
3) 
4) 
5) 
Ответы:
1) (1 б.) Верные ответы: 1;
2) (1 б.) Верные ответы: 4;
3) (1 б.): Верный ответ: 10;
4) (1 б.) Верные ответы: 2;
5) (1 б.) Верные ответы: 2;
6) (1 б.) Верные ответы: 3;
7) (1 б.) Верные ответы: 5;
8) (1 б.) Верные ответы: 2; 3;
9) (1 б.): Верный ответ: 4;
10) (1 б.) Верные ответы: 4;
Материалы на данной страницы взяты из открытых источников либо размещены пользователем в соответствии с договором-офертой сайта. Вы можете сообщить о нарушении.