Умножение и деление степеней с натуральным показателем

  • pptx
  • 28.09.2025
Публикация на сайте для учителей

Публикация педагогических разработок

Бесплатное участие. Свидетельство автора сразу.
Мгновенные 10 документов в портфолио.

Иконка файла материала 6.12..pptx

Умножение и деление степеней с натуральным показателем

П.19

Домашнее задание: П.18-19, повторить, №380, №418

Произведение нескольких одинаковых множителей можно записать в виде выражения, называемого степенью.

Повторяющийся множитель называют основанием степени, а число повторяющихся множителей - показателем степени.

Нахождение значения степени называют возведением в степень.

Степень отрицательного числа с четным показателем - положительное число.

Степень отрицательного числа с нечетным показателем- отрицательное число.

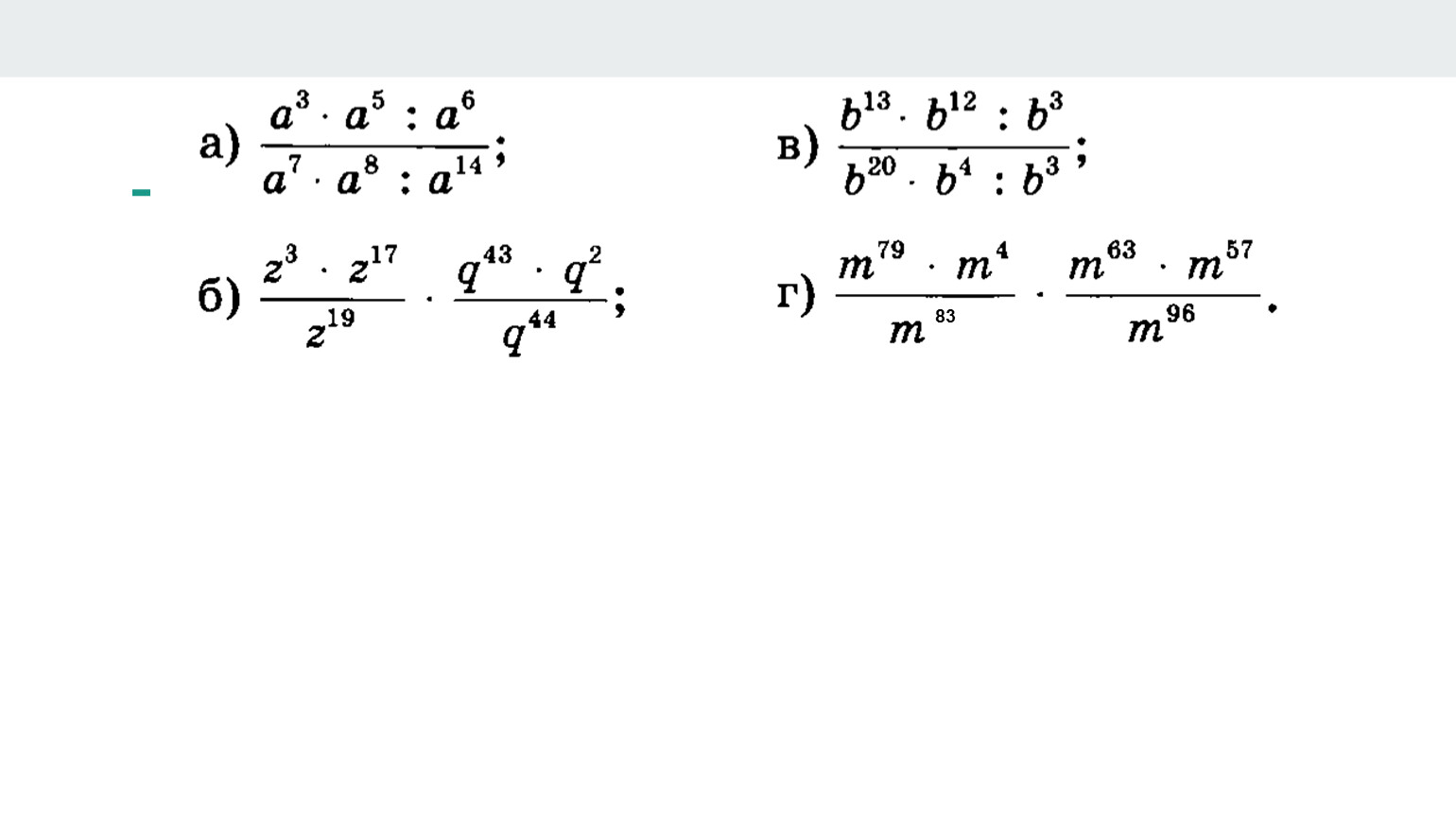
Для любого числа а и произвольных натуральных m и n
aman=am+n

Для любого числа а ≠ 0 и произвольных натуральных чисел m и n, таких, что m>n,
am:an=am-n

Степень числа а, не равного нулю, с нулевым показателем равна единице

83

Стр. 102, №416