Урок-закрепление «Умножение положительных и отрицательных чисел», 6 кл
Цели урока: отрабатывать умение умножать отрицательные числа и числа с разными знаками; формировать навык сравнения положительных и отрицательных чисел; ввести свойство единицы и нуля при умножении положительных и отрицательных чисел; развивать интеллектуальные способности учащихся, формировать качества мышления, характерные для математической деятельности.
Ход урока
I. Организационный момент
II. Устный счет
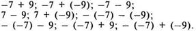
1. Вставьте пропущенные знаки плюс или минус вместо *:

2. Решите уравнения:
а) — х + 7 = —10;
б) — х + 10 = —3;
в) х + 2 = —10.
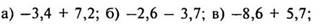
3. Найдите значение выражения:
![]()
4. На одной чаше весов лежит кирпич, а на другой — половина такого же кирпича и гиря в 1 кг. Весы в равновесии. Чему равна масса кирпича? (2 кг.)
5. Скорость течения реки 2 км в час. На сколько больше будет скорость движения катера по течению реки, чем против течения, при постоянной собственной скорости катера? (На 4 км.)
III. Индивидуальная работа
1 карточка
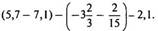
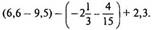
1. Вычислить: ![]()
![]()
2. Найти значение
выражения: ![]()
2 карточка
1.Вычислить: ![]()
![]()
2. Найти значение
выражения: ![]()
IV. Сообщение темы урока
— Сегодня мы продолжим находить значения выражений, содержащих положительные и отрицательные числа.
V. Изучение нового материала
1. Подготовительная работа.
— Вспомните свойство единицы и нуля для умножения натуральных чисел. Запишите в буквенном виде.
![]()
2. Работа над новой темой.
а) № № учебника (на доске и в тетрадях).
Решение:
![]()
Вывод: при умножении на единицу получается само число, при умножении на —1 — число, противоположное числу, на которое умножаем, минус единица.
б) Найдите значение произведения: 0 · (—3,9) = 0; 0 · 7,4 = 0; -65 · 0 = 0; 0 · 7,4 = 0.
Вывод: свойство нуля действительно и для положительных, и для отрицательных чисел.
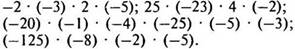
в) Найдите значение выражения:
— Что интересного заметили? (Эти произведения можно найти удобным способом.)
— Что применили при решении? (Сочетательное свойство умножения.)
![]()
— Зависит ли знак произведения от количества отрицательных чисел? Сделайте вывод.
Вывод: при умножении четного количества отрицательных чисел получается положительное число, если отрицательных чисел нечетное количество, то произведение будет отрицательным числом.
VI. Закрепление изученного материала
1. № № учебника (на доске и в тетрадях).
— Нужно ли выполнять умножение? (Нет.) Обоснуйте свой ответ.
Решение:

2. № 1122 стр. 192 (устно).
— Сформулируйте правила умножения чисел с одинаковыми и разными знаками.
(Ответы: 0; —42; 42; —126; —210; 1260.)
3. № № учебника (на доске и в тетрадях).
— Как найти расстояние, зная скорость и время?
— Запишите формулу. Что означает —30 км? (Это значит, что турист двигался в отрицательном направлении от точки 0.)
— Объясните значение каждой переменной. Ответ обоснуйте. Решение:
S = Vt
а) при V = 5, t = 4: 5 · 4 = 20 (км);
б) при V = —5, t = 4: —5 · 4 = —20 (км); —5 обозначает, что турист движется в отрицательном направлении, а 4 обозначает 4 ч вперед, —20 — турист двигался в отрицательном направлении от точки 0;
в) при V = 5, t = —4: 5 · (—4) = —20 (км);
г) при V = —5, t = —4: —5 · (—4) = 20 (км).
4. Определите знак произведения:

VII. Физкультминутка
VIII. Работа над задачей
№ № учебника (на обратной стороне доски и в тетрадях, взаимопроверка).
— Прочитайте задачу. Решите самостоятельно алгебраическим способом.
Решение:
1) Пусть х (м) — высота ели,
1,6х (м) — высота сосны.
Так как сосна выше ели на 1,2 м, то
1,6х — х = 1,2; 0,6х = 1,2; х = 12 : 6; х = 2
2 (м) — высота ели.
2) 2 + 1,2 = 3,2 (м) — высота сосны.
(Ответ: ель 2 м, сосна 3,2 м.)
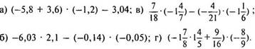
IX. Самостоятельная работа (5-7 мин)
Вариант I
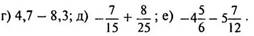
Выполните действия:

Вариант II
Выполните действия:

X. Подведение итогов урока
— Я не понимаю русского языка. Попробуйте мимикой, жестами объяснить мне, как умножаются положительные и отрицательные числа.
Выставление оценок за урок
Домашнее задание
Материалы на данной страницы взяты из открытых источников либо размещены пользователем в соответствии с договором-офертой сайта. Вы можете сообщить о нарушении.