Урок_1_Определение квадратного уравнения_Методические рекомендации

  • docx
  • 30.04.2020
Публикация на сайте для учителей

Публикация педагогических разработок

Бесплатное участие. Свидетельство автора сразу.
Мгновенные 10 документов в портфолио.

Иконка файла материала Урок_1_Определение квадратного уравнения_Методические рекомендации.docx

Методические рекомендации к уроку №1 темы/подраздела

«Квадратное уравнение»

раздела «Квадратные уравнения»

 

Тема урока: Квадратное уравнение. Определение квадратного уравнения

Цель обучения:

8.2.2.1

знать определение квадратного уравнения

 

На изучение подраздела «Квадратное уравнение» выделено 3 часа. Это первый урок подраздела, здесь будет введено понятие квадратного уравнения, рассмотрены его виды.

 

Теоретический материал

Уравнение вида  (a ≠ 0), где a, b и с – заданные числа, а х – переменная, называется.

Коэффициент а называется первым коэффициентом, b - вторым коэффициентом, а с – свободным членом.

 

Методические рекомендации по организации урока. Рекомендации по формативному оцениванию

В начале урока проводится математический диктант для повторения формул сокращенного умножения, так как этот навык будет востребовано при преобразовании уравнений с целью приведения их к виду квадратного уравнения. Поэтому целесообразно уделить достаточно внимания разбору ответов и убедиться, что все учащиеся понимают, какие формулы использованы и как получен результат. Учащиеся могут записывать результаты на маленьких маркерных досках и сразу демонстрировать ответ учителю.

Для введения понятия квадратного уравнения используется диалоговое обучение. Учитель направляет учащихся на получение новых знаний. Далее предлагаются задания на закрепление понятия квадратного уравнения. Ответы будут продемонстрированы на слайде презентации, чтобы учащиеся могли убедиться, что они правильно понимают материал. Следует поощрять учащихся, задающих вопросы, помогать им своевременно устранить трудности. При выполнении учащимися самостоятельной работы по карточкам учитель обходит класс, дает устные комментарии, при необходимости оказывает поддержку учащимся, следит за продвижением учащихся, объединяет учащихся, закончивших работу по одинаковым карточкам в группы для обсуждения выполненной работы. При возникновении спорных вопросов учитель помогает разрешить их с помощью советов, наводящих вопросов.

 

Ответы и решения

 

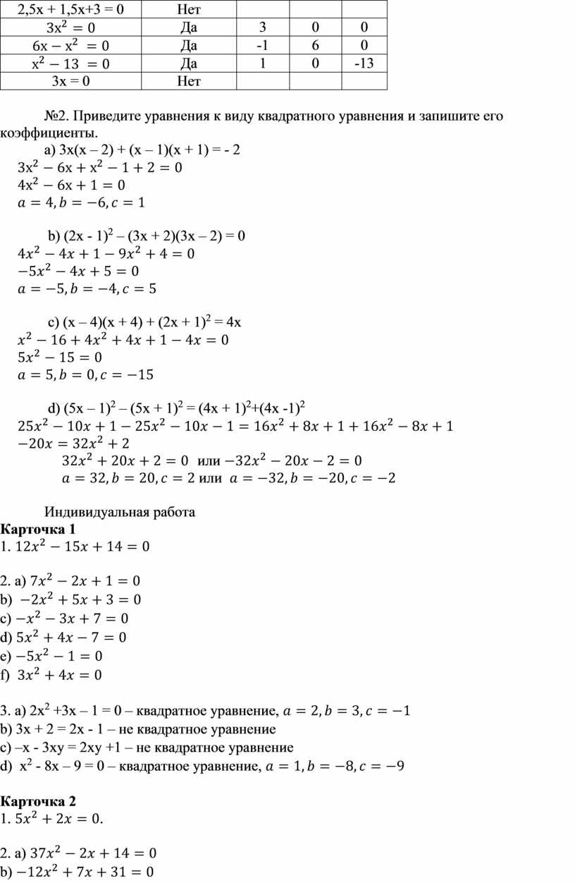
№1. Среди приведенных в таблице уравнений выберите квадратные и запишите их коэффициенты.

 

Уравнение

Уравнение квадратное или нет?

Коэффициенты квадратного уравнения

a

b

c

-25х + 1 = 0

Нет

 

 

 

Да

2

-5

-3

Да

-4

3

1

2,5х + 1,5х+3 = 0

Нет

 

 

 

Да

3

0

0

Да

-1

6

0

Да

1

0

-13

= 0

Нет

 

 

 

 

№2. Приведите уравнения к виду квадратного уравнения и запишите его коэффициенты.

а) 3х(х – 2) + (х – 1)(x + 1) = - 2

 

 b) (2x - 1)2 – (3x + 2)(3x – 2) = 0

 

 c) (x – 4)(x + 4) + (2x + 1)2 = 4x

 

 d) (5x – 1)2 – (5x + 1)2 = (4x + 1)2+(4x -1)2

   или    

 или 

 

Индивидуальная работа

Карточка 1

1.

 

2. а)    

b)     

c)    

d)    

e)    

f)     

 

3. а) 2 +3х – 1 = 0 – квадратное уравнение,                 

b) 3x + 2 = 2x - 1 – не квадратное уравнение

c) –x - 3xy = 2xy +1 – не квадратное уравнение                

d)  x2 - 8x – 9 = 0 – квадратное уравнение,

 

Карточка 2

1. .

 

2. а)    

b)    

c)    

d)    

e)    

f)     

 

3. а) 2 +2х – 3 = 0 – квадратное уравнение,

b) 4x + 7 = 3x - 4 – не квадратное уравнение

c) –5x - 2xy = 4xy +7 – не квадратное уравнение

d)  x2 - 5x – 6 = 0 – квадратное уравнение,

 

Карточка 3

1.

 

2. а)    

b)    

c)    

d) 1   

e)    

f)     

 

3. Среди данных уравнений выберите квадратные и запишите их коэффициенты:

а) 5х2 +7х – 2 = 0 – квадратное уравнение,

b) 6x – 15 = 8x - 3 – не квадратное уравнение

c) –x -9xy = 3xy + 5 – не квадратное уравнение             

d)  x2 - 9x – 10 = 0 – квадратное уравнение,

 

Список полезных ссылок и литературы

1.      Шыныбеков А.Н. Алгебра: Учебник для 8 класса общеобразовательной школы. – Алматы: Атамұра, 2011. – 288 с.

2.      Мордкович А.Г. Алгебра. 8 кл.: Учеб. для общеобразоват. учреждений. – М. : Мнемозина, 2001. – 223 с. : ил. Страница 112.

3.      Макарычев Ю.Н., Миндюк Н.Г. Алгебра. Дидактические материалы. 8 класс: пособие для шк. с углубл. изучением математики – М. : Мнемозина, 2010. – 157 с. : ил.


 

4.