Методические рекомендации к уроку №3 темы/подраздела
«Квадратное уравнение»
раздела «Квадратные уравнения»
Тема урока: Квадратное уравнение. Решение неполных квадратных уравнений
Цель обучения:
8.2.2.2
различать виды квадратных уравнений
Это завершающий урок указанного подраздела, состоящего из 3 уроков. На данном уроке будут обобщены знания учащихся о понятиях, связвнных с квадратным уравнением. Также продолжится формирование навыка решения неполных квадратных уравнений.
Методические рекомендации по организации урока. Рекомендации по формативному оцениванию
Для повторения материала предыдущего урока проводится небольшой тест. Использование карточек с буквами для демонстрации ответов позволит вовлечь в работу всех учащихся. Также учитель будет видеть, кто из учащихся не владеет материалом. Учитель может сделать пометки о необходимости дополнительной работы с этими учащимися.
Далее учащиеся будут работать в парах. Работа здесь организована таким образом, что учащиеся могут проверить свою работу по образцам ответов, улучшить ее при необходимости, обратить внимание на оформление решения. Объяснение своего решения однокласснику будет способствовать более прочному овладению навыком решения неполных квадратных уравнений.
На следующем этапе предлагается фронтальная работа по решению квадратных уравнений с параметром. Такие задания имеют высокий уровень сложности, так как для их выполнения необходимы навыки высокого порядка. Поэтому учитель может поменять эту часть урока, предложив основной массе учащихся решение заданий на повторение, а эти задания оставить для наиболее продвинутых учащихся.
Задания для самостоятельной работы разработаны в двух уровнях сложности, уровнем А должны владеть все учащиеся, уровень В – сложнее.
Ответы и решения
Работа в парах
Ученик І
№1. Найдите корни уравнения
.
Решение.
![]()
![]()
![]()
![]()
№2. При каком значении m уравнение 2х2 - ( 9 - m )x + m – 9 = 0 является неполным квадратным уравнением?
Решение.
![]()
![]()
Ответ: 9.
Ученик ІІ
№1. Найдите корни уравнения
.
Решение.
![]()
![]()
![]()
![]()
№2. При каком значении m уравнение (m – 1)х2 + (m2 – 1)x + m – 4 = 0.является неполным квадратным уравнением?
Решение.


![]()
Ответ. -1; 4.
Решение уравнений с параметром
1. Для всех значений параметра а
решите уравнение
.
Решение.
Представим левую часть уравнения в виде квадрата:
![]()
При a <
0 уранение не имеет корней, т.е.
,
при a = 0 уранение имеет единственный корень х = 1,
при a >
0 уранение имеет два корня:
,
.
2. Для всех
значений параметра а решите уравнение
.
Решение.
Перепишем уравнение, как
![]()
При a <
0 уранение имеет два корня:
,
при a = 0 уранение имеет единственный корень х = 0,
при a >
0 уранение не имеет корней, т.е.
.
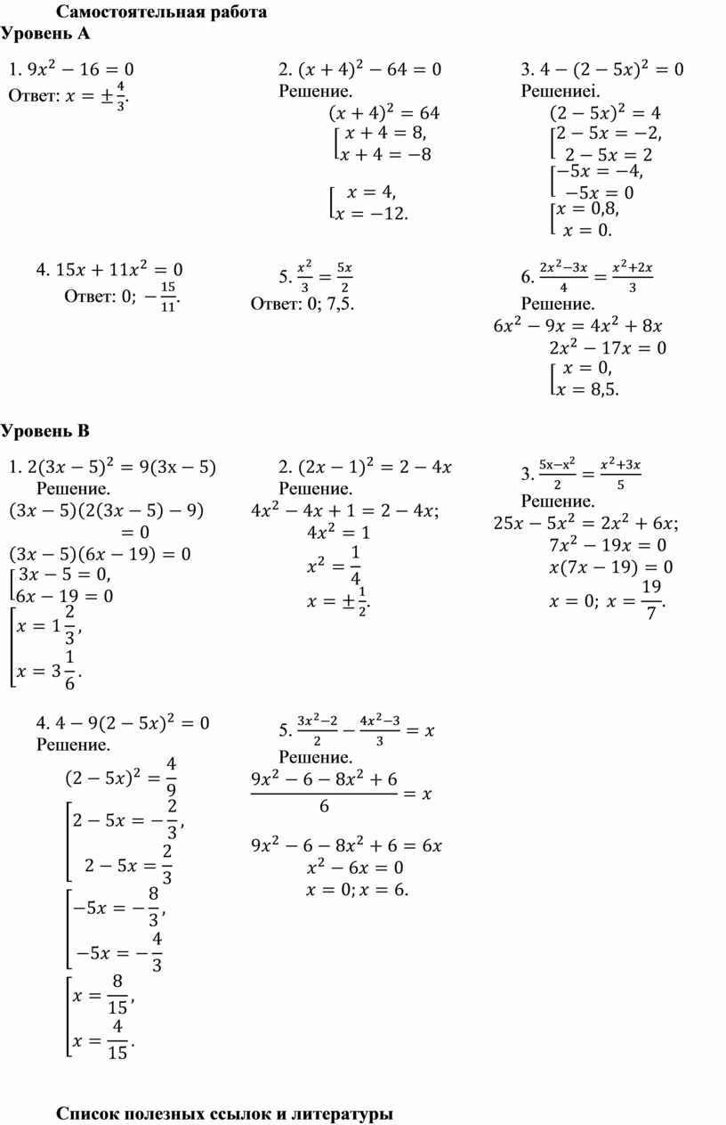
Самостоятельная работа
Уровень А
|
1.
Ответ: |
2. Решение.
|
3. Решениеі.
|
|
4. Ответ:
|
5. Ответ: 0; 7,5. |
6. Решение.
|
Уровень В
|
1.
Решение.
|
2. Решение.
|
3. Решение.
|
|
4. Решение.
|
5. Решение.
|
|
Список полезных ссылок и литературы
1. Шыныбеков А.Н. Алгебра: Учебник для 8 класса общеобразовательной школы. – Алматы: Атамұра, 2011. – 288 с.
2. Галицкий М.Л., Гольдман А.М., Звавич Л.И. Сборник задач по алгебре, 8-9 классы. – М.: Просвещение, 2011. 301 с.: ил.
3. Мордкович А.Г. Алгебра. 8 кл.: Учеб. для общеобразоват. учреждений. – М. : Мнемозина, 2001. – 223 с. : ил. Страница 112.
4.
Материалы на данной страницы взяты из открытых источников либо размещены пользователем в соответствии с договором-офертой сайта. Вы можете сообщить о нарушении.