Урок_4_Приложение 1_Карточки с уравнениями и Маршрут движения

  • docx
  • 30.04.2020
Публикация на сайте для учителей

Публикация педагогических разработок

Бесплатное участие. Свидетельство автора сразу.
Мгновенные 10 документов в портфолио.

Иконка файла материала Урок_4_Приложение 1_Карточки с уравнениями и Маршрут движения.docx

http://xn--i1abbnckbmcl9fb.xn--p1ai/%D1%81%D1%82%D0%B0%D1%82%D1%8C%D0%B8/559882/img13.gif

http://xn--i1abbnckbmcl9fb.xn--p1ai/%D1%81%D1%82%D0%B0%D1%82%D1%8C%D0%B8/559882/img13.gif

http://xn--i1abbnckbmcl9fb.xn--p1ai/%D1%81%D1%82%D0%B0%D1%82%D1%8C%D0%B8/559882/img13.gif

http://xn--i1abbnckbmcl9fb.xn--p1ai/%D1%81%D1%82%D0%B0%D1%82%D1%8C%D0%B8/559882/img13.gif

http://xn--i1abbnckbmcl9fb.xn--p1ai/%D1%81%D1%82%D0%B0%D1%82%D1%8C%D0%B8/559882/img13.gif

\[1)\frac{4}{{x - 2}} - \frac{3}{{x + 4}} = 1\]

\[2)\frac{{x + 2}}{{{x^2} - 2x}} - \frac{x}{{x - 2}} = \frac{3}{x}\]

 

 

http://xn--i1abbnckbmcl9fb.xn--p1ai/%D1%81%D1%82%D0%B0%D1%82%D1%8C%D0%B8/559882/img13.gif

http://xn--i1abbnckbmcl9fb.xn--p1ai/%D1%81%D1%82%D0%B0%D1%82%D1%8C%D0%B8/559882/img13.gif

http://xn--i1abbnckbmcl9fb.xn--p1ai/%D1%81%D1%82%D0%B0%D1%82%D1%8C%D0%B8/559882/img13.gif

http://xn--i1abbnckbmcl9fb.xn--p1ai/%D1%81%D1%82%D0%B0%D1%82%D1%8C%D0%B8/559882/img13.gif

http://xn--i1abbnckbmcl9fb.xn--p1ai/%D1%81%D1%82%D0%B0%D1%82%D1%8C%D0%B8/559882/img13.gif

\[1)\frac{4}{{x - 2}} - \frac{3}{{x + 4}} = 1\]

\[2)\frac{{x + 2}}{{{x^2} - 2x}} - \frac{x}{{x - 2}} = \frac{3}{x}\]

 

 

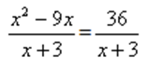
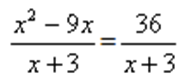
Станция {-4}

Реши уравнение

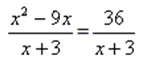
Станция {0,5}

Реши уравнение

http://xn--i1abbnckbmcl9fb.xn--p1ai/%D1%81%D1%82%D0%B0%D1%82%D1%8C%D0%B8/559882/img13.gif

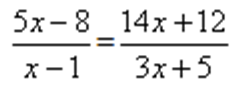
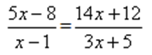
Станция {-0,25; 5}

Реши уравнение

http://xn--i1abbnckbmcl9fb.xn--p1ai/%D1%81%D1%82%D0%B0%D1%82%D1%8C%D0%B8/559882/img13.gif

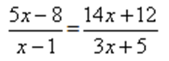
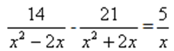
Станция {12}

Реши уравнение

http://xn--i1abbnckbmcl9fb.xn--p1ai/%D1%81%D1%82%D0%B0%D1%82%D1%8C%D0%B8/559882/img13.gif

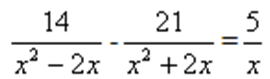
Станция {-7; 4}

Реши уравнение

http://xn--i1abbnckbmcl9fb.xn--p1ai/%D1%81%D1%82%D0%B0%D1%82%D1%8C%D0%B8/559882/img13.gif

Станция {-10; 8}

Реши уравнение

http://xn--i1abbnckbmcl9fb.xn--p1ai/%D1%81%D1%82%D0%B0%D1%82%D1%8C%D0%B8/559882/img13.gif

Станция {-5; 3,6}

Реши уравнение

\[1)\frac{4}{{x - 2}} - \frac{3}{{x + 4}} = 1\]

Станция {-6; 5}

Реши уравнение

\[2)\frac{{x + 2}}{{{x^2} - 2x}} - \frac{x}{{x - 2}} = \frac{3}{x}\]

Станция {-3; 12}

Это тупик! Найди ошибку в решении.

Станция {-4; 2}

Это тупик! Найди ошибку в решении.

Станция {}

Это тупик! Найди ошибку в решении.