Входная контрольная работа по биологии 11 класс. (Профильный уровень).
Вариант 1.
Уровень А . Выберите правильный вариант ответа.
1. У собак черная шерсть (А) доминирует над коричневой (а), а коротконогость
(В) – над нормальной длиной ног (b). Выберите генотип черной коротконогой
собаки, гетерозиготной только по признаку окраски шерсти.
1) AaBb
2) aabb
3) ААBb
4) AаBB
2. Что является мономером ДНК?
1) гликоген
2) глюкоза
3) аминокислоты
4) нуклеотиды
3. Какое из перечисленных заболеваний человека вызвано неклеточными формами
жизни?
1) СПИД
2) туберкулез
3) дизентерия
4) холера
4. При геномных мутациях происходят изменения
1) числа хромосом в генотипе особи
2) структуры ядерных хромосом
3) сочетания нуклеотидов в молекуле ДНК
4) механизма кроссинговера в профазе мейоза
5. Ферментативную функцию в клетке выполняют
1) белки
2) липиды 3)
углеводы 4) нуклеиновые кислоты
6. В пробирке с раствором хлорофилла фотосинтез не происходит, так как для
этого процесса необходим набор ферментов, расположенных на
1) кристах митохондрий
2) гранах хлоропластов
3) эндоплазматической сети
4) плазматической мембране
7. Главным компонентом ядра являются
1) рибосомы
2) хромосомы
3) митохондрии
4) хлоропласты
8. Мутационная изменчивость, в отличие от модификационной,
1) носит обратимый характер
2) передается по наследству
3) характерна для всех особей вида
4) является проявлением нормы реакции
признака
9. Какая клеточная структура по своей функции напоминает таможню в
современном государстве?
1)
клеточная мембрана 2) цитоплазма
3) вакуоль
4) ядро
10. Значение энергетического обмена в клеточном метаболизме состоит в том,
что он обеспечивает реакции синтеза
1) ферментами
2) витаминами
3) молекулами АТФ
4) нуклеиновыми кислотами
11. К основным причинам комбинативной изменчивости не относят
1) рекомбинацию генов в процессе
кроссинговера
2) независимое расхождение гомологичных
хромосом в мейозе
3) воздействие условий внешней среды
4) случайную встречу гамет при
оплодотворении
12. Процесс копирования информации гена на и-РНК называется
1) трансляция
2) денатурация
3) транскрипция
4) репликация
13. Парные гены гомологичных хромосом называют
1) аллельными
2) сцепленными
3) рецессивными
4) доминантными
14. Мейоз отличается от митоза наличием
1) интерфазы 2) веретена деления
3) четырех фаз деления 4) двух последовательных делений
15. Растение поглощает из окружающей среды воду и углекислый газ, которые в процессе фотосинтеза используются в качестве
1) катализаторов химических реакций 2) конечных продуктов дыхания
3) исходных продуктов обмена 4) источников энергии
Уровень В.
1. Выберите три верных ответа из шести.
Биологическое значение мейоза заключается в:
1) предотвращении удвоения числа хромосом в новом поколении
2) образовании мужских и женских гамет
3) образовании соматических клеток
4) создании возможностей возникновения новых генных комбинаций 5) увеличении числа клеток в организме
6) кратном увеличении набора хромосом
2. Установите соответствие
|
функции: |
органоиды: |
|
1) состоит из группы полостей с
пузырьками на концах |
А. Эндоплазматическая сеть |
3. Установите последовательность процессов при удвоении ДНК
раскручивание спирали молекулы
А. воздействие ферментов на молекулу
В. отделение одной цепи от другой на части молекулы ДНК
С. присоединение к каждой цепи ДНК комплементарных нуклеотидов
D.
образование двух молекул ДНК из одной
Уровень С.
1) Объясните, почему при половом размножении появляется более разнообразное
потомство, чем при вегетативном.
2) Группа крови (I) и резус-фактор (R) – аутосомные несцепленные признаки.
Группа крови контролируется тремя аллелями одного гена: i0, IA, IB. В браке
женщины с первой группой крови, положительным резус-фактором и мужчины с
третьей группой крови, положительным резус-фактором родился ребёнок с
отрицательным резус−фактором. Составьте схему решения задачи. Определите
генотипы родителей, возможные генотипы и фенотипы потомства. Какова вероятность
рождения в этой семье ребёнка с отрицательным резус-фактором?
3) В процессе трансляции участвовало 30 молекул тРНК. Определите
число аминокислот, входящих в состав синтезируемого
белка, а также число триплетов и нуклеотидов в
гене, который кодирует этот белок.
Входная контрольная работа по биологии 11 класс. (Профильный уровень).
Вариант 2.
Уровень А.
Выберите правильный вариант ответа.
1. При скрещивании двух морских свинок с черной шерстью (доминантный
признак) получено потомство, среди которого особи с белой шерстью составили
25%. Каковы генотипы родителей?
1) АА х аа;
2) Аа х АА;
3) Аа х Аа; 4)
АА х АА.
2. Без митоза невозможен процесс
1) обмена веществ
2) роста организма
3) оплодотворения
4) кроссинговера
3. О сходстве клеток эукариот свидетельствует наличие в них
1) ядра
2) пластид
3) оболочки из клетчатки
4) вакуолей с клеточным соком
4. Что является мономером белка?
1) гликоген
2) глюкоза
3) аминокислоты
4) нуклеотиды
5. Источником углерода, используемого растениями в процессе фотосинтеза,
служит молекула
1) угольной кислоты
2) углеводорода
3) полисахарида
4) углекислого газа
6. Световая стадия фотосинтеза протекает
1) в цитоплазме
2) в гранах хлоропласта
3) в рибосомах
4) в митохондриях
7. Молекулы АТФ выполняют в клетке функцию
1) защитную
2) каталитическую
3) аккумулятора энергии
4) транспорта веществ
8. Гидролитическое расщепление высокомолекулярных веществ в клетке
происходит в
1) лизосомах
2) рибосомах
3) хлоропластах
4) эндоплазматической сети
9. Строение и функции плазматической мембраны обусловлены входящими в её
состав молекулами
1) гликогена и крахмала 2)
ДНК и АТФ
3) белков и липидов
4) клетчатки и глюкозы
10. Организмы, которым для нормальной жизнедеятельности необходимо
наличие кислорода в среде обитания, называют
1) аэробами
2) анаэробами
3) гетеротрофами 4) автотрофами
11. К основным причинам комбинативной изменчивости не относят
1) рекомбинацию генов в процессе
кроссинговера
2) независимое расхождение гомологичных
хромосом в мейозе
3) воздействие условий внешней среды
4) случайную встречу гамет при
оплодотворении
12. Количество групп сцепления генов у организмов зависит от числа
1) пар гомологичных хромосом
2) аллельных генов
3) доминантных генов
4) молекул ДНК в ядре клетки
13. В условиях тропической Африки у капусты не образуются кочаны. Какая
форма изменчивости проявляется в данном случае?
1) мутационная
2) комбинативная
3) модификационная 4)
цитоплазматическая
14. Синтез белка относится к реакциям
1) фотосинтеза
2) дыхания
3) ассимиляции
4) диссимиляции
15. В анафазе митоза происходит
1) удвоение хромосом 2) деспирализация хромосом
3) расхождение хроматид 4) спирализация хромосом
Уровень В.
1. Выберите три верных ответа из шести.
Для прокариотической клетки характерно наличие :
1) рибосом
2) митохондрий
3) оформленного ядра
4) плазматической мембраны
5) эндоплазматической сети
6) одной кольцевой ДНК
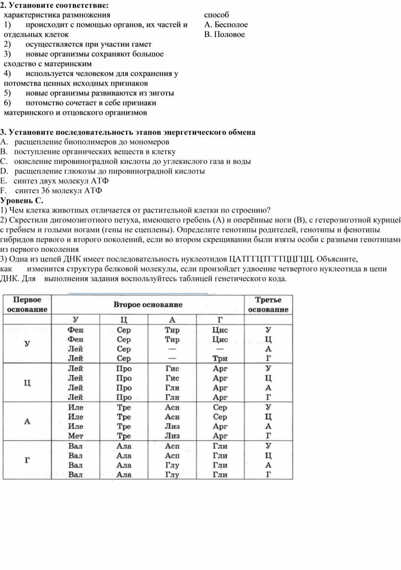
2. Установите соответствие:
|
характеристика размножения |
способ |
|
1) происходит с помощью органов, их
частей и отдельных клеток |
А. Бесполое |
3. Установите последовательность этапов энергетического обмена
А. расщепление биополимеров до мономеров
В. поступление органических веществ в клетку
С. окисление пировиноградной кислоты до углекислого газа и воды
D. расщепление глюкозы до пировиноградной кислоты
E. синтез двух молекул АТФ
F. синтез
36 молекул АТФ
Уровень С.
1) Чем клетка животных отличается от растительной клетки по строению?
2) Скрестили дигомозиготного петуха, имеющего гребень (А) и оперённые ноги (В),
с гетерозиготной курицей с гребнем и голыми ногами (гены не сцеплены).
Определите генотипы родителей, генотипы и фенотипы гибридов первого и второго
поколений, если во втором скрещивании были взяты особи с разными генотипами из
первого поколения
3) Одна из цепей ДНК имеет последовательность нуклеотидов ЦАТГГЦТГТТЦЦГЦЦ.
Объясните, как изменится структура белковой
молекулы, если произойдет удвоение четвертого нуклеотида в цепи ДНК. Для выполнения
задания воспользуйтесь таблицей генетического кода.

Входная контрольная работа по биологии 11 класс. (Профильный уровень).
Вариант 3.
Уровень А. Выберите правильный вариант ответа.
1. Какие гаметы имеют особи с генотипом ааВВ?
1)
аа 2)
ааВВ 3)
ВВ 4)
аВ
2. Какой уровень организации живого служит основным объектом изучения
цитологии?
1) клеточный 2)
популяционно-видовой
3) биогеоценотический 4)
биосферный
3. Что является мономером крахмала?
1) гликоген
2) глюкоза
3) аминокислоты
4) нуклеотиды
4. В чем состоит сходство молекул ДНК и РНК?
1)
состоят из двух полинуклеотидных цепей 2)
имеют форму спирали
3) это биополимеры, состоящие из
мономеров-нуклеотидов
4) обе содержат по нескольку тысяч генов
5. При геномных мутациях происходят изменения
1) числа хромосом в генотипе особи
2) структуры ядерных хромосом
3) сочетания нуклеотидов в молекуле ДНК
4) механизма кроссинговера в
профазе мейоза
6. Какое из перечисленных заболеваний человека вызвано неклеточными формами
жизни?
1) СПИД
2) туберкулез
3) дизентерия
4) холера
7. Лизосомы формируются из
1)
комплекса Гольджи 2)
клеточного центра
3) пластид 4)
митохондрий
8. В интерфазе перед митозом в клетке
1) хромосомы выстраиваются в плоскости
экватора
2) хромосомы расходятся к полюсам клетки
3) количество молекул ДНК уменьшается вдвое
4) количество молекул ДНК удваивается
9. К органоидам цитоплазмы не относятся
1) ядрышки и хромосомы
2) хлоропласты и лейкопласты
3) рибосомы и митохондрии
4) лизосомы и вакуоли
10. Энергетический обмен не может идти без пластического, так как
пластический обмен поставляет для энергетического
1) богатые энергией молекулы АТФ
2) ферменты для ускорения реакций
3) кислород для реакций расщепления
4) неорганические соли и кислоты
11. Растение поглощает из окружающей среды воду и углекислый газ, которые в
процессе фотосинтеза используются в качестве
1) катализаторов химических реакций
2) конечных продуктов дыхания
3) исходных продуктов обмена
4) источников энергии
12. У растений, полученных путем вегетативного размножения
1) повышается адаптация к новым условиям
2) появляется много новых признаков
3) набор генов идентичен родительскому
4) проявляется комбинативная изменчивость
13. В пробирке с раствором хлорофилла фотосинтез не происходит, так как для
этого процесса необходим набор ферментов, расположенных на
1) кристах митохондрий
2) гранах хлоропластов
3) эндоплазматической сети
4) плазматической мембране
14. Процесс транскрипции происходит
1) в рибосомах
2) в ядре
3) в цитоплазме
4) в хлоропластах
15. Деление цитоплазмы происходит
1) в телофазе 2) в анафазе 3) в интерфазе 4) в профазе
Уровень В.
1. Выберите три верных ответа из шести.
Какие функции выполняет в клетке ядро?
1) обеспечивает поступление веществ в клетку
2) служит местом локализации носителей наследственной информации – хромосом
3) с помощью молекул посредников участвует в синтезе молекул белка
4) участвует в процессе фотосинтеза
5) в нем органические вещества окисляются до неорганических
6) участвует в образовании хроматид
2. Установите соответствие:
|
характеристика обмена веществ |
организмы: |
|
1) использование энергии солнечного
света для синтеза АТФ |
А. Автотрофы |
3. Установите последовательность процессов при митозе
A. расхождение хроматид к полюсам клетки
B. спирализация хромосом
C. образование дочерних ядер
D. расположение хромосом на экваторе клетки
E. прикрепление хромосом к нитям веретена
деления
F. растворение ядерной оболочки
Уровень С.
1) Какая форма размножения обеспечивает лучшую приспособляемость организмов к
изменениям внешней среды и почему?
2) У женщины с карими глазами и 3 группой крови и мужчины с голубыми глазами и
1 группой крови родился голубоглазый ребенок. Карий цвет глаз доминирует над
голубым. Определить генотипы родителей, составите схему решения. Определите,
какая группа крови может быть у этого ребенка?
3) Белок состоит из 130 аминокислот. Установите число нуклеотидов в иРНК и ДНК,
кодирующих данный белок, и число молекул тРНК, которые необходимы для синтеза
данного белка. Ответ обоснуйте.
Входная контрольная работа по биологии 11 класс. (Профильный уровень).
Вариант 4.
Уровень А. Выберите правильный вариант ответа.
1. У собак черная шерсть (А) доминирует над коричневой (а), а коротконогость
(В) – над нормальной длиной ног (b). Выберите генотип черной коротконогой
собаки, гетерозиготной только по признаку длины ног.
1)
AaBb 2) aabb
3) ААBb
4) AABB
2. Укажите формулировку одного из положений клеточной теории.
1)
клетки растений отличаются от клеток животных наличием хлоропластов.
2) клетка – единица строения,
жизнедеятельности и развития организмов.
3) клетки прокариот не имеют оформленного
ядра.
4) вирусы не имеют клеточного строения.
3. К основным причинам комбинативной изменчивости не относят
1) рекомбинацию генов в процессе
кроссинговера
2) независимое расхождение гомологичных
хромосом в мейозе
3) воздействие условий внешней среды
4) случайную встречу гамет при
оплодотворении
4. Без митоза невозможен процесс
1) обмена веществ
2) роста организма
3) оплодотворения
4) кроссинговера
5. Каким свойством обладают все липиды?
1) растворяются в воде
2) имеют сладкий вкус
3) не растворяются в воде
4) образуют кристаллы
6. В состав каких молекул входит фосфор, необходимый всем живым организмам?
1) жиров
2) моносахаридов
3) полисахаридов
4) нуклеиновых кислот
7. В митохондриях в отличие от хлоропластов не происходит синтез молекул
1) АТФ
2) глюкозы
3) иРНК
4) белка
8. Клеточный центр участвует
1) в движении клетки
2) в синтезе белка
3) в процессе деления
4) в процессе фотосинтеза
9. Энергетический обмен в клетке эукариот происходит
1) в один этап
2) в два этапа
3) в три этапа
4) в четыре этапа
10. Число хромосом при половом размножении в каждом поколении возрастало бы
вдвое, если бы в ходе эволюции не сформировался процесс
1) митоза 2)
оплодотворения 3) мейоза 4) опыления
11. В темновую стадию фотосинтеза происходит
1) фотолиз воды
2) синтез глюкозы
3) синтез АТФ
4) выделение кислорода
12. Источником углерода, используемого растениями в процессе фотосинтеза,
служит молекула
1) угольной кислоты
2) углеводорода
3) полисахарида
4) углекислого газа
13. В условиях тропической Африки у капусты не образуются кочаны.
Какая форма изменчивости проявляется в данном случае?
1)
мутационная 2) комбинативная
3) модификационная
4) цитоплазматическая
14. Процесс трансляции происходит
1) в рибосомах 2) в ядре 3) в цитоплазме 4) в хлоропластах
15. В метафазе митоза в клетке
1) хромосомы выстраиваются в плоскости экватора
2) хромосомы расходятся к полюсам клетки
3) количество молекул ДНК уменьшается вдвое
4) количество молекул ДНК удваивается
Уровень В 1.
Выберите три верных ответа из шести.
Сходство клеток животных и бактерий состоит в том, что они имеют
1) оформленное ядро
2) цитоплазму
3) митохондрии
4) плазматическую мембрану
5) гликокаликс
6) рибосомы
2. Установите соответствие
|
характеристика мутации |
тип мутации: |
|
1) включение двух лишних нуклеотидов
в молекулу ДНК |
А. Генные |
3. Установите последовательность процессов эмбриогенеза у ланцетника
A. впячивание части стенки бластулы
B. дробление зиготы
C. оплодотворение
D. образование гаструлы
E. образование мезодермы
F. закладка органов
Уровень С.
1) Чем клетка животных отличается от растительной клетки по строению?
2) Тыкву, имеющую жёлтые плоды дисковидной формы, скрестили с тыквой, у которой
были белые шаровидные плоды. Все гибриды от этого скрещивания имели белую
окраску и дисковидную форму плодов. Какие признаки доминируют? Каковы генотипы
родителей и потомства?
3) Фрагмент цепи иРНК имеет последовательность нуклеотидов ЦГАГУАУГЦУГГ.
Определите последовательность нуклеотидов на ДНК, антикодоны тРНК и
последовательность аминокислот, которая соответствует данному фрагменту гена,
используя таблицу генетического кода.

Входная контрольная работа по биологии 11 класс. (Профильный уровень).
Вариант 5.
Уровень А. Выберите правильный вариант ответа.
1. При скрещивании доминантных и рецессивных особей первое гибридное поколение
единообразно. Чем это объясняется?
1)
все особи имеют одинаковый генотип
2) все особи имеют одинаковый фенотип
3) все особи имеют сходство с одним из
родителей
4) все особи живут в одинаковых условиях
2. Главный признак живого –
1) движение
2) увеличение массы
3) обмен веществ
4) распад на молекулы
3. В пробирке с раствором хлорофилла фотосинтез не происходит, так как для
этого процесса необходим набор ферментов, расположенных на
1) кристах митохондрий
2) гранах хлоропластов
3) эндоплазматической сети
4) плазматической мембране
4. Информационную функцию в клетке выполняют
1)
белки 2)
липиды 3) углеводы
4) нуклеиновые кислоты
5. При геномных мутациях происходят изменения
1)
числа хромосом в генотипе особи
2) структуры ядерных хромосом
3) сочетания нуклеотидов в молекуле ДНК
4) механизма кроссинговера в профазе мейоза
6. Какое из перечисленных заболеваний человека вызвано неклеточными формами
жизни?
1) СПИД
2) туберкулез
3) дизентерия
4) холера
7. Какая наука изучает влияние загрязнений на окружающую среду?
1) анатомия
2) генетика 3)
ботаника 4) экология
8. Растение поглощает из окружающей среды воду и углекислый газ, которые в
процессе фотосинтеза используются в качестве
1) катализаторов химических реакций
2) конечных продуктов дыхания
3) исходных продуктов обмена
4) источников энергии
9. Обмен веществ между клеткой и окружающей средой регулируется
1) плазматической мембраной
2) эндоплазматической сетью
3) ядерной оболочкой
4) цитоплазмой
10. Энергетические станции клетки – это
1) рибосомы
2) хлоропласты
3) митохондрии
4) лизосомы
11. Пластический обмен не может идти без энергетического, так как
энергетический обмен поставляет для пластического
1) богатые энергией молекулы АТФ
2) ферменты для ускорения реакций
3) кислород для реакций расщепления
4) неорганические соли и кислоты
12. Какие формы жизни занимают промежуточное положение между телами живой и
неживой природы?
1)
вирусы 2) бактерии 3)
лишайники 4) грибы
13. Какой вирус нарушает работу иммунной системы человека?
1)
полиомиелита 2) оспы
3) гриппа
4) ВИЧ
14. Каковы особенности модификационной изменчивости?
1) проявляется у каждой особи индивидуально, так как изменяется генотип
2) носит приспособительный характер, генотип при этом не изменяется
3) не имеет приспособительного характера, вызвана изменением генотипа
4) подчиняется законам наследственности, генотип при этом не изменяется
15. Удвоение ДНК происходит
1) в профазе митоза 2) в анафазе митоза
3) в интерфазе митоза 4) в метафазе митоза
Уровень В.
1. Выберите три верных ответа из шести.
Половое размножение, в отличие от бесполого
1) свойственно как растениям, так и позвоночным животным
2) ведет к появлению новых комбинаций генов в потомстве
3) является эволюционно более древним
4) сопровождается гаметогенезом
5) способствует развитию большого числа дочерних особей
6) характерно только для прокариотических организмов
2. Установите соответствие
|
признаки гаметогенеза |
виды гаметогенеза |
|
1) образуются яйцеклетки |
А. Овогенез |
3. Установите последовательность процессов в первом делении мейоза
A. спирализация хромосом
B. образование веретена
деления
C. конъюгация гомологичных хромосом
D. расхождение гомологичных хромосом
E. кроссинговер – обмен генами
F. удвоение ДНК
Уровень С.
1) Объясните, почему при нанесении пероксида водорода на срез сырого картофеля
активно выделяется кислород, а при нанесении на срез вареного картофеля
выделения кислорода не наблюдается.
2) Скрестили дигомозиготного петуха, имеющего гребень (А) и оперённые ноги (В),
с гетерозиготной курицей с гребнем и голыми ногами (гены не сцеплены).
Определите генотипы родителей, генотипы и фенотипы гибридов первого и второго
поколений, если во втором скрещивании были взяты особи с разными генотипами из
первого поколения
3) Последовательность нуклеотидов в фрагменте цепи иРНК ЦУЦААГГЦУААЦ.
Определите с помощью таблицы генетического кода последовательность аминокислот,
нуклеотидов на соответствующих фрагментах цепей ДНК и подсчитайте содержание в
них нуклеотидов А, Г, Т и Ц (в процентах)

Входная контрольная работа по биологии 11 класс. (Профильный уровень).
Вариант 6.
Уровень А. Выберите правильный вариант ответа.
1. Сколько видов гамет образуется у дигетерозиготных растений гороха при
дигибридном скрещивании (гены не образуют группу сцепления)?
1) один
2) два 3) три
4) четыре
2. Не имеет мембранной структуры
1) ЭПС
2) митохондрия
3) рибосома
4) лизосома
3. При скрещивании двух морских свинок с черной шерстью (доминантный
признак) получено потомство, среди которого особи с белой шерстью составили
25%. Каковы генотипы родителей?
1)
АА х аа; 2)
Аа х АА; 3)
Аа х Аа; 4)
АА х АА.
4. В клетке липиды, в отличие от углеводов, выполняют функцию
1) энергетическую
2) структурную
3) запасающую 4) регуляторную
5. Без митоза невозможен процесс
1) обмена веществ
2) роста организма
3) оплодотворения
4) кроссинговера
6. Главным компонентом ядра являются
1) рибосомы
2) хромосомы
3) митохондрии
4) хлоропласты
7. Пределы модификационной изменчивости признака называют
1) генотипом
2) фенотипом
3) нормой реакции
4) генофондом
8. В метафазе митоза в клетке
1) хромосомы выстраиваются в плоскости
экватора
2) хромосомы расходятся к полюсам клетки
3) количество молекул ДНК уменьшается вдвое
4) количество молекул ДНК удваивается
9. В условиях тропической Африки у капусты не образуются кочаны. Какая форма
изменчивости проявляется в данном случае?
1) мутационная
2) комбинативная
3) модификационная 4)
цитоплазматическая
10. Источником углерода, используемого растениями в процессе
фотосинтеза, служит молекула
1) угольной кислоты
2) углеводорода
3) полисахарида
4) углекислого газа
11. К основным причинам комбинативной изменчивости не относят
1) рекомбинацию генов в процессе
кроссинговера
2) независимое расхождение гомологичных
хромосом в мейозе
3) воздействие условий внешней среды
4) случайную встречу гамет при
оплодотворении
12. Парные гены гомологичных хромосом называют
1) аллельными
2) сцепленными
3) рецессивными
4) доминантными
13. Количество групп сцепления генов у организмов зависит от числа
1) пар гомологичных хромосом 2) аллельных генов
3) доминантных генов 4) молекул ДНК в ядре клетки
14. Значение энергетического обмена в клеточном метаболизме состоит в том, что он обеспечивает реакции синтеза
1) ферментами 2) витаминами
3) молекулами АТФ 4) нуклеиновыми кислотами
15. Строение и функции плазматической мембраны обусловлены входящими в её состав молекулами
1) гликогена и крахмала 2) ДНК и АТФ 3) белков и липидов 4) клетчатки и глюкозы
Уровень В.
1. Выберите три верных ответа из шести.
Какую роль выполняет иРНК в клетке?
1) переписывает наследственную информацию с ДНК
2) переносит наследственную информацию из ядра в рибосому
3) доставляет аминокислоты к рибосоме
4) служит матрицей для синтеза полипептидной цепи
5) участвует в реакциях гликолиза
6) ускоряет реакции клеточного обмена
2. Установите соответствие
|
характеристика |
виды углеводов: |
|
1) молекулы состоят из небольшого
числа атомов углерода |
А. Моносахариды |
3. Установите последовательность процессов при фотосинтезе
A. фотолиз воды
B. улавливание световой энергии молекулой
хлорофилла
C. выделение свободного кислорода
D. соединение углекислого газа с протонами
водорода
E. образование глюкозы
F. потеря электрона молекулой хлорофилла
Уровень С.
1) Какие отличия по строению имеются между клетками прокариот и эукариот?
2) У человека глаукома наследуется как аутосомно-рецессивный признак (а), а
синдром Марфана, сопровождающийся аномалией в развитии соединительной
ткани, — как аутосомно-доминантный признак (В). Гены находятся в разных
парах аутосом. Один из супругов страдает глаукомой и не имел в роду предков с
синдромом Марфана, а второй дигетерозиготен по данным признакам. Определите
генотипы родителей, возможные генотипы и фенотипы детей, вероятность рождения
здорового ребёнка. Составьте схему решения задачи.
3) В процессе трансляции участвовало 45 молекул тРНК. Определите число
аминокислот, входящих в состав синтезируемого белка, а также число триплетов и нуклеотидов
в гене, который кодирует этот белок.
Входная контрольная работа по биологии 11 класс. (Профильный уровень).
Вариант 7.
Уровень
А. Выберите
правильный вариант ответа.
1. В потомстве, полученном от скрещивания гибридов первого поколения, четверть
особей имеет рецессивный признак, три четверти – доминантный. Это формулировка
закона
1) единообразия первого поколения
2) расщепления
3) независимого распределения
генов 4) сцепленного наследования
2. В пробирке с раствором хлорофилла фотосинтез не происходит, так как для
этого процесса необходим набор ферментов, расположенных на
1) кристах митохондрий
2) гранах хлоропластов
3) эндоплазматической сети
4) плазматической мембране
3. Молекулы АТФ выполняют в клетке функцию
1) защитную
2) каталитическую
3) аккумулятора энергии
4) транспорта веществ
4. Одно из положений клеточной теории
1) появлению клетки предшествуют
коацерваты
2) бактериофаги – внутриклеточные паразиты
3) клеточный цикл включает интерфазу и
митоз
4) клетки организмов имеют единый план
строения
5. Какие гаметы имеют особи с генотипом ааВВ?
1)
аа 2)
ааВВ 3)
ВВ 4)
аВ
6. В молекуле белка благодаря пептидным связям образуется
структура
1) первичная
2) вторичная
3) третичная
4) четвертичная
7. При геномных мутациях происходят изменения
1) числа хромосом в генотипе особи
2) структуры ядерных хромосом
3) сочетания нуклеотидов в молекуле ДНК
4) механизма кроссинговера в профазе мейоза
8. Совокупность всех генов организма составляет его
1)
генотип 2) фенотип
3) генофонд
4) геном
9. Удвоение ДНК происходит
1) в профазе митоза
2) в анафазе митоза
3) в интерфазе митоза
4) в метафазе митоза
10. Какое из перечисленных заболеваний человека вызвано неклеточными формами
жизни?
1) СПИД
2) туберкулез
3) дизентерия
4) холера
11. Растение поглощает из окружающей среды воду и углекислый газ, которые в
процессе фотосинтеза используются в качестве
1) катализаторов химических реакций
2) конечных продуктов дыхания
3) исходных продуктов обмена
4) источников энергии
12. Синтез белка относится к реакциям
1) фотосинтеза
2) дыхания
3) ассимиляции
4) диссимиляции
13. В темновую стадию фотосинтеза происходит
1)
фотолиз воды 2) синтез глюкозы
3) синтез АТФ 4) выделение кислорода
14. Организмы, которым для нормальной жизнедеятельности необходимо наличие кислорода в среде обитания, называют
1) аэробами 2) анаэробами 3) гетеротрофами 4) автотрофами
15. Какая клеточная структура по своей функции напоминает таможню в современном государстве?
1) клеточная мембрана 2) цитоплазма 3) вакуоль 4) ядро
Уровень В.
1. Выберите три верных ответа из шести.
В бесполом размножении организмов
1) развитие начинается с зиготы
2) участвует, как правило, одна особь
3) исходными являются соматические клетки
4) принимают участие гаметы
5) генотип потомков является копией родительского
6) генотип потомков несет генетическую информацию двух родителей
2. Установите соответствие
|
строение и функции |
нуклеиновые кислоты: |
|
1) доставляет информацию о структуре
белка к месту синтеза |
А. ДНК В. иРНК |
3. Установите последовательность процессов при биосинтезе белка
A. присоединение молекулы иРНК к рибосоме
B. доставка аминокислот молекулами тРНК
C. освобождение белковой молекулы
D. образование молекулы иРНК
E. передвижение молекулы иРНК из ядра в
цитоплазму
F. образование полипептидной цепочки
Уровень С.
1) Объясните с позиции генетики, почему среди мужчин гораздо больше
дальтоников, чем среди женщин.
2) Тыкву, имеющую жёлтые плоды дисковидной формы, скрестили с тыквой, у которой
были белые шаровидные плоды. Все гибриды от этого скрещивания имели белую
окраску и дисковидную форму плодов. Какие признаки доминируют? Каковы генотипы
родителей и потомства?
3) Одна из цепей ДНК имеет последовательность нуклеотидов ТГАГЦТГТЦГЦЦ.
Объясните, как изменится структура белковой
молекулы, если произойдет удвоение девятого нуклеотида в цепи ДНК. Для
выполнения задания воспользуйтесь таблицей генетического кода.

Входная контрольная работа по биологии 11 класс. (Профильный уровень).
Вариант 8.
Уровень А . Выберите правильный вариант ответа.
1. Все гены, расположенные в одной хромосоме наследуются совместно. Это
формулировка закона
1)
единообразия первого поколения 2)
расщепления
3) независимого распределения генов
4) сцепленного наследования
2. Клетку прокариот можно распознать по наличию в цитоплазме
1) рибосом
2) митохондрий
3)
пластид 4) кольцевой молекулы ДНК
3. В молекуле белка благодаря водородным связям образуется структура
1) первичная
2) вторичная 3)
третичная 4) четвертичная
4. Источником углерода, используемого растениями в процессе фотосинтеза,
служит молекула
1) угольной кислоты
2) углеводорода
3) полисахарида
4) углекислого газа
5. Совокупность всех признаков организма составляет его
1)
генотип 2) фенотип
3) генофонд
4) геном
6. Лизосомы формируются из
1)
комплекса Гольджи 2) клеточного центра
3) пластид 4)
митохондрий
7. У собак черная шерсть (А) доминирует над коричневой (а), а коротконогость
(В) – над нормальной длиной ног (b). Выберите генотип черной коротконогой
собаки, гетерозиготной только по признаку длины ног.
1) AaBb
2) aabb
3) ААBb
4) AABB
8. Без митоза невозможен процесс
1) обмена веществ
2) роста организма
3) оплодотворения
4) кроссинговера
9. В условиях тропической Африки у капусты не образуются кочаны. Какая форма
изменчивости проявляется в данном случае?
1) мутационная 2)
комбинативная
3) модификационная 4)
цитоплазматическая
10. Деление цитоплазмы происходит
1) в телофазе
2) в анафазе
3) в интерфазе
4) в профазе
11. Процесс транскрипции происходит
1) в рибосомах 2)
в ядре 3) в цитоплазме
4) в хлоропластах
12. Какой вирус нарушает работу иммунной системы человека?
1) полиомиелита
2) оспы
3) гриппа
4) ВИЧ
13. К основным причинам комбинативной изменчивости не относят
1) рекомбинацию генов в процессе
кроссинговера
2) независимое расхождение гомологичных хромосом в мейозе
3) воздействие условий внешней среды
4) случайную встречу гамет при оплодотворении
14. Энергетический обмен не может идти без пластического, так как пластический обмен поставляет для энергетического
1) богатые энергией молекулы АТФ 2) ферменты для ускорения реакций 3) кислород для реакций расщепления 4) неорганические соли и кислоты
15. Энергетический обмен в клетке эукариот происходит
1) в один этап 2) в два этапа 3) в три этапа 4) в четыре этапа
Уровень В.
1. Выберите три верных ответа из шести.
Липиды в клетке выполняют функции
1) сигнальную
2) структурную
3) запасающую
4) энергетическую
5) транспортную
6) ферментативную
2. Установите соответствие
|
структура и функции |
органоиды |
|
1) складки внутренней мембраны
образуют кристы |
А. Митохондрия |
3. Установите последовательность уровней организации жизни по степени их
усложнения
A. клеточный уровень
B. организменный уровень
C. биосферный уровень
D. молекулярно-генетический уровень
E. тканевый уровень
F. экосистемный уровень
Уровень С.
1) В чем сходство процессов митоза и мейоза?
2) У женщины с карими глазами и 3 группой крови и мужчины с голубыми глазами и
1 группой крови родился голубоглазый ребенок. Карий цвет глаз доминирует над
голубым. Определить генотипы родителей, составите схему решения. Определите,
какая группа крови может быть у этого ребенка?
3) Белок состоит из 220 аминокислот. Установите число нуклеотидов в иРНК и ДНК,
кодирующих данный белок, и число молекул тРНК, которые необходимы для синтеза
данного белка. Ответ обоснуйте.
Входная контрольная работа по биологии 11 класс. (Профильный уровень).
Вариант 9.
Уровень А. Выберите правильный вариант ответа.
1. У морских свинок черная шерсть доминирует над белой, а длинная над короткой.
Определите генотип дигетерозиготной длинношерстной черной особи.
1)
ААВВ 2) АаВb
3) AABb
4) AaBB
2. Согласно клеточной теории, клетка –
1)
единица строения живого 2) совокупность
органоидов
3) автономная структура
4) состоит из мембранных структур
3. Растение поглощает из окружающей среды воду и углекислый газ, которые в
процессе фотосинтеза используются в качестве
1) катализаторов химических реакций
2) конечных продуктов дыхания
3) исходных продуктов обмена
4) источников энергии
4. При геномных мутациях происходят изменения
1) числа хромосом в генотипе особи
2) структуры ядерных хромосом
3) сочетания нуклеотидов в молекуле ДНК
4) механизма кроссинговера в
профазе мейоза
5. При скрещивании доминантных и рецессивных особей первое гибридное
поколение единообразно. Чем это объясняется?
1)
все особи имеют одинаковый генотип
2) все особи имеют одинаковый фенотип
3) все особи имеют сходство с одним из
родителей
4) все особи живут в одинаковых условиях
6. В митохондриях в отличие от хлоропластов не происходит синтез молекул
1) АТФ
2) глюкозы
3) иРНК
4) белка
7. Два слоя липидов с погруженными в них молекулами белка представляют собой
1) плазматическую мембрану
2) хромосому
3) цитоплазму
4) рибосому
8. В пробирке с раствором хлорофилла фотосинтез не происходит, так как для
этого процесса необходим набор ферментов, расположенных на
1) кристах митохондрий
2) гранах хлоропластов
3) эндоплазматической сети
4) плазматической мембране
9. Какое из перечисленных заболеваний человека вызвано неклеточными формами
жизни?
1) СПИД
2) туберкулез
3) дизентерия
4) холера
10. Какие органоиды клетки имеют собственную ДНК?
1) эндоплазматическая сеть
2) комплекс Гольджи
3) митохондрии
4) рибосомы
11. В анафазе митоза происходит
1) удвоение хромосом
2) деспирализация хромосом
3) расхождение хроматид
4) спирализация хромосом
12. Процесс трансляции происходит
1) в рибосомах 2) в
ядре 3) в цитоплазме
4) в хлоропластах
13. У растений, полученных путем вегетативного размножения,
1) повышается адаптация к новым условиям
2) появляется много новых признаков
3) набор генов идентичен родительскому
4) проявляется комбинативная
изменчивость
14. Число хромосом при половом размножении в каждом поколении возрастало бы
вдвое, если бы в ходе эволюции не сформировался процесс
1) митоза
2) оплодотворения
3) мейоза
4) опыления
15. Пластический обмен не может идти без энергетического, так как энергетический
обмен поставляет для пластического
1) богатые энергией молекулы
АТФ 2) ферменты для ускорения реакций
3) кислород для реакций расщепления
4) неорганические соли и кислоты
Уровень В.
1. Выберите три верных ответа из шести.
Какие процессы происходят в растительной клетке с использованием энергии солнечного света?
1) поступление в клетку углекислого газа и воды
2) образование молекулярного кислорода за счет расщепления молекул воды
3) расщепление белков до аминокислот
4) образование протонов водорода в результате фотолиза воды
5) окисление пировиноградной кислоты до углекислого газа и воды
6) синтез АТФ
2. Установите соответствие
|
признаки |
типы клеток |
|
1) клетка не имеет оформленного ядра |
А. Эукариотическая |
3. Установите последовательность процессов при трансляции
A. перенос аминокислоты с молекулы тРНК на
полипептидную цепь
B. сдвиг рибосомы на один триплет по цепи
иРНК
C. доставка аминокислоты к рибосоме
молекулой тРНК
D. присоединение молекулы иРНК к рибосоме
E. связывание антикодона тРНК и
комплементарного ему триплета иРНК
F. освобождение молекулы тРНК
Уровень С.
1) Как вы считаете, в чем заключается опасность близкородственных браков?
2) У собак чёрный цвет шерсти доминирует над кофейным, а короткая
шерсть — над длинной. Обе пары генов находятся в разных хромосомах.
Охотник купил чёрную с короткой шерстью собаку и хочет быть уверен, что его
собака чистопородна. Какого партнёра по скрещиванию ему нужно подобрать, чтобы
убедиться в чистоте породы? Составьте схему решения задачи.
3) Фрагмент цепи иРНК имеет последовательность нуклеотидов ЦААГУАУГУУГЦ.
Определите последовательность нуклеотидов на ДНК, антикодоны тРНК и
последовательность аминокислот, которая соответствует данному фрагменту гена,
используя таблицу генетического кода.

Входная контрольная работа по биологии 11 класс. (Профильный уровень).
Вариант 10.
Уровень А . Выберите правильный вариант ответа.
1. При скрещивании белой морской свинки (аа) с черной морской свинкой (АА) в
первом поколении появится
1)
100% белых 2) 100% черных
3) 75% черных и 25% белых
4) 50% черных и 50% белых
2. Обмен веществ между клеткой и окружающей средой регулируется
1) плазматической мембраной
2) эндоплазматической сетью
3) ядерной оболочкой
4) цитоплазмой
3. К основным причинам комбинативной изменчивости не относят
1) рекомбинацию генов в процессе кроссинговера
2) независимое расхождение гомологичных
хромосом в мейозе
3) воздействие условий внешней среды
4) случайную встречу гамет при
оплодотворении
4. Отсутствие в клетке митохондрий, комплекса Гольджи, ядра указывает на ее
принадлежность к
1)
бактериофагам 2) прокариотам
3) эукариотам
4) вирусам
5. В условиях тропической Африки у капусты не образуются кочаны. Какая это
проявляется форма изменчивости?
1) мутационная
2) комбинативная
3) модификационная
4)
цитоплазматическая
6. Ферменты – это белки, которые выполняют функцию
1) строительную
2) защитную
3) каталитическую
4) двигательную
7. Источником углерода, используемого растениями в процессе фотосинтеза,
служит молекула
1) угольной кислоты
2) углеводорода
3) полисахарида
4) углекислого газа
8. У собак черная шерсть (А) доминирует над коричневой (а), а коротконогость
(В) – над нормальной длиной ног (b). Выберите генотип черной коротконогой
собаки, гетерозиготной только по признаку окраски шерсти.
1) AaBb
2) aabb
3) ААBb
4) AаBB
9. Без митоза невозможен процесс
1) обмена веществ
2) роста организма
3) оплодотворения
4) кроссинговера
10. Основу роста любого многоклеточного организма составляет
1) взаимосвязь клеток
2) деление клеток
3) наличие в клетках ферментов
4) содержание в клетках витаминов
11. Мейоз отличается от митоза наличием
1) интерфазы
2) веретена деления
3) четырех фаз деления
4) двух последовательных делений
12. Каковы особенности модификационной изменчивости?
1)
проявляется у каждой особи индивидуально, так как изменяется генотип
2) носит приспособительный характер,
генотип при этом не изменяется
3) не имеет приспособительного
характера, вызвана изменением генотипа
4) подчиняется законам наследственности,
генотип при этом не изменяется
13. Процесс копирования информации гена на иРНК называется
1) трансляция
2) денатурация
3) транскрипция
4) репликация
14. Какие формы жизни занимают промежуточное положение между телами живой и неживой природы?
1) вирусы 2) бактерии 3) лишайники 4) грибы
15. К органоидам цитоплазмы не относятся
1) ядрышки и хромосомы 2) хлоропласты и лейкопласты
3) рибосомы и митохондрии 4) лизосомы и вакуоли
Уровень В.
1. Выберите три верных ответа из шести.
Форма бесполого размножения организмов – это
1) образование спор у мхов
2) партеногенез у насекомых
3) спорообразование у бактерий
4) почкование коралловых полипов
5) образование цист у амебы
6) митотическое деление одноклеточных водорослей
2. Установите соответствие
|
характеристика |
тип деления клеток |
|
1) происходит в два последовательных
деления |
А. Митоз |
3. Установите последовательность этапов жизненного цикла вируса
A. проникновение вирусной ДНК в ядро клетки
B. синтез клеткой вирусных белков и ДНК
C. присоединение вирусной ДНК к ДНК клетки
D. выход вирусных частиц из клетки
E. проникновение вирусной ДНК внутрь клетки
F. самосборка вирусных частиц в цитоплазме
клетки
Уровень С.
1) Митохондрии содержат ДНК, гены которой кодируют синтез многих белков,
необходимых для построения и функционирования этих органоидов. Подумайте, как
будут наследоваться эти гены и почему.
2) В брак вступают голубоглазая женщина-правша, отец которой был левшой, и
кареглазый мужчина-правша, мать которого была голубоглазой левшой. Составьте
схему решения задачи. Определите генотипы родителей, возможные генотипы и
фенотипы детей в этом браке. Какова вероятность рождения кареглазого
ребёнка-левши в этом браке? Гены обоих признаков не сцеплены. Голубые глаза и
леворукость - аутосомные рецессивные признаки.
3) Последовательность нуклеотидов в фрагменте цепи иРНК ГУЦАУАГЦУЦАЦ.
Определите с помощью таблицы генетического кода последовательность аминокислот,
нуклеотидов на соответствующих фрагментах цепей ДНК и подсчитайте содержание в
них нуклеотидов А, Г, Т и Ц (в процентах)

Материалы на данной страницы взяты из открытых источников либо размещены пользователем в соответствии с договором-офертой сайта. Вы можете сообщить о нарушении.