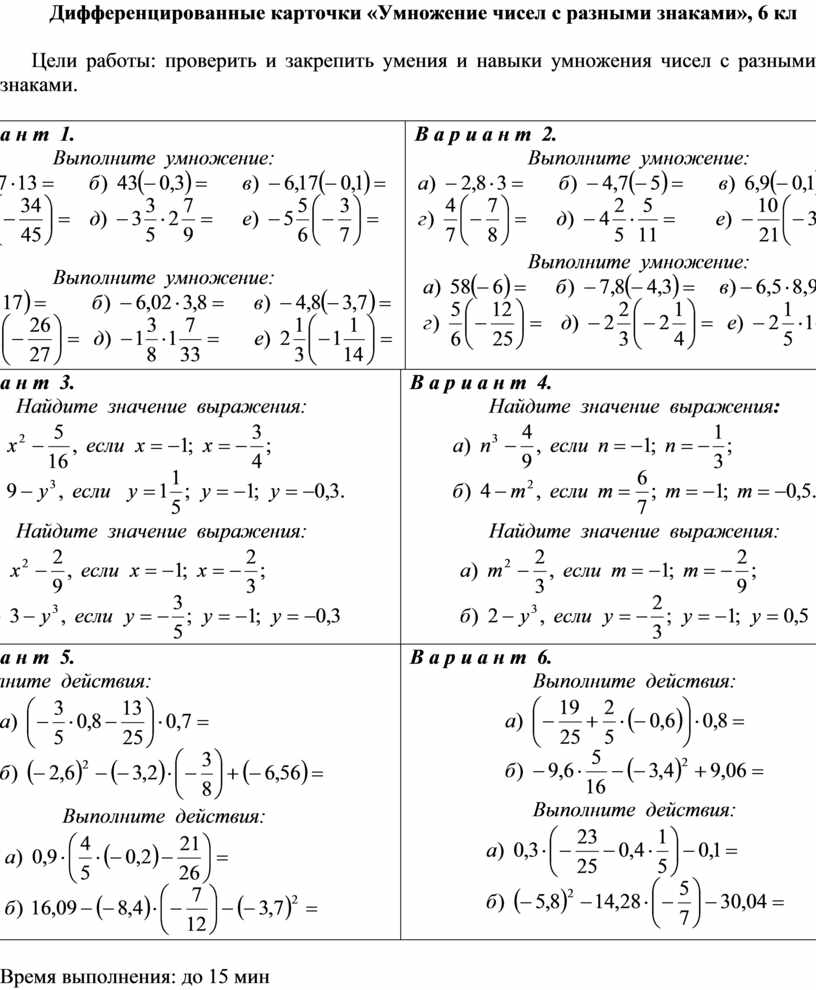
Дифференцированные карточки «Умножение чисел с разными знаками», 6 кл

  • docx
  • 11.03.2026
Публикация на сайте для учителей

Публикация педагогических разработок

Бесплатное участие. Свидетельство автора сразу.
Мгновенные 10 документов в портфолио.

Иконка файла материала Дифференцированные карточки «Умножение чисел с разными знаками», 6 кл.docx

Дифференцированные карточки «Умножение чисел с разными знаками», 6 кл

 

Цели работы: проверить и закрепить умения и навыки умножения чисел с разными знаками.

 

В а р и а н т  1.                                       

Выполните  умножение:

 Выполните  умножение:

В а р и а н т  2.                                            

Выполните  умножение:

Выполните  умножение:

В а р и а н т  3.                                              

Найдите  значение  выражения:

Найдите  значение  выражения:

В а р и а н т  4.                                             

Найдите  значение  выражения:

Найдите  значение  выражения:

 

В а р и а н т  5.                                

   Выполните  действия:

 Выполните  действия:

В а р и а н т  6.                                       

Выполните  действия:

Выполните  действия:

 

 

Время выполнения: до 15 мин


 

Скачивание материала доступно только для авторизованных пользователей.