математика

  • docx
  • 26.04.2020
Публикация на сайте для учителей

Публикация педагогических разработок

Бесплатное участие. Свидетельство автора сразу.
Мгновенные 10 документов в портфолио.

Иконка файла материала 87.docx

Технологическая карта

урока алгебры в 8 классе


«Квадратный корень из произведения, дроби и степени
при преобразовании выражений с корнем»

 

Учитель: Ашитко Е.В.

Предмет – Алгебра. Класс 8

УМК: Алгебра 8 класс: учебник для общеобразовательных учреждений. /под редакцией С. А. Теляковского.

Тема урока –  Квадратный корень из произведения, дробии и степени
при преобразовании выражений с корнем

Цели урока:

Обучающие:

систематизация знаний учащихся по данной теме;

усиление прикладной и практической направленности изученной темы;

установление внутрипредметных и метапредметных связей с другими темами курса математики;

 формировать умение применять свойства арифметического квадратного корня при решении различных упражнений.

Развивающие:

расширение кругозора учащихся,

пополнение словарного запаса;

Воспитательные:

воспитание интереса к предмету,

воспитывать чувство прекрасного.

Задачи, направленные на развитие учащихся:

В личностном направлении:

развивать логическое мышление, развивать мотивационный компонент обучающихся на основе деятельностного подхода;

развития познавательного интереса учащихся в процессе ознакомления с материалом; развития творческой и мыслительной деятельности учащихся, их интеллектуальные качества: способности к «видению» проблемы.

В метапредметном направлении:

Формировать информационную, коммуникативную и учебную компетентности учащихся, умение работать с имеющейся информацией в новой ситуации.

Научить применять полученные знания в повседневной жизни.

формировать умения чётко и ясно излагать свои мысли;

развивать пространственное воображение учащихся;

прививать учащимся навык самостоятельности в работе, учить трудолюбию, аккуратности;

воспитывать умение работать с имеющейся информацией в необычной ситуации;

воспитывать уважение к математике;

развивать интерес к математике путем создания ситуации успеха.

В предметном направлении:

активизировать познавательную деятельность учащихся;

формировать умение решать задачи; доказывать новые виды неравенств; умение применять знания на практике.

Тип урока - Урок общеметодологической направленности

Оборудование: раздаточный материал для работы самостоятельно, доска, учебник.

Основные понятия, применяемые на уроке: определение арифметического корня, свойства арифметического корня.

 

Содержание

Деятельность учителя

Деятельность ученика

УУД

Организационный момент

Приветствует учащихся,

создает эмоциональный настрой,

проверяет готовность учащихся к уроку

Запишите в тетрадях число и классная работа.

 

Приветствуют учителя, проверяют подготовку рабочих мест.

Записывают в тетрадях.

 

Коммуникативные:

планирование учебного сотрудничества с учителем и сверстниками.

Регулятивные:организация своей учебной деятельности.

Личностные:мотивация учения.

 

Целеполагание

Организует целеполагание

Побуждает к высказыванию своего мнения учащимися

Определяет с учащимися вопросы текущего урока и на перспективу.

Подводит учащихся к определению цели текущего урока

 

 

Познавательные: умение осознанно и произвольно строить речевое высказывание в устной форме.

Личностные:самоопределение.

Регулятивные:целеполагание.

Коммуникативные:умение вступать в диалог, участвовать в коллективном обсуждении вопроса.

 

Устная работа

Повторим теоретический материал

Вычислите:  а) ;                         б) ;                 в) ;

г) ;                                  д) ;                             а) ;                              б) ;                     в) ;

Решите уравнение:

1)       х2=169

2)       х2=-225

3)       х2=0

4)       х2=13

 

 

Устно решают задачи, повторяют теорию

Познавательные: умение структурировать собственные знания.

Личностные:самоопределение.

Регулятивные:контроль и оценка процесса и результатов деятельности.

Коммуникативные:умение вступать в диалог, участвовать в коллективном обсуждении ответа.

 

Закрепление умений и навыков.

1.      1. Вычислите:

а) http://doc4web.ru/uploads/files/50/50238/hello_html_4e4462a.gif

б) http://doc4web.ru/uploads/files/50/50238/hello_html_m7685e8b4.gif

в) http://doc4web.ru/uploads/files/50/50238/hello_html_m53d4ecad.gifhttp://doc4web.ru/uploads/files/50/50238/hello_html_d14a73f.gif

г) http://doc4web.ru/uploads/files/50/50238/hello_html_1a5d1182.gif

 

2. Решите уравнение:

а) http://doc4web.ru/uploads/files/50/50238/hello_html_m415b7049.gif

б) http://doc4web.ru/uploads/files/50/50238/hello_html_m52b8cbbd.gif

в) http://doc4web.ru/uploads/files/50/50238/hello_html_5827dbd1.gif

 

3. Найдите значение выражения:

а) http://doc4web.ru/uploads/files/50/50238/hello_html_743fbc55.gif

б) http://doc4web.ru/uploads/files/50/50238/hello_html_7624f520.gif

в) http://doc4web.ru/uploads/files/50/50238/hello_html_m262b8784.gif

г) http://doc4web.ru/uploads/files/50/50238/hello_html_m16b37f3f.gif

4. Укажите две последовательные десятичные дроби с одним знаком после запятой, между которыми заключено число http://doc4web.ru/uploads/files/50/50238/hello_html_47ba14c0.gif

 

Ученики выполняют упражнения. Слушают, отвечают на вопросы, делают выводы, работают вместе с учителем. Ведут записи в тетрадях. Записывают решение задачи.

Познавательные:

структурирование собственных знаний.

Коммуникативные: организовывать и планировать учебное сотрудничество с учителем и сверстниками.

Регулятивные: контроль и оценка процесса и результатов деятельности.

Личностные: оценивание усваиваемого материала

 

Проверочная работа

Тест по теме «Свойства арифметического квадратного корня»

 

Вариант 1

1.  Выберите  верное равенство              

1.     2.     3.     4.

2.   Вычислите значение выражения                                             

1. 10             2.  25              3.  5                 4.

3.   Выберите  неверное равенство

 1.     2.     3.     4.

4.   Вычислите значение выражения                              

   1. 0,09            2. -0,09             3.  0,0081           4. -0,0081

 

5.  Найдите значение выражения  

1.            2.             3.            4.

                          

 

Тест по теме «Свойства арифметического квадратного корня»

 

Вариант 2

1.  Выберите  верное равенство              

1.     2.     3.     4.

2.   Вычислите значение выражения                                             

1. 28             2.  196              3.  14                 4.

3.   Выберите  неверное равенство

 1.     2.     3.     4.

4.   Вычислите значение выражения                              

   1. 1,9            2. -1,9             3.             4.

 

5.  Найдите значение выражения  

1.            2.             3.            4.

 

Решают самостоятельную работу и оценивают ее выполнение

Регулятивные : планирование своей деятельности для решения поставленной задачи, контроль полученного результата, коррекция полученного результата, саморегуляция.

Коммуникативные:поддержание здорового духа соперничества для поддержания мотивации учебной деятельности; планирование своей деятельности.

 

Исследовательская работа в парах

1) При  каких  значениях  переменной  у  имеет  смысл  выражение ?

2) При  каких  значениях  переменной  х  имеет  смысл  выражение ?

3) При  каких  значениях  переменной  а  имеет  смысл  выражение ?

4)  При  каких  значениях  переменной  х  имеет  смысл  выражение ?

5) При  каких  значениях  переменной  у  имеет  смысл  выражение ?

 

Работают в парах, оформляют решение на листочках.

Регулятивные : планирование своей деятельности для решения поставленной задачи, контроль полученного результата, коррекция полученного результата, саморегуляция.

Коммуникативные:поддержание здорового духа соперничества для поддержания мотивации учебной деятельности; планирование своей деятельности.

 

Рефлексия

Шёл мудрец, а навстречу ему три человека, которые везли под горячим солнцем тележки с камнями для строительства храма. Мудрец остановился и задал каждому по вопросу. У первого спросил: «Что ты делал сегодня?» И тот с ухмылкой ответил, что целый день возил проклятые камни. У второго мудрец спросил: «А что ты делал сегодня?» и тот ответил: «А я добросовестно выполнял свою работу». А третий улыбнулся, его лицо засветилось радостью и удовольствием. А я принимал участие в строительстве храма.

- Ребята, кто работал так, как первый человек.

-Кто работал как второй человек.

- Кто принимал участие в строительстве храма.

 

Подводят итоги урока.Учащиеся отвечают на вопросы учителя (фронтальный опрос)

Регулятивные УУД:

- осуществлять познавательную рефлексию в отношении действий по решению учебных и познавательных задач

Личностные УУД:

- личностная рефлексия

 

Домашнее задание

Подготовиться к контрольной работе, выполнить карточку

Записывают домашнее задание

Формируются познавательные УУД

 

 

 

 

 

 

 

 

 

 

 

 

 

Приложение

 

 

1.      Устная работа

Вычислите:  а) ;                      б) ;                    в) ;

г) ;                          д) ;                 а) ;              б) ;                       в) ;

Решите уравнение:

5)      х2=169

6)      х2=-225

7)      х2=0

8)      х2=13

 

2. Фронтальная работа с классом

 

2.      Вычислите:

а) http://doc4web.ru/uploads/files/50/50238/hello_html_4e4462a.gif

б) http://doc4web.ru/uploads/files/50/50238/hello_html_m7685e8b4.gif

в) http://doc4web.ru/uploads/files/50/50238/hello_html_m53d4ecad.gifhttp://doc4web.ru/uploads/files/50/50238/hello_html_d14a73f.gif

г) http://doc4web.ru/uploads/files/50/50238/hello_html_1a5d1182.gif

 

2. Решите уравнение:

а) http://doc4web.ru/uploads/files/50/50238/hello_html_m415b7049.gif

б) http://doc4web.ru/uploads/files/50/50238/hello_html_m52b8cbbd.gif

в) http://doc4web.ru/uploads/files/50/50238/hello_html_5827dbd1.gif

 

3. Найдите значение выражения:

а) http://doc4web.ru/uploads/files/50/50238/hello_html_743fbc55.gif

б) http://doc4web.ru/uploads/files/50/50238/hello_html_7624f520.gif

в) http://doc4web.ru/uploads/files/50/50238/hello_html_m262b8784.gif

г) http://doc4web.ru/uploads/files/50/50238/hello_html_m16b37f3f.gif

4. Укажите две последовательные десятичные дроби с одним знаком после запятой, между которыми заключено число http://doc4web.ru/uploads/files/50/50238/hello_html_47ba14c0.gif

 

3. Индивидуальная работа. (тест с последующей самопроверкой)

 

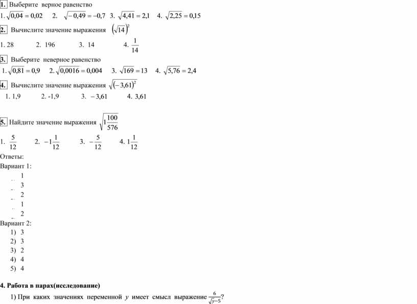
Тест по теме «Свойства арифметического квадратного корня»

 

Вариант 1

1.  Выберите  верное равенство              

1.     2.     3.     4.

2.   Вычислите значение выражения                                             

1. 10             2.  25              3.  5                 4.

3.   Выберите  неверное равенство

 1.     2.     3.     4.

4.   Вычислите значение выражения                              

   1. 0,09            2. -0,09             3.  0,0081           4. -0,0081

 

5.  Найдите значение выражения  

1.            2.             3.            4.

                          

 

Тест по теме «Свойства арифметического квадратного корня»

 

Вариант 2

1.  Выберите  верное равенство              

1.     2.     3.     4.

2.   Вычислите значение выражения                                             

1. 28             2.  196              3.  14                 4.

3.   Выберите  неверное равенство

 1.     2.     3.     4.

4.   Вычислите значение выражения                              

   1. 1,9            2. -1,9             3.             4.

 

5.  Найдите значение выражения  

1.            2.             3.            4.

Ответы:

Вариант 1:

1)      1

2)      3

3)      2

4)      1

5)      2

Вариант 2:

1)      3

2)      3

3)      2

4)      4

5)      4

 

4. Работа в парах(исследование)

1) При  каких  значениях  переменной  у  имеет  смысл  выражение ?

2) При  каких  значениях  переменной  х  имеет  смысл  выражение ?

3) При  каких  значениях  переменной  а  имеет  смысл  выражение ?

4)  При  каких  значениях  переменной  х  имеет  смысл  выражение ?

5) При  каких  значениях  переменной  у  имеет  смысл  выражение ?

 

5. Рефлексия учащихся. Шёл мудрец, а навстречу ему три человека, которые везли под горячим солнцем тележки с камнями для строительства храма. Мудрец остановился и задал каждому по вопросу. У первого спросил: «Что ты делал сегодня?» И тот с ухмылкой ответил, что целый день возил проклятые камни. У второго мудрец спросил: «А что ты делал сегодня?» и тот ответил: «А я добросовестно выполнял свою работу». А третий улыбнулся, его лицо засветилось радостью и удовольствием. А я принимал участие в строительстве храма.

- Ребята, кто работал так, как первый человек.

-Кто работал как второй человек.

- Кто принимал участие в строительстве храма.

6. Домашнее задание. Выполнить карточку


 

Скачивание материала доступно только для авторизованных пользователей.