Менеджмент: наука или искусство
Менеджмент
как наука, возникшая на базе практического опыта управления, опирается на всю
сумму знаний об управлении, накопленных человечеством, и содержит концепции,
теории, принципы, способы и формы управления. Ее основные задачи:
- объяснение природы управленческого труда;
- установление причинно-следственных связей в этой области;
- выявление факторов и условий эффективности совместного труда;
- разработка методов эффективного оперативного управления;
- прогнозирование событий, разработка методов стратегического управления и
политиками организации.
В
то же время имеются основания рассматривать менеджмент как искусство:
- организации – сложные социально-технические системы;
- люди, работающие в них, – главный фактор эффективности их
функционирования;
- практически научиться управлению можно лишь через опыт, которым в
совершенстве владеют люди, имеющие соответствующий талант;
- при принятии управленческих решений менеджер, как правило, не имеет
полного объема информации, необходимой для этого;
- никто и никогда не может гарантировать менеджеру правильность принятых
решений, которые будут реализовываться в будущем, поскольку предусмотреть это
«будущее» смертным просто не дано.
Все это делает одними из важнейших факторов менеджерского искусства умение доверять своей интуиции и смелость принятия в различных условиях решений любой сложности.

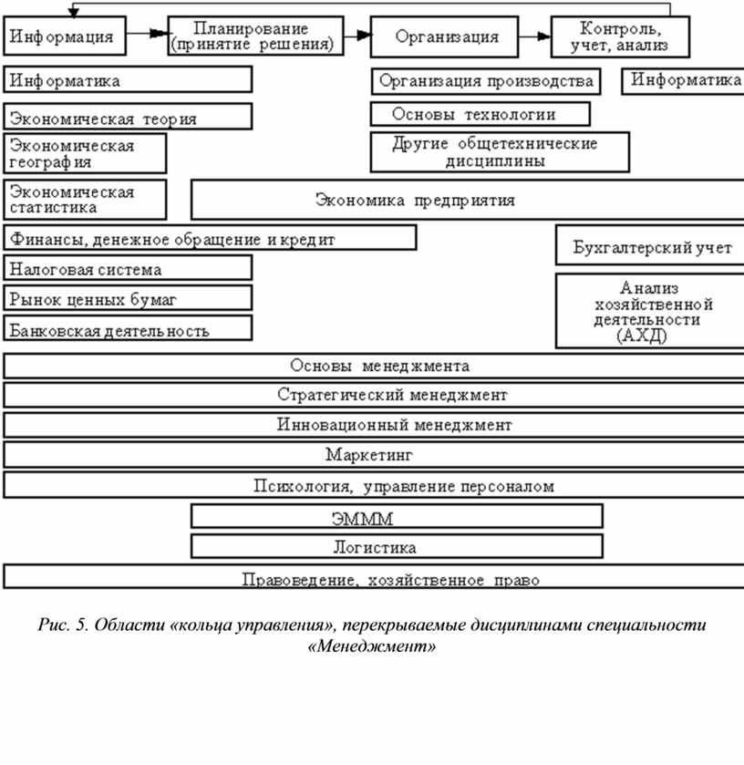
Рис. 5. Области «кольца управления», перекрываемые дисциплинами специальности «Менеджмент»
Материалы на данной страницы взяты из открытых источников либо размещены пользователем в соответствии с договором-офертой сайта. Вы можете сообщить о нарушении.