Открытый урок по ФГОС в 4 классе "At the weekend" Rainbow English

  • Разработки уроков
  • docx
  • 31.01.2018
Публикация на сайте для учителей

Публикация педагогических разработок

Бесплатное участие. Свидетельство автора сразу.
Мгновенные 10 документов в портфолио.

Подробный конспект урока по ФГОС в 4 классе "At the weekend" Rainbow English с проблемными заданиями и ответами на них. Тема содержит грамматический материал: "Past Simple"с заданиями по фонетике и переводу предложений в этом времени. На уроке используется применение продуктивного чтения и решения проблемного задания, что соответствует требованиям ФГОС, развивающего обучения.
Иконка файла материала Unit 7 At the Weekend.docx
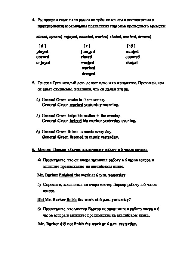
Unit 7. At the Weekend. Past Simple. класс Цель урока Планируемые  результаты  Требования к  уровню  подготовки Возможные  затруднения Пути их  преодоления Тип урока по  ФГОС 4 1.Повторение и применение глагола to be в прошедшем  времени во множественном, единственном числах, в  вопросах и ответах, в конструкции  There was…/There  were…2. Вспомнить показатели прошедшего времени и  подвести к новой теме: Past Simple. 3. Формирование умения применять прошедшее простое  время во всех типах предложения на основе проблемных  заданий. 1. формирование мотивации изучения английских  времён; 2. умение образовывать простое прошедшее время; 3. умение отличать простое настоящее и простое  прошедшее время; 4. овладение способностью принимать и сохранять цели и задачи учебной деятельности; 5. умение справляться с проблемным заданием, работая в группе; 6. контроль и самооценка своей деятельности в  соответствии с критериями.   1. правильно произносят ранее изученные лексические  единицы; 2. правильно применяют глагол to be в прошедшем  времени, учитывая показатели прошедшего времени; 3. формируют умение применять и образовывать  простое прошедшее время, правильно произносят  глаголы в прошедшем времени. 4. осваивают технологию проблемного задания на  примере нового материала; 5. подводят итоги своей деятельности на уроке. Затруднение может вызвать различия в произношении правильных глаголов в прошедшем времени При работе над проблемным заданием использовать  технологию «продуктивного чтения» Урок усвоения новых знаний на основе ранее  изученных тем.Организационный этап Приветствие, дата, день, погода, отсутствующие,   Постановка цели и  задач урока Актуализация знаний Первичное усвоение   новых знаний Первичная проверка  понимания. Информация о  домашнем задании Рефлексия подготовка к уроку­принадлежности, фонет.зарядка  (с.70 №1слова )                                         4 мин. Запись на доске, самостоятельное формулирование  цели и задач урока, проектирование и средства  достижение поставленной цели, мотивация изучения  прошедшего времени в английском языке          5 мин. 1)Работа в парах. Вопросы и ответы с конструкцией  Was there…?/ Were there…? Yes, there was. / No, there  were not. Взаимооценка. 2) Задание на употребление  конструкции There was…/ There were… .            10 мин. Работа в группе. Проблемное задание:1) на  произношение окончаний правильных глаголов в  прошедшем времени, 2) на умение составления всех  видов предложений в прошедшем времени. Построение  алгоритма по поиску решения проблемного задания.  Применение технологии продуктивного чтения.       10  мин.         Вывод правильных ответов на экран. Сличение ответов  групп с эталоном. Разбор ошибок, самооценка (заполнение листов самооценки работы в группе),  обсуждение, каких знаний/умений недостаточно, что  нужно доучить.                                         8  мин. подготовка к итоговой контрольной работе                                                                           1 мин. Какую цель ставили перед собой? Что научились  делать? Над чем ещё стоит поработать?         2 мин.Проблемное задание. 1. Распредели глаголы из рамки по трём колонкам в соответствии с  произношением окончания прошедшего времени: closed, opened, enjoyed, counted, worked, skated, washed, dressed,      [ d ]                                    [ t ]                                   [ id ] played                               jumped                             wanted 2. Генерал Грин каждый день делает одно и то же занятие. Прочитай, чем  он занят ежедневно, и напиши, что он делал вчера. 1) General Green works in the morning. ______________________________________________________. 2) General Green helps his mother in the evening. ______________________________________________________. 3) General Green listens to music every day. ______________________________________________________. 3.       Мистер  Баркер  обычно заканчивает работу в 6 часов вечера. 1) Представьте, что он вчера закончил работу в 6 часов вечера и  запишите предложение  на английском языке. _____________________________________________________  . 2) Спросите, заканчивал ли вчера мистер Баркер работу в 6 часов  вечера. _____________________________________________________. 3) Представьте, что мистер Баркер не заканчивал работу вчера в 6  часов вечера и запишите предложение на английском языке. ______________________________________________________.                         Решение проблемного задания.4. Распредели глаголы из рамки по трём колонкам в соответствии с  произношением окончания правильных глаголов прошедшего времени: closed, opened, enjoyed, counted, worked, skated, washed, dressed,      [ d ]                                    [ t ]                                   [ id ] played                               jumped                             wanted opened                              closed                                counted enjoyed                             washed                              skated                                            worked                                            dressed                   5. Генерал Грин каждый день делает одно и то же занятие. Прочитай, чем  он занят ежедневно, и напиши, что он делал вчера. 4) General Green works in the morning. General Green worked yesterday morning. 5) General Green helps his mother in the evening. General Green helped his mother yesterday evening. 6) General Green listens to music every day. General Green listened to music yesterday. 6.       Мистер  Баркер  обычно заканчивает работу в 6 часов вечера. 4) Представьте, что он вчера закончил работу в 6 часов вечера и  запишите предложение  на английском языке.            Mr. Barker finished the work at 6 p.m. yesterday 5) Спросите, заканчивал ли вчера мистер Баркер работу в 6 часов  вечера.            Did Mr. Barker finish the work at 6 p.m. yesterday? 6) Представьте, что мистер Баркер не заканчивал работу вчера в 6  часов вечера и запишите предложение на английском языке.             Mr. Barker did not finish the work at 6 p.m. yesterday.

Посмотрите также