Парадигма маятника

  • docx
  • 25.06.2020
Публикация на сайте для учителей

Публикация педагогических разработок

Бесплатное участие. Свидетельство автора сразу.
Мгновенные 10 документов в портфолио.

Иконка файла материала парадигма.docx

Тема урока: Парадигма маятника

Тип урока: первичное закрепление новых знаний.

Вид урока: урок-исследование с использованием компьютера.

Цель урока:

Физика: применить на практике знания учащихся о величинах, характеризующих колебательное движение.

Информатика: отработать практические навыки работы с приложением Microsoft Word.

Задачи урока:

  1. Развитие исследовательской, творческой и познавательной деятельности учащихся.
  2. Совершенствование умений работать с текстом, с таблицей, с редактором формул в приложении Microsoft Word.
  3. Формирование умений проводить эксперимент и устанавливать причинно – следственные связи.
  4. Развитие коммуникативных способностей учащихся.
  5. Повышение мотивации учащихся за счет интеграции с другими предметами.

Методы обучения: наглядный, исследовательский, практический.

Формы обучения: индивидуальная, групповая.

Оборудование и демонстрации:

  • Компьютер
  • Мультимедиа проектор
  • Пружинные и нитяные маятники
  • Набор грузов
  • Секундомеры, рулетки

План урока

  1. Организационный момент
  2. Проверочная работа Работа с текстом.
  3. Проверочная работа. Тест.
  4. Постановка проблемы.
  5. Практическая работа в группах по физике (исследование зависимости Т от l, k,? нахождение g, решение задач).
  6. Практическая работа в группах по информатике (работа с текстом, с таблицами, использование редактора формул).
  7. Анализ выполнения работы.
  8. Подведение итогов урока.
  9. Домашнее задание.

Презентация

Ход урока

I. Организационный момент

Слайд 1

Слайд 2

Слайд 3

II. Проверочная работа . На экране появляется текст, необходимо вставить слова в местах пропусков (фронтальная работа).

Слайд 4

Слайд 5

После проверочной работы формируются задачи урока.

Слайд 8

Учитель зачитывает вторую и третью задачи.

IV. Постановка проблемы

На столе модели нитяного и пружинного маятников. Вопрос учителя физики: ребята, как вы думаете, зависит ли период (Т) маятника от амплитуды (А)?

Учащиеся высказывают свои мнения, обосновывают их. Большинство учащихся утверждают, что Т зависит от А.

Учитель проводит эксперимент, пронаблюдав который, учащиеся убеждаются в том, что Т не зависит от А.

Слайд 9

Слайд 10

Учитель: интересно, а от чего же зависит период колебаний нитяного и пружинного маятника? Сегодня вам предстоит это узнать, проведя различные исследования. Перед началом работы. Ребята, я хочу задать вам вопрос: по вашему мнению, колеблющийся человек – это какой человек? Ответы

Много ли среди вас колеблющихся людей? Ответы

Действительно, среди нас всегда много сомневающихся, колеблющихся людей, также как и колебательных движений в природе.

Слайд 11

Хочется пожелать вам, чтобы во время работы, вы не колебались, а быстро принимали решение и отстаивали свою точку зрения.

V. Практическая работа в группах по физике.

Класс делится на группы по 2- 3 человека. (10 групп)

Каждые две группы выполняют одинаковые задания на карточках, заранее об этом не зная.

Карточка № 1(10)

Задание 1. “Исследовать зависимость периода и частоты свободных колебаний нитяного маятника от его длины”

Указания к работе

1. Установите на краю стола штатив. К кольцу штатива подвесьте шарик на длинной нити (так, чтобы он находился на расстоянии 3-5 см от пола).

2. Измерьте длину нити l.

3. Отклоните шарик на 4-5 см от положения равновесия и отпустите.

4. Измерьте время t, за которое маятник сделает n=30 полных колебаний.

5. Вычислите период и частоту колебаний.

6. Повторите опыт, уменьшив длину нити в 4 раза.

7. Обсуждение полученных результатов.

Задание 2. Работа за компьютером.

1. На рабочем столе создайте папку и назовите её по своей фамилии.

2. В папке создайте файл Microsoft Word и назовите его Маятник.

3. Создайте таблицу и запишите в неё результаты измерений и вычислений.

4. Все вычисления производим под таблицей, используя “Редактор формул” и “Калькулятор”.

№ опыта

Длина нити, l,м

Время, t, с

Кол-во колебаний, n

Период, Т, с

Частота, Гц

1

 

 

 

 

 

2

 

 

 

 

 

5. Сделайте вывод о зависимости периода и частоты колебаний маятника от длины нити.

Карточка № 2(9)

Задание 1. “Измерить ускорение свободного падения с помощью маятника в данном классе”

Указания к работе

1. Установите на краю стола штатив. У его верхнего конца укрепите при помощи муфты кольцо и подвесьте к нему шарик на нити. Шарик должен висеть на расстоянии 3-5 см от пола.

2. Отклоните маятник от положения равновесия на 5-8 см и отпустите его.

3. Измерьте длину подвеса мерной лентой.

4. Измерьте время http://xn--i1abbnckbmcl9fb.xn--p1ai/%D1%81%D1%82%D0%B0%D1%82%D1%8C%D0%B8/506296/img100.gif, за которое маятник выполняет 40 полных колебаний (N).

5. Вычислите значение периода колебаний Т по значениюhttp://xn--i1abbnckbmcl9fb.xn--p1ai/%D1%81%D1%82%D0%B0%D1%82%D1%8C%D0%B8/506296/img100.gif.

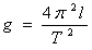
6. Вычислите значение g по формуле: http://xn--i1abbnckbmcl9fb.xn--p1ai/%D1%81%D1%82%D0%B0%D1%82%D1%8C%D0%B8/506296/img200.gif

7. Обсуждение полученных результатов.

Задание 2. Работа за компьютером.

1. На рабочем столе создайте папку и назовите её по своей фамилии.

2. В папке создайте файл Microsoft Word и назовите его Маятник.

3. Создайте таблицу и запишите в неё результаты измерений и вычислений.

4. Все вычисления производим под таблицей, используя “Редактор формул” и “Калькулятор”.

№ опыта

Длина нити, l, м

Кол-во колебаний, N

Время, img100.gif (89 bytes), с

Период, Тср , с

Ускорение св.падения, gм/с2

1

 

 

 

 

 

2

 

 

 

 

 

5. Сравните полученное среднее значение для g со значением g = 9,8 м/с2.

Карточка № 3(8)

Задание 1: Решение задач

1. Решите задачи на черновике

а) В Исаакиевском соборе в Петербурге висел маятник. Чему равен период его колебаний, если частота колебаний 2 Гц. Сколько колебаний он совершит за 1 минуту?

б) Колеблющаяся от ветра ветка каждые две секунды ударяется в оконное стекло. Найдите T и ? колебаний ветки.

в) Частота колебаний крыльев вороны в полете равна в среднем 3 Гц. Сколько взмахов крыльями сделает ворона, пролетев путь около 650 м со скоростью 13 м/с?

2. Обсуждение полученных результатов

Задание 2. Работа за компьютером.

1. На рабочем столе создайте папку и назовите её по своей фамилии.

2. В папке создайте файл Microsoft Word и назовите его Задачи.

3. Оформите решение задач, как это положено в физике. Для этого воспользуйтесь редактором формул, калькулятором, автофигурами.

4. Сделайте вывод, как зависит период колебаний от частоты.

Карточка № 4(6)

Задание 1. “Исследуйте, как зависит период Т и частота ? пружинного маятника от жесткости пружины R”

1. Произведите измерения

2. Обсуждение полученных результатов.

Задание 2. Работа за компьютером.

1. На рабочем столе создайте папку и назовите её по своей фамилии.

2. В папке создайте файл Microsoft Word и назовите его Маятник.

3. Создайте таблицу и запишите в неё результаты измерений и вычислений.

4. Все вычисления производим под таблицей, используя “Редактор формул” и “Калькулятор”.

№ опыта

Жесткость, R

Время, t, с

Частота, Гц

Период, Т, с

1

R1

30 с

 

  

2

R> R1

30 с

  

  

5. Сделайте вывод о зависимости периода и частоты пружинного маятника от жесткости пружины.

Карточка № 5(7)

Задание 1. “Исследуйте, как зависит период Т и частота ? пружинного маятника от массы груза”

1. Произведите измерения

2. Обсуждение полученных результатов.

Задание 2. Работа за компьютером.

1. На рабочем столе создайте папку и назовите её по своей фамилии.

2. В папке создайте файл Microsoft Word и назовите его Маятник.

3. Создайте таблицу и запишите в неё результаты измерений и вычислений.

4. Все вычисления производим под таблицей, используя “Редактор формул” и “Калькулятор”.

№ опыта

Масса, m, г

Время, t, с

Частота, Гц

Период, Т, с

1

100 г

30 с

 

 

2

200 г

30 с

 

 

5. Сделайте вывод о зависимости периода и частоты пружинного маятника от массы груза.

После выполнения учащимся предлагается отдохнуть.

Вооружившись секундомерами, нужно определить частоту сердечной мышцы (пульс) в спокойном состоянии и после десяти приседаний, сравнить ?.

Учитель: Ребята, хорошим считается не то сердце, частота сердечной мышцы которого резко возрастает после приседаний, а то которое быстро успокаивается.

VI. Практическая работа в группах по информатике.

Слайд 12

Учитель говорит о необходимости компьютера в жизни людей. Приводит примеры из жизни. Например: когда вы будете учиться в средних или высших учебных заведениях вам придется выполнять различные доклады, рефераты, курсовые. И выполнять их придется на компьютере по определенному стандарту. Поэтому, как пользователям, вам необходимо работать с приложением Microsoft Word.

Задание по информатике: Вам необходимо оформить выполненные работы в виде текстового документа, используя при необходимости умение, вставлять таблицу или использовать редактор формул. Задание № 2 в карточках.

VII. Анализ выполнения работы (обсуждение результатов, выводы).

Один ученик из группы рассказывает о проделанной работе и делает вывод. Группа, выполняющая такое же задание, сообщает свои результаты, вносит дополнения.

Слайд 13 - демонстрирует какие группы выполняли одинаковые задания.

Во время обсуждения карточек № 3 и № 8:

Слайд 14

Слайд 15

Слайд 16

После обсуждения Слайд 17 (образец правильного решения задач)

Во время обсуждения остальных работ Слайд 18

После выступления учащихся от каждой группы, учитель предлагает сделать одному ученику общий вывод.

Ребята, сегодня вы узнали, от каких физических величин и как зависит период (Т) нитяного и пружинного маятника.

Оказывается, есть формулы, в которых отражены эти зависимости.

Подробное знакомство с ними нам ещё предстоит.

VIII. Подведение итогов работы

На экране появляется таблица

Деятельность учащихся на уроке

№ группы

Фамилия, Имя

Дополнительные ответы

Общая оценка

1

 

 

 

 

2

 

 

 

 

 

 

3

 

 

 

 

 

 

4

 

 

 

 

5

 

 

 

 

6

 

 

 

 

 

 

7

 

 

 

 

8

 

 

 

 

9

 

 

 

 

10

 

 

 

 

В таблицу в течение урока вносились за верные ответы, дополнения и оценки по физике и информатике.

IX. Домашнее задание (урок проводился в классе с низким уровнем знаний, большим количеством пропусков и слабой подготовкой к уроку)

Ребята, наше домашнее задание сегодня для вас будет чисто символическим:

Небезызвестно, уроки наши
Проходят очень “интересно”.
Ругаемся мы, пропускаем, не учим …
Ох, как же нам это просто наскучило
Мы к вам обращаемся,
И очень вас просим
К себе обратиться с вопросами:

(на экране появляются вопросы)

  • От чего зависит частота ваших пропусков?
  • Чему равен период (Т) посещения вами уроков?
  • Когда увеличится частота подготовки домашнего задания?
  • Когда вы, подобно маятнику, прекратите отклоняться от устойчивого положения равновесия (А = 0)?

Надеемся на то, что когда вы ответите на эти вопросы, то поймёте:

Что есть много других проблем,
Новых знаний и интересны


 

Скачано с www.znanio.ru

Посмотрите также