Технологическая карта урока истории.5 класс. Возникновение земледелия и скотоводства

  • doc
  • 16.11.2025
Публикация на сайте для учителей

Публикация педагогических разработок

Бесплатное участие. Свидетельство автора сразу.
Мгновенные 10 документов в портфолио.

Иконка файла материала 5 класс ФГОС.Техкар ур Возникновения земледелия и скотоводства..doc

Технологическая карта конструирования урока открытия нового знания

5 класс

Учитель :Юмакаева Р.М.

 

Предмет

 

История

 

Класс

 

5

 

Тема урока

 

 

 

Возникновения земледелия и скотоводства

Цели урока

 

 

Образовательная получение  систематических знаний  о  причинах перехода от присваивающего к производящему хозяйству за счет расширения понятийной базы  и выявления причинно-следственных связей.

Деятельностная -  совершенствование  навыков  проектирования заданий для   решении  учебных задач, работы со схемами.

 

Задачи урока

 

 

  • Формировать  систему знаний  с помощью ключевых понятий урока.
  • Развивать  навык  работы с исторической картой
  • Вырабатывать умение получать информацию из разных источников , обрабатывать  и презентовать ее.
  • Развивать умение - составлять учебную задачу
  • Развивать   и совершенствовать  навыки  совместной деятельности в группе

 

Планируемые образовательные результаты

 

 

Предметные

 

Метапредметные

Личностные

Научиться : применять понятийный аппарат исторического знания и приемы исторического анализа для раскрытия сущности и значения событий и явлений прошлого и современности.

Получить возможность научиться: высказывать суждения о значении и месте исторического и

культурного наследия древних обществ в мировой истории.

 

 

Познавательные.

Овладение умениями работать с информацией (анализировать , обобщать факты, группировать , структурировать в схемы или  таблицы)

Коммуникативные.

Умение эффективно сотрудничать в группе.

Строить монологическое контекстное высказывание от имени группы.

Регулятивные.

Умение самостоятельно планировать пути достижения целей и эффективные способы решения задач.

 

Формирование ответственного отношения к учению.

Формирование уважительного, доброжелательного отношения к другому человеку, его мнению.

 

 

Условия реализации урока

 

Информационные ресурсы (в том числе ЦОР и Интернет)

Учебная литература

Методические ресурсы (методическая литература, стратегическая технология и тактические технологии)

Оборудование

http://www.school-collection.edu.ru – единая коллекция цифровых образовательных ресурсов

 

1. История Древнего мира: Учеб.для 5 класса общеобразовательных заведений. Вигасин А.А., Годер Г.И., Свенцицкая И.С. –М.: Просвещение, 2012

2. Годер Г. И. Рабочая тетрадь по истории Древнего мира: в 2 ч. / Г. И. Годер. — М.: Просвещение, 2011-12.

1.Арасланова О.В. История Древнего мира: поурочные разработки к учебникам А.А.Вигасина и др. — М.: ВАКО, 2008. – 284 с.  Крючкина Н.Б. 2.Дидактические игры, тесты, загадки по истории Древнего мира. Методическое пособие. – М, Творческий центр «Сфера», 2003.

3.Петрович В.Г. и др. Уроки истории в 5 классе – М.: Творческий центр, 2004

1.         Аудиоколонки колонки.

2.         Видеопроектор.

3.         Персональный компьютер.

4.         Принтер.

5.         Экран.

Основные понятия

серп, мотыга, зернотёрка, ткачество, керамика, старейшина, совет старейшин, духи, боги, молитвы, идолы.

Форма проведения урока

Работа в группах

 

Этап урока

(название, время, цели)

Деятельность

учителя

Задания для учащихся, выполнение которых приведёт к достижению запланированных результатов

Деятельность

учеников

Планируемые результаты

 

Предметные

УУД

 

I. Мотивация к учебной деятельности

 

Цели: выработка на личностном значимом уровне внутренней готовности выполнения нормативных требований учебной деятельности

 

Продолжительность:

 

 

 

 

Создает условия для возникновения внутренней потребности включения  в деятельность (хочу узнать)

 

Организует работу мини-групп (парами)

 

 

 

1.По названию параграфа предположите о каких видах деятельности первобытных людей мы будем говорить.

2.Что из курса «Окружающий мир» вы узнали о них?

3.Это первые занятия людей? Какие занятия были первыми?

 

Определите место понятий «охота и собирательство» в кластере.

 

Обсуждение и представление знаний полученных в начальной школе.

 

 

 

 

 

 

 

 

 

 

Заполнение кластера

Собирательство

 

Охота

 

Присваивающее

 

Понимание значения перехода от присваивающего хозяйства к производящему и   открытий и изобретений древнейших людей  для развития человеческого общества.

 

Усвоение понятий: серп, мотыга, зернотёрка, ткачество, керамика, старейшина, совет старейшин, духи, боги, молитвы, идолы.

Познавательные. Исследовать географию районов перивичного земледелия на исторической карте. Охарактеризовать изменения в социально-хозяйственной жизни людей с появлением земледелия и ско-товодства.

 

Коммуникативные. Работа в малых группах: по материалам параграфа составлять простые схемы. Схематически изобразить и прокомментировать управление родовой общиной и племенем.

Регулятивные.

Умение самостоятельно планировать пути достижения целей и эффективные способы решения задач.

 

 

II. Постановка учебной задачи (проблемной ситуации, проблемной задачи)

Цели:  подготовка учащихся к осознанию ими внутренней потребности к построению нового способа действий

 

Продолжительность:

 

 

Активизирует учебную деятельность учащихся для определения недостающего знания и  для постановки проблемой задачи, которую надо решить.

 

На какие вопросы мы должны ответить, что бы понять процесс перехода от охоты и собирательства к земледелию и скотоводству?

 

 

 

Обсуждение  в классе, предложенных вопросов.

 

Как ?

Почему?

Что изменилось?

 

 

 

 

 

 

III. Решение учебной задачи (проблемной задачи)

Цели: подвести учащихся к пониманию сути перехода от присваивающего хозяйства к производящему.

 

Продолжительность:

 

 

 

 

 

 

 

 

 

 

 

 

 

 

 

 

Организует презентацию подготовленных группами заданий.

Предоставляет ресурсы для работы.

Демонстрирует алгоритм работы, стимулирует поиск.

Задания для мини-групп (пары)

 

 

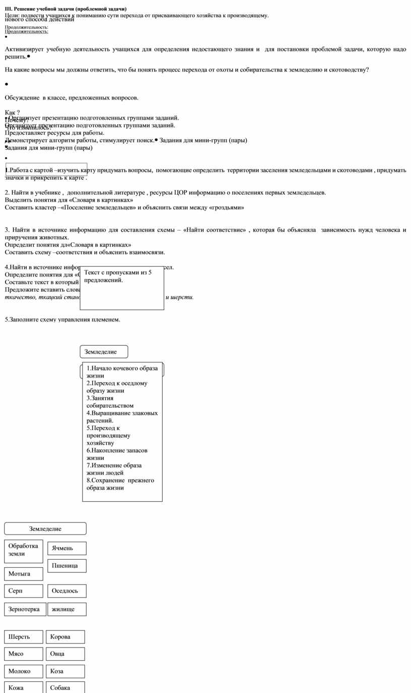
1.Работа с картой –изучить карту придумать вопросы,  помогающие определить  территории заселения земледельцами и скотоводами , придумать значки и прикрепить к карте .

 

2. Найти в учебнике ,  дополнительной литературе , ресурсы ЦОР информацию о поселениях первых земледельцев.

Выделить понятия для «Словаря в картинках»

Составить кластер –«Поселение земледельцев» и объяснить связи между «гроздьями»

 

 

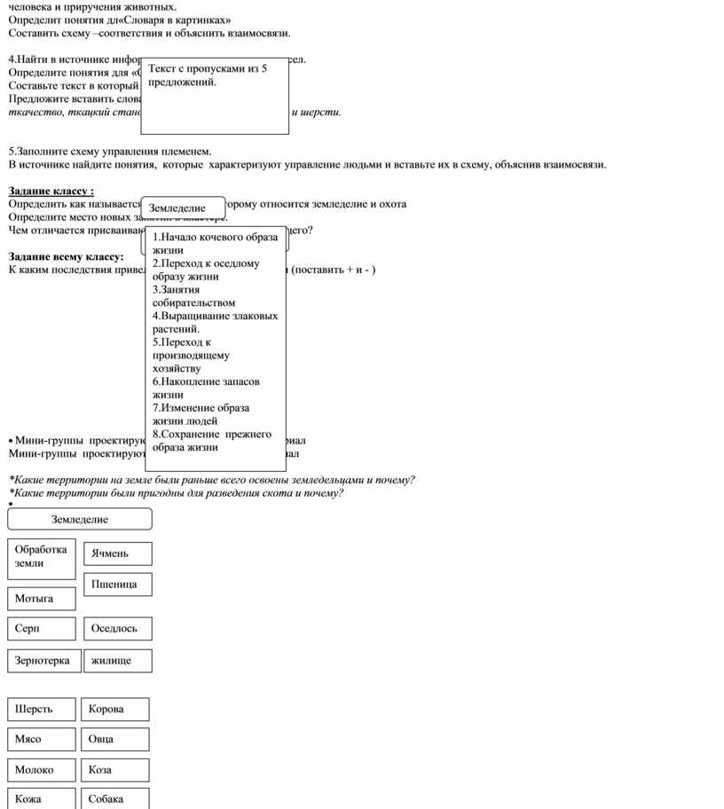
3. Найти в источнике информацию для составления схемы – «Найти соответствие» , которая бы объясняла  зависимость нужд человека и приручения животных.

Определит понятия дл«Словаря в картинках»

Составить схему –соответствия и объяснить взаимосвязи.

 

Текст с пропусками из 5 предложений.

 
4.Найти в источнике информацию о возникновении ремесел.

Определите понятия для «Словаря в рисунках»

Составьте текст в который надо вставить слова-понятия.

Предложите вставить слова в текст классу .

ткачество, ткацкий станок, прялка, одежда из полотна и шерсти.

 

 

5.Заполните схему управления племенем.

Скругленный прямоугольник: Производящее В источнике найдите понятия,  которые  характеризуют управление людьми и вставьте их в схему, объяснив взаимосвязи.

 

Задание классу :

Скругленный прямоугольник: Скотоводство Скругленный прямоугольник: Земледелие Определить как называется хозяйство , к которому относится земледелие и охота

Определите место новых занятий в кластере.

1.Начало кочевого образа жизни

2.Переход к оседлому образу жизни

3.Занятия собирательством

4.Выращивание злаковых растений.

5.Переход к производящему хозяйству

6.Накопление запасов жизни

7.Изменение образа жизни людей

8.Сохранение  прежнего образа жизни

 

 
Чем отличается присваивающее хозяйство от производящего?

 

Задание всему классу:

К каким последствия привело возникновение земледелия (поставить + и - )

 

 

 

 

 

 

 

 

 

 

 

 

 

Мини-группы  проектируют и представляют свой материал

 

*Какие территории на земле были раньше всего освоены земледельцами и почему?

*Какие территории были пригодны для разведения скота и почему?

Собака   

 

Коза  

 

Овца 

 

Корова

 

Кожа

 

Молоко

 

Мясо

 

Шерсть

 

Зернотерка 

 

Серп

 

Мотыга

 

жилище

 

Оседлось

 

Пшеница

 

Ячмень 

 

Обработка

земли

 
Скругленный прямоугольник: Земледелие

 

 

 

 

 

 

 

 

 

 

 

 

 

 

 

 

 

 

 

 

 

 

 

 

 

 

 

 

 

 

 

 

 

 

 

 

 

 

 

 

 

 

 

 

 

 

 

 

 

 

 

 

IV. Рефлексия деятельности (итог урока)

Цель: откорректировать и закрепить полученные знания и умения.

 

Продолжительность

 

 

 

 

 

 

 

 

 

 

 

 

 

 

 

 

 

 

 

 

 

Организует осмысление и корректирует приобретённые знания. Осуществляет проверку соответствия поставленных целей и результатов достигнутых на уроке.

Комментирует домашнее задание.

Познавательная рефлексия:

 

 

 

 

 

Социальная рефлексия:

 

 

Психологическая рефлексия:  

 

 

 

 

Д.З.

Обязательное :

Проект «Словарь в рисунках»

Читать Параграф 4. Творческое задание по выбору:

Нарисуйте сюжетный рисунок «Жертвоприношение идолу», или
«Первобытный  обряд захоронения » или

используя ключевые понятия составь рассказ на эти темы.

 

v          Знакомая информация

+          Новая информация

--         Я думал (думала) иначе

?          Это меня заинтересовало (удивило), хочу узнать больше

 

 

Игрушки повесить на ёлочку.

 

 

Выбери смайлик

 

 

 


Скачано с www.znanio.ru