Тест по темам «Элементарная математика»,
«Действительные числа», «Сравнение действительных чисел.»
Вариант 1
Задание 1.
Вынесите в числах множитель за знак корня, если возможно, и укажите правильный ответ.
А)
Б) В)
Г) Д)
Варианты ответов:
1)
2)
3)
|
Ответ |
А |
Б |
В |
Г |
Д |
|
|
|
|
|
|
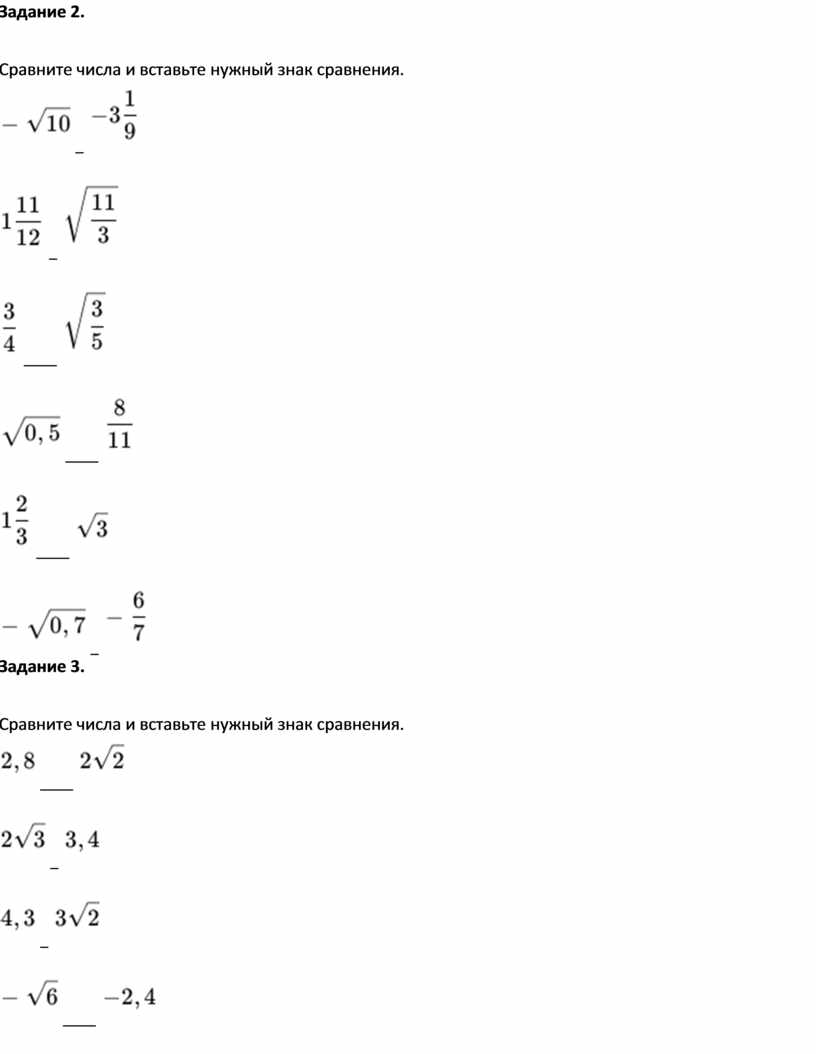
Задание 2.
Сравните числа и вставьте нужный знак сравнения.






Задание 3.
Сравните числа и вставьте нужный знак сравнения.
![]()
![]()
![]()
![]()
![]()
![]()
Задание 4.
Запишите иррациональные числа в виде десятичных дробей с точностью до десятых.
приближенно равен ___
приближенно равен ___
приближенно равен ____
Задание 5.
Запишите иррациональные числа в виде десятичных дробей с точностью до десятых.
приближенно равен ___
приближенно равен ___
приближенно равен ____
Задание 1.
|
Правильный ответ: |
А |
Б |
В |
Г |
Д |
|
1 |
2 |
3 |
|
|
Задание 2.
Правильный ответ: >, >, <, <, <, >
Задание 3.
Правильный ответ: <, >, >, <, <, >
Задание 4.
Правильный ответ: 5,2 или 5.2, 7,2 или 7.2, -8,8 или -8.8
Задание 5.
Правильный ответ: 3,5 или 3.5, 3,7 или 3.7, -3,9
или -3.9
Тест по темам «Элементарная математика»,
«Действительные числа», «Сравнение действительных чисел.»
Вариант 2
Задание 1.
Вычислите и для каждого выражения укажите правильный ответ.
Варианты ответов:
1)
2)
3)
|
Ответ |
А |
Б |
В |
Г |
Д |
|
|
|
|
|
|
Задание 2.
Сравните числа и вставьте нужный знак сравнения.
![]()
![]()
![]()
![]()
![]()
Задание 3.
Оцените значения выражений и вставьте нужный знак сравнения.
![]()
![]()
![]()
![]()
Задание 4.
Запишите иррациональные числа в виде
десятичных дробей с точностью до сотых.
приближенно равен ____
приближенно равен _____
Задание 5.
Запишите иррациональные числа в виде десятичных дробей с точностью до десятых.
приближенно равен ___
приближенно равен ____
приближенно равен ___
Задание 1.
|
Правильный ответ: |
А |
Б |
В |
Г |
Д |
|
1 |
2 |
3 |
|
|
Задание 2.
Правильный ответ: <, >, >, <, <, >
Задание 3.
Правильный ответ: <, <, >, >
Задание 4.
Правильный ответ: 2,83 или 2.83, -3,32 или -3.32
Задание 5.
Правильный ответ: 1,4 или 1.4, -1,7 или -1.7, 2,2 или 2.2
Материалы на данной страницы взяты из открытых источников либо размещены пользователем в соответствии с договором-офертой сайта. Вы можете сообщить о нарушении.