ОБЛАСТНОЕ ГОСУДАРСТВЕННОЕ БЮДЖЕТНОЕ
ПРОФЕССИОНАЛЬНОЕ ОБРАЗОВАТЕЛЬНОЕ УЧРЕЖДЕНИЕ «РОСЛАВЛЬСКИЙ МЕДИЦИНСКИЙ ТЕХНИКУМ»
|
Рассмотрено на заседании ЦМК специальности 33.02.01 Фармация Протокол №________ « _____ » ______________ 2025 г. Председатель: ________________________________ /Т.А. Вишневская/ |
|
«УТВЕРЖДАЮ» Заместитель директора по учебно-методической работе
__________________________ /С.В. Новикова/ « _____ » ______________ 2025 г.
|
Учебно-методическое пособие
по МДК 02.02 Контроль качества лекарственных средств
ТЕМА: «Стабильность как фактор качества лекарственных средств»
Разработчик: зав. отделением
специальности 33.02.01 Фармация,
преподаватель высшей
квалификационной категории
Т.А. Вишневская
Рославль
2025 г.
СОДЕРЖАНИЕ
|
Пояснительная записка…….…………………………........................................ Стабильность как фактор качества лекарственных средств……………………. Процессы, происходящие при хранении лекарственных средств……………… Срок годности лекарственных средств…………………………………………... Стабилизация лекарственных средств…………………………………………… Условия хранения лекарственных средств………………………………………. Общие требования к помещениям хранения лекарственных средств…………. Особенности хранения отдельных групп лекарственных средств…………….. Вопросы для самопроверки…………………………………………………….. Тестовые задания………………………………………………………………… Список литературы………………………………………………………………
|
3 6 7 13 15 19 20 22 29 30 41 |
Пояснительная записка
Лекарственные средства являются продукцией межотраслевого назначения и широкого потребления, от которой непосредственно зависит жизнь, здоровье и имущество населения.
В настоящее время лекарственные средства промышленного производства составляют основную часть ассортимента аптек и наблюдается тенденция их увеличения. Фармацевтический анализ лекарственных форм промышленного производства осуществляется на первом этапе в ОТК заводов-изготовителей, далее перед поступлением в аптечную сеть – в контрольно-аналитических лабораториях.
Сроки годности лекарственных средств зависят от протекающих в них физических, химических и биологических процессов. Деление это условно, поскольку в большинстве случаев химические процессы, происходящие в лекарствах, влекут за собой изменение его физических свойств, а физические процессы влекут за собой нежелательные химические реакции. В свою очередь, биологические процессы сопровождаются изменениями как химического состава, так и физических свойств лекарства.
Вопросам стабильности лекарств начали уделять внимание в те годы, когда налаживалось их первое промышленное производство. Оценка качества чаще всего осуществлялась по изменению вкуса, цвета, консистенции, образованию осадка. Лишь в последние десятилетия исследования стабильности поставлено на научную основу. Этому способствовали развитие фундаментальных исследований в области химии, биологии, физики, создание новых высокочувствительных методов анализа.
Задачей фармацевта, работающего в любой аптечной организации, является организация правильного хранения лекарственных средств с целью обеспечения стабильности исходных свойств лекарств или их изменение с минимальными потерями.
В учебно-методическом пособии излагаются общие требования к условиям хранения основных групп лекарственных средств. Представлены наиболее вероятные химические процессы, происходящие при хранении лекарственных средств. Излагаемый материал иллюстрируется примерами.
Учебно-методическое пособие предназначено для самостоятельной подготовки студентов отделения специальности 33.02.01 Фармация.
В процессе самоподготовки, теоретических и практических занятий студент должен знать:
- требования нормативно-правовой базы, регламентирующей хранение лекарственных препаратов;
- требования к устройству и эксплуатации помещений для хранения;
- правила хранения лекарственных средств в соответствии с физико-химическими свойствами, фармакологическими группами, способом применения и другими принципами хранения.
В процессе самоподготовки, теоретических и практических занятий студент должен уметь:
- понимать и осознавать последствия несоблюдения условий хранения лекарственных препаратов;
- соблюдать условия хранения лекарственных препаратов и товаров аптечного ассортимента;
- вести учет лекарственных средств в помещениях хранения;
- соблюдать порядок реализации и отпуска лекарственных препаратов населению и медицинским организациям;
- оформлять возврат лекарственных средств от потребителя.
Учебно-методическое пособие включает вопросы для самоконтроля и тестовые задания.
Перечень общих и профессиональных компетенций
|
ПК 2.3 |
Владеть обязательными видами внутриаптечного контроля лекарственных средств |
|
ПК 2.4 |
Оформлять документы первичного учета по изготовлению лекарственных препаратов |
|
ПК 2.5 |
Соблюдать правила санитарно-гигиенического режима, охраны труда, техники безопасности и противопожарной безопасности, порядок действия при чрезвычайных ситуациях |
|
ОК 01 |
Выбирать способы решения задач профессиональной деятельности применительно к различным контекстам |
|
ОК 02 |
Осуществлять поиск, анализ и интерпретацию информации, необходимой для выполнения задач профессиональной деятельности |
|
ОК 03 |
Планировать и реализовывать собственное профессиональное и личностное развитие |
|
ОК 04 |
Работать в коллективе и команде, эффективно взаимодействовать с коллегами, руководством, клиентами |
|
ОК 05 |
Осуществлять устную и письменную коммуникацию на государственном языке Российской Федерации с учетом особенностей социального и культурного контекста |
|
ОК 07 |
Содействовать сохранению окружающей среды, ресурсосбережению, эффективно действовать в чрезвычайных ситуациях |
|
ОК 09 |
Использовать информационные технологии в профессиональной деятельности |
|
ОК 10 |
Пользоваться профессиональной документацией на государственном и иностранном языках |
Стабильность как фактор
качества лекарственных средств
Стабильность лекарственного средства – это способность его сохранять физико-химические и микробиологические свойства в течение определенного времени с момента выпуска. Критерием стабильности служит сохранение качества лекарственного вещества. Снижение количественного содержания фармакологически активного вещества в лекарстве подтверждает его нестабильность. Этот процесс характеризуется константой скорости разложения лекарственного вещества. Уменьшение количественного содержания не должно сопровождаться образованием токсичных продуктов или изменением физико-химических свойств лекарственного вещества. Как правило, уменьшение количества лекарственного вещества на 10% не должно происходить в течение 3-4 лет в готовых лекарственных формах и в течение 3 месяцев в лекарствах, приготавливаемых в условиях аптеки.
Стабильность – одна из важнейших характеристик лекарственного средства. Предприятие медицинской промышленности должно гарантировать содержание терапевтической дозы лекарственного препарата в лекарственной форме в течение определенного срока. Это отражают в НТД.
Вопросам стабильности лекарств начали уделять внимание уже в те годы, когда налаживалось первое промышленное производство лекарственных средств. Однако подход к этой проблеме был чисто эмпирический. Оценка качества осуществлялась по изменению вкуса, цвета, консистенции, образованию осадка и т.д. Лишь в последние десятилетия исследование стабильности поставлено на научную основу. Этому способствовали развитие фундаментальных исследований в области химии, биологии, физики, создание новых высокочувствительных методов физико-химического анализа, успехи фармацевтической науки.
Повышение стабильности может быть достигнуто на основе исследования механизма процессов, происходящих при хранении лекарственных средств, и создания способов ингибирования этих процессов. Решение этих задач возможно лишь с помощью современных методов анализа лекарственных веществ в присутствии продуктов их разложения. Результаты исследований должны учитываться при отработке технологии получения лекарственных веществ и разработке НД.
Процессы, происходящие при хранении лекарственных средств
Процессы, происходящие при хранении лекарств (рис. 1.1), могут привести к изменению их химического состава или физических свойств (образованию осадка, изменению окраски или агрегатного состояния). Эти процессы приводят к постепенной потере фармакологической активности или к образованию примесей, изменяющих направленность фармакологического действия.

Рис.1.1 Процессы, происходящие при хранении лекарственных средств
К физическим процессам, происходящим во время хранения лекарственных средств, относятся: поглощение и потеря воды; изменение фазового состояния, например плавление, испарение или сублимация, расслаивание, укрупнение частиц дисперсной фазы и др. Так, при хранении легколетучих веществ (раствор аммиака, бромкамфора, йод, йодоформ, эфирные масла) может изменяться содержание лекарственного вещества в лекарственной форме.
Из физических факторов наибольшее влияние на стабильность лекарств оказывают температура, свет и влажность .
Особенно велика роль температурного режима на стабильность лекарственных веществ. Известно, что с повышением температуры резко возрастает скорость химических реакций. Из этого вытекает необходимость установления оптимальных температурных условий для хранения тех или иных лекарственных препаратов.
Снижение температуры оказывает различное воздействие на лекарственные вещества. Так, ампулированные растворы, содержащие 0,1% адреналина гидрохлорида, 25-40% глюкозы, 25% магния сульфата, 10% кальция хлорида, 5% эфедрина гидрохлорида, 2% новокаина, сохраняют свои качества при понижении температуры даже до –43°С. В то же время бактерийные и некоторые другие препараты разлагаются при температуре ниже 0°С, а растворы некоторых антибиотиков (эритромицина и др.) разрушаются в течение нескольких дней при температуре от 6 до 20°С.
При многократном замораживании и оттаивании водных растворов происходят процессы, называемые криолизом. Особенно чувствительны к нему крахмал, глюкоза, стрептомицин, новокаин и т.д. Под влиянием ультразвуковых колебаний ускоряются реакции окисления, деструкции и др. Из этого вытекает необходимость установления оптимальных температурных условий для хранения тех или иных лекарственных препаратов.
Свет также по-разному влияет на лекарственные вещества. Обычно воздействие света ускоряет разложение. Сухие кристаллические вещества более устойчивы к свету, чем растворы. Гигроскопичные вещества после растворения в кристаллизационной воде повышают светочувствительность. Воздействие света усиливается в присутствии катализаторов, которые активизируют химические процессы. Фотокаталитические процессы происходят в кристаллических веществах только в поверхностном слое. При хранении на свету некоторых лекарственных средств, особенно относящихся к фенолам, аминам, сульфаниламидам, происходит изменение окраски, формы кристаллов. Другие же лекарства на свету сохраняются лучше, чем в темноте. Препараты, содержащие соли железа (II), стабильны и повышают устойчивость к свету других лекарственных веществ.
Влажность воздуха – один из факторов, активно снижающих стабильность лекарств. Пониженная влажность воздуха, повышенная температура уменьшают содержание кристаллизационной воды в лекарственных веществах. Это приводит к росту концентрации препаратов, а также к изменениям физических свойств (формы кристаллов, растворимости и т.д.). Повышенная влажность воздуха влияет на физические свойства гигроскопичных лекарственных веществ. В результате могут измениться внешний вид, окраска, концентрация лекарственного вещества. Вследствие этих процессов образуются продукты разложения и снижается фармакологическая активность.
Химические процессы, происходящие при хранении лекарств, сложны и многообразны. Они тесно связаны с влиянием физических факторов (температуры, света, влажности).
Знание механизма и скорости протекания этих процессов дает возможность устранять или замедлять ход химических реакций, а следовательно, повышать стабильность лекарств. Гидролиз, реакции окисления – восстановления, декарбоксилирования, фотохимическая деструкция, изомеризация – таков далеко не полный перечень химических процессов, которые могут происходить при хранении лекарственных веществ.
Гидролиз – химический процесс, наиболее часто происходящий при хранении лекарственных веществ, производных сложных эфиров, амидов, лактонов, лактамов, имидов, уретанов и других классов химических соединений. Некоторые лекарственные вещества гидролизуются даже в кристаллическом виде, особенно при повышенной температуре и влажности воздуха. Значительно активизируется процесс гидролиза в присутствии следов солей металлов (меди, цинка, железа и др.). Ингибируют процесс гидролиза, действуя растворами соляной кислоты, буферными растворами или растворами щелочей. Выбор стабилизатора зависит от химических свойств лекарственного вещества.
Изменение рН среды является не единственным способом стабилизации лекарственных веществ в растворах. В последнее время используются ПАВ (мицеллообразование), ВМС (образование более стойких комплексных соединений) и др.
Окисление – процесс, являющийся одной из причин разложения лекарственных веществ. Некоторые из них (производные фенолов) окисляются, находясь в кристаллическом состоянии. Процесс окисления заметно активизируется при растворении. Особенно легко окисляются лекарственные вещества, проявляющие активные восстановительные свойства (альдегиды, гидразиды, производные фенотиазина и др.). Признаки окисления – изменение окраски лекарственного вещества или его раствора, появление опалесценции. Основным фактором, вызывающим окисление, является кислород, содержащийся в воздухе. Процесс окисления заметно активизируется при повышенной температуре и влажности, ультрафиолетовом облучении.
Характерными признаками окисления являются: изменение окраски лекарственных веществ или их растворов; появление опалесценции. Например, при хранении легко окисляются препараты железа (II), витамины А и С.
Лекарственные средства, разрушающиеся под влиянием света и кислорода, становятся непригодными к применению, а в некоторых случаях и опасными для здоровья. Например, обнаружено, что введение в организм адренохрома (окисленного адреналина) может быть причиной появления галлюцинаций. Поэтому раствор адреналина гидрохлорида после вскрытия флакона необходимо использовать как можно быстрее. Известно также, что продукты окисления резорцина обладают рвотным действием, а хлороформ под действием кислорода воздуха на свету легко образует токсические продукты (фосген, хлор, хлористый водород). Легко окисляются также альдегиды и производные фенотиазина.
В процессе приготовления растворов таких веществ, как аскорбиновая кислота, адреналина гидротартрат, викасол, новокаинамид, этилморфина гидрохлорид, производные фенотиазина и других веществ, содержащих карбонильные, фенольные, спиртовые, аминогруппы с подвижными атомами водорода, и при их тепловой стерилизации в присутствии кислорода происходит окисление с образованием токсичных продуктов.
Лекарственные средства могут взаимодействовать также с углекислым газом воздуха: например, оксид магния превращается в карбонат магния основной. В реакцию с СО2 вступают соли щелочных металлов и слабых органических кислот (натриевые соли сульфаниламидов, производные барбитуровой кислоты), неорганические препараты меди, цинка, железа.
Под воздействием света, температуры и при изменении рН среды возможно превращение оптически активного лекарственного вещества в его оптический изомер (реакции рацемизации). Образующиеся оптические изомеры могут обладать сниженным фармакологическим эффектом, не обладать таковым или проявлять токсичность. Например, левовращающий оптический изомер адреналина гидрохлорида в 15-20 раз активнее правовращающего.
При хранении лекарственных веществ под влиянием температуры, света и изменения рН среды протекают реакции полимеризации и поликонденсации. Например, при хранении формалина при температуре ниже 9°С образуется твердое вещество – параформ.
Биологические факторы вызывают изменения в лекарствах под влиянием жизнедеятельности микроорганизмов, что приводит к снижению стабильности лекарственного средства и инфицированию человека. Для предупреждения загрязнения используют стабилизаторы или консерванты.
В процессе приготовления лекарств в растворы могут попадать различные микроорганизмы, которые способны выделять различные продукты жизнедеятельности, вызывающие изменение в лекарственных препаратах, а также оказывать вредное влияние на организм.
Лекарства чаще всего заражаются сапрофитами, широко распространенными в окружающей среде. В отличие от патогенных микроорганизмов сапрофиты содержат многочисленные ферменты, специфически катализирующие химические реакции, которые могут обусловить изменение химического состава лекарства. Ферменты способны разлагать разнообразные вещества: белки, липиды, углеводы. Дрожжевые и нитчатые грибы разрушают алкалоиды, антипирин, гликозиды, глюкозу, различные витамины. Следует отметить, что микрофлора может погибнуть, а ферменты сохранять свою активность. Поэтому, если в результате нарушения санитарных условий в процессе хранения или приготовления лекарства возникли благоприятные условия для развития микроорганизмов, то их ферментную систему невозможно инактивировать хранения препарата в холодильнике или подсушкой. Наличие микроорганизмов в лекарстве, во-первых, является потенциальной возможностью вызвать заболевание у человека, во-вторых, отрицательно влияет на стабильность и терапевтические свойства лекарства, не исключая возможности образования токсичных продуктов.
Пирогенными веществами называют продукты жизнедеятельности и распада микроорганизмов, токсины, погибшие микробные клетки.
Химический состав пирогенов очень сложный – это ВМС с большой молекулярной массой, имеют липосахоридную или липопептидную природу. При попадании в организм они вызывают аллергические реакции, повышение температуры, озноб, цианоз, удушье, вплоть до анафилактического шока. При высоком содержании пирогенных веществ в растворах для инъекций может быть даже летальный исход. Токсичность пирогенных веществ объясняется наличием в них фосфатных группировок.
Освободиться от пирогенных веществ в воде и инъекционных растворах термической стерилизацией практически невозможно, так как это термостабильные вещества. Пирогенные вещества проходят так жен через фарфоровые бактериальные фильтры. Инъекционные растворы освобождают от пирогенных веществ использованием сорбентов (уголь активированный, целлюлоза).
Микробиологические процессы вызывают изменения в лекарствах под влиянием жизнедеятельности микроорганизмов и в большинстве случаев сопровождаются нежелательными химическими превращениями и изменением их внешнего вида.
Срок годности лекарственных средств
Срок годности – утвержденное законодательным органом на основании результатов специальных исследований, время хранения лекарственного средства, в течение которого оно сохраняет свои физико-химические, микробиологические и терапевтические свойства без изменений или в установленных для них пределах при условии соблюдения условий хранения.
Срок годности лекарственного средства зависит от протекающих в них физических, химических и биологических процессах. На эти процессы большое влияние оказывает влажность, температура, pH среды, свет, состав воздуха и другие факторы.
Срок годности лекарственных средств может резко снижаться из-за низкого качества упаковки. Например, при хранении растворов для инъекций во флаконах или ампулах из некачественного стекла.
Стекло представляет собой твердый раствор, полученный в результате охлаждения расплавленной смеси силикатов, оксидов металлов и некоторых солей. Стабильность лекарственных средств во многом зависит от химического состава и свойств тароупаковочного стекла, поскольку с момента производства лекарства и его приема больным они могут вступать в различного рода взаимодействия. Тарное стекло должно предохранять лекарство от воздействия света, температуры, влажной среды, газов микроорганизмов, обеспечить его сохранность в течение определенного срока.
При хранении растворов для инъекций в стеклянных флаконах или ампулах происходит выщелачивание – это переход из структуры стекла преимущественно оксидов щелочных и щелочноземельных металлов, в водный раствор, благодаря своей высокой подвижности по сравнению с высоким зарядом четырехвалентного кремния. Другими словами, это вымывание кремнекислого натрия и калия из стекла, что приводит к изменению рН среды и образования так называемых «блесток». Блестки чаще всего образуются в растворах, содержащих фосфаты, цитраты, тартраты и в растворах, имеющих щелочную реакцию.
Механизм взаимодействия раствора с поверхностью ампул можно представить следующим образом: на поверхности стекла всегда имеется слой, насыщенный ионами щелочных и щелочноземельных металлов. При контакте слабокислых и нейтральных растворов слой адсорбирует ионы водорода, а в раствор переходят ионы металлов, которые изменяют рН среды. Образуется гелевая пленка кремневой кислоты, толщина которой постоянно увеличивается, что затрудняет выход металлов из стекла. В связи с этим процесс выщелачивания, начавшийся быстро, постепенно затухает и прекращается примерно через 8 месяцев.
При воздействии щелочных растворов пленка не образуется, а происходит растворение поверхностного слоя стекла с разрывом связи Si – O – Si и образование группы Si – O – Na, в результате чего верхний слой стекла переходит в раствор, подвергается гидролизу и приводит к изменению рН раствора.
Под влиянием щелочности стекла соли алкалоидов и азотосодержащих оснований разлагается с уменьшением или потерей лечебного действия, или образованием токсических продуктов. Щелочность стекла может катализировать процессы окисления аскорбиновой кислоты, аминозина, эрготала, викасола и т. д. Это особенно важно учитывать в случае хранения малых доз высокоактивных лекарственных веществ, легко инактивирующихся в щелочной среде (витаминов, антибиотиков гликозидов). Кроме того, при хранении может происходить процесс выделения органических оснований из солей, ускоряется процесс окисления препаратов, содержащих фенольный гидроксил. Щелочность стекла также способствует развитию микрофлоры.
Стабилизация лекарственных средств
Срок годности может быть увеличен стабилизацией. Используют два метода стабилизации лекарств – физический и химический (рис. 1.2).

Рис. 1.2 Стабилизаторы лекарственных средств
Методы физической стабилизации, как правило, основаны на защите лекарственных веществ от неблагоприятных воздействий внешней среды. В последние годы предложен ряд физических приемов повышения стойкости лекарств в процессе их приготовления и при хранении. Например, используется сублимационная сушка термолабильных веществ. Так, водный раствор бензилпенициллина сохраняет свою активность 1-2 суток, в то время как обезвоженный препарат активен в течение 2-3 лет. Ампулирование растворов можно осуществлять в токе инертных газов. Возможно нанесение защитных покрытий на твердые гетерогенные системы (таблетки, драже, гранулы), а также микрокапсулирование.
Оптимизация состава тарного стекла является важным фактором при повышении стабильности жидких лекарственных форм.
В состав стекла входят различные оксиды: SiO2, Na2O, CaO, MgO, B2O3, Al2O3 и другие. Среди видов неорганических стекол (боросиликатные, боратные и др.) большая роль в практике принадлежит стеклам, сплавленным на основе кремнезема – силикатного стекла. Вводя его в состав определенные оксиды, получают стекла с заранее заданными химико-физическими свойствами. Наиболее простой состав имеет стекло, полученное расплавлением кварцевого песка (состоящего из 95-98% кремния диоксида) до образование стекловидной массы, используемой для изготовления кварцевой посуды, обладающей большой термической и химической стойкостью.
Однако изготовить и запаять ампулу из кварцевого стекла невозможно ввиду его высокой температуры плавления (1550-1800оС). Поэтому для понижения температуры плавления в состав стекла добавляют оксиды металлов, введения которых уменьшают его химическую устойчивость. Для повышения химической устойчивости в состав стекла вводят оксиды бора и алюминия. Немного увеличивает термическую устойчивость добавление в его состав магния оксида. Регулирование содержания бора, алюминия и оксидов магния повышает ударную плотность и снижает хрупкость стекла.
Изменяя состав компонентов и их концентрацию, можно получить стекло с заданными свойствами.
Химическую стойкость внутренней поверхности ампул можно повысить, изменив ее поверхностную структуру. При воздействии на стекло водяным паром или двуокисью серы и водяным паром при повышенной температуре на стекле образуется слой сульфата натрия, а ионы натрия в стекле частично заменяются водородными ионами. Обогащенный ионами водорода Н+ слой, имеет повышенную механическую прочность и затрудняет дальнейшую диффузию щелочных металлов. Однако такие слои имеют небольшую толщину и при длительном хранении препарата в ампуле процесс выделения щелочи может возобновиться.
Наиболее часто способ обработки поверхности ампул силиконами. Характерная особенность силикатов – их химическая нейтральность и физиологическая безвредность.
Силиконы способны покрывать стекло пленкой, в следствие чего оборотная поверхность становится гидрофобной, прочность изделия повышается. Однако имеются и отрицательные стороны: силиконовая пленка несколько понижает миграцию щелочи из стекла, но не обеспечивает достаточной защиты стекла от коррозии. При запайке стекла возможно разрушение пленки силикона, что может привести к образованию в инъекционном растворе взвеси.
Рассмотренные методы физической стабилизации не всегда эффективны. Поэтому чаще используют методы химической стабилизации, основанные на введении в лекарства особых вспомогательных веществ – стабилизаторов.
Стабилизаторы обеспечивают стабильность физико-химических, микробиологических свойств, биологической активности лекарственных средств на протяжении определенного срока их хранения. Химическая стабилизация имеет особое значение для лекарств, подвергающихся различным видам стерилизации, особенно термической.
Стабилизация химическими методами осуществляется добавлением в растворы химических веществ – антиоксидантов и консервантов.
Антиоксиданты – это вспомогательные вещества, препятствующие окислению. Их можно классифицировать на прямые и косвенные.
К прямым антиоксидантам относятся сильные восстановители, обладающие более высокой способностью к окислению, чем стабилизируемые ими лекарственные вещества: натрия сульфит, натрия метабисульфит, кислота аскорбиновая, тиомочевина, цистеин, метионин.
Например, натрия сульфитом стабилизируются растворы стрептоцида растворимого 5 и 10%. Натрия метабисульфит добавляется к раствору натрия салицилата 10% и аскорбиновой кислоты 5%.
Механизм стабилизации заключается в том, что антиоксиданты легче окисляются, чем действующие вещества, и кислород, растворенный в жидкой лекарственной форме расходуется на окисление стабилизатора, тем самым защищая препарат от окисления.
К косвенным антиоксидантам относятся вещества, которые связывают в практически недиссоциируемые соединения катионы металлов, попадающие в растворы лекарственных веществ как примеси из лекарственных препаратов и являющиеся катализаторами окислительных процессов.
Косвенные антиоксиданты являются комплексообразователями. К ним относятся: многоосновные карбоновые кислоты, оксикислоты (лимонная салициловая, виннокаменная и др.), динатриевая соль этилендиаминтетрауксусной кислоты (трилон Б) и кальциевая соль трилона Б (тетацин), унитиол, а так же аминокислоты, тиомочивина и др.
Примерами стабилизации унитолом служат растворы тиамина бромида 3 и 6% и тиамина хлорида 2,5 и 5%, для повышения устойчивости которых используется добавка унитола 0,2%. Трилоном Б стабилизируются растворы салюзида растворимого 5% и кислоты липоевой в концентрации 0,005%.
Для стабилизации легкоокисляющихся веществ предложено использовать высокомолекулярные вещества (полиглюкин, полиэтиленгликоль, пропиленгликоль и др.), в среде которых замедляются окислительные и другие реакции. Объясняется это проникновением низкомолекулярных веществ внутрь молекул высокополимера, что обуславливает уменьшение их реакционной способности.
Консерванты – это химические вещества, предохраняющие лекарственные препараты от микробной порчи в процессе их использования.
К консервантам предъявляются такие требования: фармакологическая индифферентность в используемой концентрации (отсутствие общетоксического и местнораздражающего действия); широкий антимикробный спектр, отсутствие химического взаимодействия с лекарственными веществами и другими компонентами лекарств; устойчивость при хранении; поддержание стерильности лекарственных форм в течение всего времени их применения, то есть надежная антимикробная активность.
Консервирующие вещества применяются только в крайне необходимых случаях, когда нельзя использовать стерилизацию или другие приемы для сохранения стерильности из-за сложной физико-химической структуры лекарственных препаратов или из-за невозможности создания упаковок с одноразовыми дозами. Консерванты так же применяют для сохранения стерильности при многократном использовании. Консервирующие вещества разлагаются при нагревании.
Условия хранения лекарственных средств
Требования к условиям хранения различных групп лекарственных веществ находятся в зависимости от их физико-химических свойств о воздействия различных факторов внешней среды. Они регламентируются «Инструкцией по организации хранения в аптечных учреждениях различных групп лекарственных средств и изделий медицинского назначения», утвержденной приказом МЗ РФ № 706-н от 23.08.10 г. В зависимости от физических и физико-химических свойств, а также воздействия факторов внешней среды лекарственные средства делят на группы: требующие защиты от воздействия света, влаги, улетучивания и высыхания, повышенной и пониженной температуры, воздействия газов; пахучие, красящие и дезинфицирующие средства.
Стекло как упаковочный материал индифферентен по отношению ко многим лекарственным веществам. В герметичной упаковке стекло предохраняет лекарство от воздействия содержащейся в окружающей атмосфере влаги, кислорода. Важное значение для предотвращения влияния ультрафиолетового излучения имеет цвет стекла. Бесцветное стекло прозрачно для лучей, имеющих длину волны более 300 нм, а оранжевое задерживает излучение с длиной волны до 470 нм. Поэтому оранжевое стекло в несколько раз лучше предохраняет лекарства от фотохимического разложения. При хранении растворов в стеклянных ампулах происходит выщелачивание, которое может привести к изменению рН среды.
С каждым годом расширяется использование полимеров в качестве упаковочного материала для лекарственных средств. Например, применяют такие полимеры, как полиэтилен, полипропилен, поливинилхлорид. Следует иметь в виду, что полимеры могут содержать в своем составе исходные и промежуточные продукты синтеза, катализаторы, вспомогательные вещества (стабилизаторы, наполнители, красители, пластификаторы), а также продукты окислительной деструкции, образовавшиеся в процессе производства или хранения полимеров. Природа и качество полимеров влияют на стабильность лекарств.
Требования к полимерам, применяемым в качестве упаковочных материалов для лекарственных веществ, изложены в соответствующих ГОСТах. Полимерные материалы, используемые для упаковки, должны быть непроницаемы для содержащихся во внешней среде кислорода, углекислого газа, паров воды, а также для микроорганизмов.
Общие требования к помещениям хранения
лекарственных средств
Хранение лекарственных средств должно осуществляться в предназначенных для этих целей помещениях. Устройство, состав, размеры площадей помещений для хранения, их эксплуатация и оборудование должны обеспечивать надлежащие условия хранения различных групп лекарственных средств.
Комплекс помещений для хранения должен включать:
- помещение (зону) приемки, предназначенную для распаковки и приема упаковок с лекарственными средствами и их предварительного осмотра;
- помещение (зону) для отбора проб лекарственных средств в соответствии с требованиями ОФС Отбор проб;
- помещение (зону) для карантинного хранения лекарственных средств;
- помещения для лекарственных средств, требующих особых условий
хранения;
- помещение (зону) для хранения забракованных, возвращенных, отозванных и/или лекарственных средств с истекшим сроком годности.
Указанные лекарственные средства и места их хранения должны быть четко обозначены. Зона хранения выделяется в общем помещении для хранения при отсутствии отдельного изолированного помещения.
Отделка помещений для хранения лекарственных средств должна отвечать действующим санитарно-гигиеническим требованиям, внутренние поверхности стен и потолков должны быть гладкими, допускающими возможность проведения влажной уборки.
В каждом помещении для хранения необходимо поддерживать климатический режим, соблюдая температуру и влажность воздуха, установленные фармакопейной статьей или нормативной документацией на лекарственные средства. Необходимый воздухообмен в помещениях для хранения создается с помощью кондиционеров, приточно-вытяжной вентиляции или другого оборудования. Естественное и искусственное освещение в помещениях для хранения должно обеспечивать точное и безопасное осуществление всех выполняемых в помещении операций. При необходимости должна быть обеспечена защита лекарственных средств от солнечного излучения.
Помещения для хранения лекарственных средств должны быть оснащены необходимым количеством поверенных в установленном порядке средств измерений (термометрами, гигрометрами, психрометрами и др.) для контроля и регистрации температуры и влажности, осуществляемых не реже одного раза в сутки.
В помещениях для хранения лекарственные средства размещают в соответствии с условиями хранения, указанными в фармакопейной статье или НД на лекарственные средства, с учетом их физико-химических и опасных свойств, фармакологического и токсикологического действия, вида лекарственной формы лекарственного препарата и способа его применения, агрегатного состояния лекарственного средства. При использовании компьютерных технологий допускается размещение лекарственных средств по алфавитному принципу, по кодам.
При создании условий хранения отдельно взятого лекарственного средства необходимо руководствоваться требованиями, указанными в ФС или другой НД на это лекарственное средство, установленными производителем (разработчиком) лекарственного средства на основании результатов исследования стабильности в соответствии с ОФС Стабильность и сроки годности лекарственных средств.
Хранение лекарственных средств осуществляется в упаковке (потребительской, групповой), соответствующей требованиям нормативной документации на это лекарственное средство.
Хранение лекарственных средств осуществляется при относительной влажности 60±5% в зависимости от соответствующей климатической зоны (I, II, III, IVА, IVБ), если специальные условия хранения не указаны в НД.
Особенности хранения отдельных групп лекарственных средств
Согласно ОФС.1.1.0010.18 Хранение лекарственных средств выделяют следующие группы лекарственных средств:
1. Опасные (огнеопасные, взрывоопасные, радиофармацевтические, едкие, коррозионные, газы сжатые и сжиженные и др.) следует хранить в специально устроенных помещениях, оборудованных дополнительными средствами безопасности и охраны. При хранении необходимо обеспечить сохранность и заявленное качество лекарственных средств, предотвратить возможность проявления лекарственными средствами опасных свойств и создать безопасные условия труда сотрудников, осуществляющих работу с такими лекарственными средствами. При устройстве помещений и организации хранения опасных лекарственных средств необходимо руководствоваться требованиями федеральных законов и нормативных правовых актов Российской Федерации.
2. Хранение наркотических и психотропных лекарственных средств должно осуществляться в соответствии с федеральными законами и нормативными правовыми актами Российской Федерации.
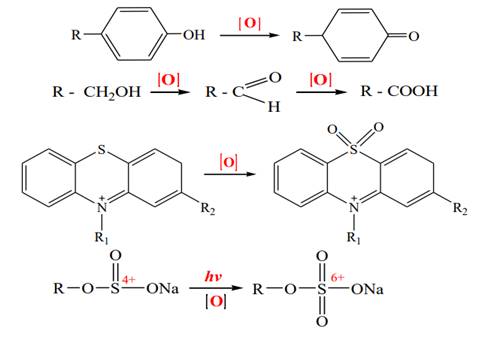
3. Фото- или светочувствительные лекарственные средства – средства, которые под действием световой энергии могут изменять свои свойства (окисляться, восстанавливаться, разлагаться, изменять свой цвет и т.п.). Окисление фоточувствительных лекарственных средств из разных групп органических соединений (фенолы, серосодержащие соединения и др.) происходит по следующим схемам:

Лекарственные средства, устойчивые к действию света, –фотостабильными. Влияние световой энергии может проявляться в воздействии прямых солнечных лучей, рассеянного света видимой области светового спектра и излучения ультрафиолетовой области. Маркировка светочувствительных лекарственных средств содержит указание: «Хранить в защищенном от света месте».
Требования к хранению:
- упаковка из светозащитных материалов;
- темное помещение или шкаф;
- светозащитная вторичная (потребительская) упаковка.
4. Влагочувствительные лекарственные средства – средства, которые при контакте с водой, влагой могут выделять газы и т.п. Схемы гидролиза органических соединений представлены ниже:
- гидролиз эфиров:

- гидролиз амидов:

- гидролиз имидов:

Маркировка содержит указание: «Хранить в сухом месте». Требования к хранению:
- относительная влажность воздуха не должна превышать 50% при комнатной температуре;
- воздухонепроницаемая (влагонепроницаемая) потребительская упаковка, обеспечивающая указанную защиту;
- использование осушающих веществ при условии исключения прямого контакта с лекарственным средством.
5. Лекарственные средства с гигроскопическими свойствами необходимо хранить:
- при относительной влажности не более 50%;
- в упаковке, представляющей собой герметично укупоренную стеклянную тару;
- в упаковке с дополнительной защитой (в мешке из полиэтиленовой пленки).
6. Лекарственные средства, изменяющие свои свойства под влиянием газов атмосферного воздуха (О2, СО2). Требования к хранению:
- герметичная упаковка из материалов, не проницаемых для газов;
- заполнение упаковки доверху и герметичное укупоривание.

7. Летучие лекарственные средства или средства, содержащие летучий растворитель; растворы и смеси летучих веществ; средства, разлагающиеся с образованием летучих продуктов, требуют создания условий хранения, защищающих их от улетучивания и высыхания.
Необходимо хранить:
- в прохладном месте;
- в герметически укупоренной упаковке из непроницаемых для улетучивающихся веществ материалов или в первичной и вторичной (потребительской) упаковке в соответствии с требованиями, указанными в ФС или НД.
8. Лекарственные средства, представляющие собой фармацевтические субстанции, содержащие кристаллизационную воду (кристаллогидраты). Хранение кристаллогидратов рекомендуется осуществлять в герметично укупоренной упаковке в соответствии с требованиями, указанными в ФС или НД.
9. Термочувствительные лекарственные средства – средства, изменяющие свои свойства под действием температуры окружающей среды (комнатной, более высокой температуры или под действием пониженной температуры, замораживании). Под действием пониженной температуры возможно изменение фазового состояния лекарственного средства (40% формальдегид, ледяная уксусная кислота), реакции полимеризации:

Требования к хранению:
- необходимо обеспечить температурный режим, регламентированный требованиями ФС или НД, указанный на первичной и/или вторичной (потребительской) упаковке;
- использование специально оборудованных помещениях (холодильных камерах) или помещениях, оснащенных достаточным количеством холодильных шкафов, холодильников, а также фармацевтических холодильников или холодильников для крови и ее препаратов (допускается хранение в объемах «балк-контейнер» и «паллета» в промышленных холодильниках).
Надлежащее качество иммунологических лекарственных средств, безопасность и эффективность их применения обеспечивается системой «холодовой цепи», которая должна выполняться на всех четырех уровнях. В холодильниках (камерах, шкафах) должна быть установлена температура, соответствующая температурному режиму хранения находящихся в них лекарственных средств. Хранение иммунологических препаратов должно осуществляться при температуре не выше 8°С. Не допускается совместное хранение в холодильнике иммунологических лекарственных препаратов с другими лекарственными средствами. Для мониторинга температурного режима все холодильники должны быть обеспечены термометрами.
Непрерывный контроль температурного режима осуществляют с помощью термографов и терморегистраторов, показания которых, в случае иммунологических лекарственных препаратов, регистрируют не реже 2-х раз в сутки (табл. 1).
Таблица 1. Режимы хранения и температурные интервалы
|
Режим хранения |
Температура |
Примечание |
|
В холодном месте |
от 2 до 8 °C |
Не допускается замораживание |
|
В прохладном месте |
от 8 до 15 °C |
Возможно хранение в холодильнике, за исключением лекарственных средств, изменяющих свои физико-химические свойства – настойки, жидкие экстракты |
|
При комнатной температуре |
от 15 до 25 °C |
Допускается хранение до 30 °C |
|
В морозильной камере |
от - 5 до - 18 °C |
- |
|
В условиях глубокого замораживания |
ниже - 18 °C |
- |
Лекарственные средства размещают в зонах и на полках холодильника, соответствующих их температурному режиму хранения. Не допускается хранение иммунобиологических лекарственных препаратов на дверной панели холодильника.
Не допускается подвергать замораживанию лекарственного средства, имеющие соответствующие требования в ФС или НД и указанные на первичной или вторичной упаковке (препараты инсулина, адсорбированные иммунологические препараты и др.).
Не допускается подвергать замораживанию лекарственные средства, помещенные в упаковку, способную разрушаться при замораживании (лекарственные препараты в ампулах, стеклянных флаконах и др.).
Используемые в ГФ определения, характеризующие температурные режимы хранения лекарственных средств, приведены в табл. 2.
Таблица 2. Режимы хранения лекарственных средств
|
Режим хранения |
Условия хранения |
|
Хранить при температуре не выше 30 °C |
от 2 до 30 °C |
|
Хранить при температуре не выше 25 °C |
от 2 до 25 °C |
|
Хранить при температуре не выше 15 °C |
от 2 до 15 °C |
|
Хранить при температуре не выше 8 °C |
от 2 до 8 °C |
|
Хранить при температуре не ниже 8 °C |
от 8 до 25 °C |
|
Хранить при контролируемой комнатной температуре |
от 15 до 25 °C |
|
Хранить в прохладном месте |
от 8 до 15 °C |
|
Хранить в холодильнике, в холодном месте |
от 2 до 8 °C |
|
Хранить в морозильной камере |
от –5 до –18 °C |
|
Хранить при глубоком замораживании |
от –18 °C и ниже |
|
Не требует специальных условий хранения (в обычных условиях) |
от 15 до 25 °C без требований к свето- и влагозащитной упаковке, хорошо проветриваемом месте |
|
Не замораживать |
Не ниже +2 °C, если иное не указано в фармакопейной статье |
Необходимо обеспечить соблюдение условий хранения лекарственных средств и сохранения их целостности при транспортировании. Для лекарственных средств, особо чувствительных к изменению температурного режима (вакцины, сыворотки и другие иммунологические лекарственные препараты и др.) при транспортировании должен соблюдаться регламентируемый ФС или НД температурный режим.
Вопросы для самопроверки
1. Перечислите физические и химические процессы, происходящие при хранении лекарственных средств.
2. Какие нормативные документы определяют условия хранения различных групп лекарственных средств в зависимости от их свойств и природы воздействующих факторов?
3. Как классифицируют лекарственные препараты в зависимости от физических, физико-химических свойств, воздействия на них различных факторов внешней среды?
4. Перечислите принципы хранения лекарственных средств.
5. Каковы особенности хранения лекарственных средств, требующих защиты от воздействия влаги?
6. Какие лекарственные препараты требуют защиты от улетучивания?
7. Каковы требования к помещениям хранения лекарственных средств?
8. Как влияет температура воздуха на качество лекарственных средств?
9. Каковы особенности хранения иммунологических препаратов?
10. Перечислите условия хранения для каждой группы лекарственных средств.
Тестовые задания
1. ОБЩЕЙ ПРИЧИНОЙ ИЗМЕНЕНИЯ ВНЕШНЕГО ВИДА ПРИ НЕСОБЛЮДЕНИИ УСЛОВИЙ ХРАНЕНИЯ ЛЕКАРСТВЕННЫХ ВЕЩЕСТВ: НАТРИЯ ТИОСУЛЬФАТА, МАГНИЯ СУЛЬФАТА, МЕДИ СУЛЬФАТА, НАТРИЯ ТЕТРАБОРАТА ЯВЛЯЕТСЯ
1) окисление
2) выветривание кристаллизационной воды
3) восстановление
4) гигроскопичность
2. ИЗМЕНЕНИЕ ХИМИЧЕСКОГО СОСТАВА И ВНЕШНЕГО ВИДА ПРИ НЕПРАВИЛЬНОМ ХРАНЕНИИ НАБЛЮДАЮТСЯ У НАТРИЯ ТЕТРАБОРАТА ПО ПРИЧИНЕ
1) выветривания кристаллизационной воды
2) восстановления
3) окисления
4) гидролиза
3. В ПРОЦЕССЕ ХРАНЕНИЯ ГЛАЗНЫХ КАПЕЛЬ СУЛЬФАЦИЛА-НАТРИЯ ПОД ДЕЙСТВИЕМ СВЕТА И КИСЛОРОДА ВОЗДУХА МОЖЕТ ПРОИСХОДИТЬ
1) появление осадка
2) сдвиг рН в кислую сторону
3) сдвиг рН в щелочную сторону
4) пожелтение раствора
4. ПРЕПАРАТОМ, ОБЛАДАЮЩИМ СПОСОБНОСТЬЮ ПОГЛОЩАТЬ НА ВОЗДУХЕ УГЛЕКИСЛЫЙ ГАЗ, ЯВЛЯЕТСЯ
1) эуфиллин
2) кофеин
3) теобромин
4) теофиллин
5. ПРИ НЕПРАВИЛЬНОМ ХРАНЕНИИ МОЖЕТ ОБРАЗОВЫВАТЬ ПРИМЕСИ КАРБОНАТОВ И ГИДРОКСИДОВ
1) натрия тиосульфат
2) магния оксид
3) калия хлорид
4) натрия нитрит
6. КИСЛОТА АЦЕТИЛСАЛИЦИЛОВАЯ ПРИ ХРАНЕНИИ В ПЕРВУЮ ОЧЕРЕДЬ МОЖЕТ ПОДВЕРГНУТЬСЯ
1) окислению
2) гидролизу
3) солеобразованию
4) комплексообразованию
7. ПРИ УДАРЕ ИЛИ НАГРЕВАНИИ ДО 80 °С ВЗРЫВАЕТСЯ
1) нитроглицерин
2) левомицетин
3) спирт этиловый
4) кордиамин
8. ПРИ ПОВЫШЕННОЙ ВЛАЖНОСТИ ВЕЛИКА ВЕРОЯТНОСТЬ ГИДРОЛИЗА ДЛЯ ЛЕКАРСТВЕННЫХ ВЕЩЕСТВ, ИМЕЮЩИХ В СТРУКТУРЕ
1) фенольный гидроксил
2) ароматическую аминогруппу
3) сложноэфирную группу
4) спиртовый гидроксил
9. УПАКОВКА ГИГРОСКОПИЧНЫХ ЛЕКАРСТВЕННЫХ СРЕДСТВ ДОЛЖНА БЫТЬ ИЗ
1) светозащитных материалов
2) материалов не проницаемых для паров воды
3) плотного картона
4) пергаментной бумаги
10. КРИСТАЛЛОГИДРАТЫ РЕКОМЕНДУЕТСЯ ХРАНИТЬ ПРИ ОТНОСИТЕЛЬНОЙ ВЛАЖНОСТИ ВОЗДУХА НЕ БОЛЕЕ
1) 40%
2) 60%
3) 50%
4) 55%
11. К ГИГРОСКОПИЧНЫМ ЛЕКАРСТВЕННЫМ СРЕДСТВАМ ОТНОСИТСЯ
1) серебра нитрат
2) калия перманганат
3) натрия хлорид
4) борная кислота
12. ИЗМЕНЕНИЕ ЦВЕТА ЛЕКАРСТВЕННЫХ СРЕДСТВ, СОДЕРЖАЩИХ В СВОЕМ СОСТАВЕ БРОМИДЫ, ПРИ НАРУШЕНИИ УСЛОВИЙ ХРАНЕНИЯ ОБЪЯСНЯЕТСЯ ОБРАЗОВАНИЕМ
1) броматов
2) свободного брома
3) бромистоводородной кислоты
4) бромноватой кислоты
13. ПРЕПАРАТЫ, СОДЕРЖАЩИЕ ЦИНКА ОКСИД, ХРАНЯТ В ХОРОШО УКУПОРЕННОЙ ТАРЕ, ТАК КАК ЦИНКА ОКСИД
1) окисляется кислородом воздуха
2) выветривается
3) поглощает углекислый газ из воздуха
4) темнеет на свету
14. ПРОИЗВОДНЫЕ ФЕНОТИАЗИНА ХРАНЯТ В ХОРОШО УКУПОРЕННОЙ ТАРЕ, ПРЕДОХРАНЯЯ ОТ ДЕЙСТВИЯ СВЕТА, ТАК КАК ПРИ ХРАНЕНИИ ПОДВЕРГАЮТСЯ ПРОЦЕССУ
1)окисления
2) восстановления
3) гидролиза
4) полимеризации
15. ИЗМЕНЕНИЕ ВНЕШНЕГО ВИДА ЛЕКАРСТВЕННЫХ СРЕДСТВ ПРОИЗВОДНЫХ ФЕНОЛОВ ПРИ ХРАНЕНИИ СВЯЗАНО С
1) окислением
2) гидролизом
3) дегидратацией
4) восстановлением
16. ИЗМЕНЕНИЕ ХИМИЧЕСКОГО СОСТАВА И ВНЕШНЕГО ВИДА ПРИ НЕПРАВИЛЬНОМ ХРАНЕНИИ НАБЛЮДАЮТСЯ У КИСЛОТЫ АСКОРБИНОВОЙ ПО ПРИЧИНЕ
1) окисления
2) восстановления
3) выветривания кристаллизационной воды
4) гидролиза
17. ПОД ВЛИЯНИЕМ ВЛАГИ ВОЗДУХА, ЩЕЛОЧНОСТИ СТЕКЛА ПРИ ХРАНЕНИИ ИЗОМЕРИЗУЕТСЯ ЛЕКАРСТВЕННОЕ СРЕДСТВО
1) пилокарпина гидрохлорид
2) индометацин
3) бутадион
4) дибазол
18. СО ВРЕМЕНЕМ ПРИ НЕПРАВИЛЬНОМ ХРАНЕНИИ РОЗОВОЕ ОКРАШИВАНИЕ ПРИОБЕТАЕТ
1) резорцин
2) кислота аскорбиновая
3) кислота ацетилсалициловая
4) глицин
19. ГЛЮКОЗА В ВОДНЫХ РАСТВОРАХ ПРИ ДЛИТЕЛЬНОМ ХРАНЕНИИ ПОДВЕРГАЕТСЯ
1) изомеризации
2) окислению
3) дегидрированию
4) полимеризации
20. ПОЯВЛЕНИЕ ЗАПАХА УКСУСНОЙ КИСЛОТЫ У ТАБЛЕТОК ПАРАЦЕТАМОЛА ОБЪЯСНЯЕТСЯ
1) гидролизом по амидной группе
2) окислением фенольного гидроксила
3) реакцией с углекислотой воздуха
4) окислением ароматического кольца
21. КИСЛОТУ АСКОРБИНОВУЮ ХРАНЯТ В ХОРОШО УКУПОРЕННОЙ ТАРЕ, ПРЕДОХРАНЯЯ ОТ ДЕЙСТВИЯ СВЕТА, Т.К. ПРИ ХРАНЕНИИ ОНА ПОДВЕРГАЕТСЯ ПРОЦЕССУ
1) восстановления
2) гидролиза
3) окисления
4) полимеризации
22. УПАКОВКА СВЕТОЧУВСТВИТЕЛЬНЫХ ЛЕКАРСТВЕННЫХ СРЕДСТВ ДОЛЖНА БЫТЬ ИЗ
1) светозащитных материалов
2) светлого стекла
3) прозрачных полимерных материалов
4) белой бумаги
23. ПРИ ПОНИЖЕННОЙ ВЛАЖНОСТИ ВОЗМОЖНО ИЗМЕНЕНИЕ ФИЗИКОХИМИЧЕСКИХ СВОЙСТВ
1) кристаллогидратов
2) сложных эфиров
3) альдегидов
4) фенолов
24. ПРИ ХРАНЕНИИ У СУБСТАНЦИИ БЕНЗОКАИНА ПОЯВИЛСЯ ЗАПАХ ЭТИЛОВОГО СПИРТА, ЭТО СВИДЕТЕЛЬСТВУЕТ О/ОБ
1) гидролизе по сложноэфирной группе
2) окислении первичной ароматической аминогруппы
3) реакции с углекислотой воздуха
4) окислении ароматического кольца
25. РАСТВОРЫ НАТРИЯ ТИОСУЛЬФАТА ПОД ДЕЙСТВИЕМ СВЕТА МОГУТ МУТНЕТЬ ВСЛЕДСТВИЕ ОБРАЗОВАНИЯ
1) сульфида натрия
2) сульфата натрия
3) серы
4) сульфита натрия
26. ЛЕКАРСТВЕННЫЕ СРЕДСТВА, СПОСОБНЫЕ К САМОВОЗГОРАНИЮ ИЛИ К ВОЗГОРАНИЮ ПОД ДЕЙСТВИЕМ ВНЕШНЕГО ИСТОЧНИКА ЗАЖИГАНИЯ,
ОТНОСЯТСЯ К
1) огнеопасным
2) взрывоопасным
3) взрывчатым
4) горючим
27. ИЗМЕНЕНИЕ ВНЕШНЕГО ВИДА СУЛЬФАНИЛАМИДОВ ПРИ ХРАНЕНИИ НАИБОЛЕЕ ВЕРОЯТНО СВЯЗАНО С
1) восстановлением
2) гидролизом
3) дегидратацией
4) окислением
28. ИЗМЕНЕНИЕ ХИМИЧЕСКОГО СОСТАВА И ВНЕШНЕГО ВИДА ПРИ НЕПРАВИЛЬНОМ ХРАНЕНИИ НАБЛЮДАЮТСЯ У МАГНИЯ СУЛЬФАТА ПО ПРИЧИНЕ
1) выветривания кристаллизационной воды
2) восстановления
3) окисления
4) гидролиза
29. ПРИ ХРАНЕНИИ НАТРИЯ ПАРА-АМИНОСАЛИЦИЛАТ ПРИОБРЁЛ РОЗОВЫЙ ОТТЕНОК, ЧТО МОЖЕТ БЫТЬ СВЯЗАНО С ПРОЦЕССОМ
1) окисления
2) восстановления
3) гидролиза
4) комплексообразования
30. УПАКОВКА ЛЕКАРСТВЕННЫХ СРЕДСТВ ДОЛЖНА СООТВЕТСТВОВАТЬ
1) требованиям потребителей
2) физико-химическим свойствам
3) требованиям медицинских организаций
4) требованиям организаций оптовой торговли
31. ОСОБО ЧУВСТВИТЕЛЬНЫЕ К СВЕТУ ПРЕПАРАТЫ ДОПОЛНИТЕЛЬНО
1) оклеивают черной бумагой
2) окрашивают белой краской
3) оклеивают красной бумагой
4) окрашивают желтой краской
32. С УГЛЕКИСЛОТОЙ ВОЗДУХА МОГУТ РЕАГИРОВАТЬ СОЛИ, ОБРАЗОВАННЫЕ
1) слабыми органическими кислотами и сильными минеральными основаниями
2) сильными минеральными кислотами и слабыми органическими основаниями
3) сильными органическими кислотами и сильными минеральными основаниями
4) сильными минеральными кислотами и сильными минеральными основаниями
33. РАСПЛЫВАЕТСЯ НА ВОЗДУХЕ ПРИ НЕПРАВИЛЬНОМ ХРАНЕНИИ СУБСТАНЦИЯ
1) кальция хлорида
2) меди сульфата
3) натрия йодида
4) калия бромида
34. ХРАНЕНИЕ В УСЛОВИЯХ ГЛУБОКОГО ЗАМОРАЖИВАНИЯ ПРЕДУСМАТРИВАЕТ ТЕМПЕРАТУРНЫЙ РЕЖИМ НИЖЕ
1) -150 С
2) -200 С
3) -180 С
4) -100 С
35. К ОСОБО СВЕТОЧУВСТВИТЕЛЬНЫМ ЛЕКАРСТВЕННЫМ СРЕДСТВАМ, ХРАНЯЩИМ В СТЕКЛЯННОЙ ТАРЕ, ОКЛЕЕННОЙ ЧЕРНОЙ СВЕТОНЕПРОНИЦАЕМОЙ БУМАГОЙ ОТНОСИТСЯ
1) неостигмина метилсульфат
2) рибофлавин
3) резорцин
4) калия йодид
36. УМЕНЬШЕНИЕ РАСТВОРИМОСТИ В ВОДЕ НАТРИЕВЫХ СОЛЕЙ БАРБИТУРАТОВ МОЖЕТ ПРОИСХОДИТЬ ПОД ВЛИЯНИЕМ
1) влаги и углекислоты воздуха
2) влаги воздуха и щелочности стекла
3) кислорода воздуха и света
4) влаги и кислорода воздуха
37. ИЗМЕНЕНИЕ ХИМИЧЕСКОГО СОСТАВА И ВНЕШНЕГО ВИДА ПРИ НЕПРАВИЛЬНОМ ХРАНЕНИИ НАБЛЮДАЮТСЯ У АМИНАЗИНА ПО ПРИЧИНЕ
1) восстановления
2) окисления
3) выветривания кристаллизационной воды
4) гидролиза
38. ТЕМНЕЕТ ПРИ ДЕЙСТВИИ ВОССТАНОВИТЕЛЕЙ
1) фенол
2) калия йодид
3) натрия бромид
4) серебра нитрат
39. СПОСОБНОСТЬ ПРОКАИНА ГИДРОХЛОРИДА ПОДВЕРГАТЬСЯ ГИДРОЛИЗУ ПРИ НАРУШЕНИИ УСЛОВИЙ ХРАНЕНИЯ ОБУСЛОВЛЕНА НАЛИЧИЕМ В ЕГО СТРУКТУРЕ
1) сложно-эфирной группы
2) первичной ароматической аминогруппы
3) третичного атома азота
4) алифатического радикала
40. ПРИ НЕПРАВИЛЬНОМ ХРАНЕНИИ МЕТАМИЗОЛ-НАТРИЙ ПОДВЕРЖЕН
1) окислению
2) восстановлению
3) выветриванию кристаллизационной воды
4) поглощению влаги
41. ПРИЕМОЧНЫЙ КОНТРОЛЬ ГИГРОСКОПИЧНЫХ ЛЕКАРСТВЕННЫХ СРЕДСТВ ОСУЩЕСТВЛЯЮТ В
1) обычных условиях, и лекарственные средства сразу размещают в специальные места для хранения
2) помещении с влажностью не более 50%
3) специальном помещении для хранения гигроскопичных лекарственных средств
4) транспортном средстве поставщика
42. ОРАНЖЕВОЕ СТЕКЛО ПРЕДОХРАНЯЕТ ЛЕКАРСТВЕННЫЕ СРЕДСТВА ОТ ФОТОХИМИЧЕСКОГО РАЗЛОЖЕНИЯ, ТАК КАК
1) задерживает излучение с длиной волны свыше780 нм
2) пропускает излучение с длиной волны до 470 нм
3) задерживает излучение с длиной волны до 470 нм
4) пропускает излучение с длиной волны до 780 нм
43. ПРИ НАРУШЕНИИ УСЛОВИЙ ХРАНЕНИЯ МОЖЕТ ПОЯВИТЬСЯ РЕЗКИЙ ЗАПАХ УКСУСНОЙ КИСЛОТЫ У ТАБЛЕТОК
1) кислота аскорбиновая
2) кислота ацетилсалициловая
3) кислота никотиновая
4) кислота глютаминовая
44. КАЛИЯ ПЕРМАНГАНАТ ОТНОСИТСЯ К ВЗРЫВООПАСНЫМ ЛЕКАРСТВЕННЫМ СРЕДСТВАМ, ЭТО ОБУСЛОВЛЕНО СИЛЬНЫМИ СВОЙСТВАМИ
1) окислительными
2) восстановительными
3) кислотными
4) основными
45. ПРИ КОНТАКТЕ ВИТАМИНОВ ГРУППЫ В6 С КИСЛОРОДОМ ВОЗДУХА МОЖЕТ ПРОИЗОЙТИ
1) восстановление
2) окисление
3) гидролиз
4) полимеризация
46. ИНЪЕКЦИОННЫЕ РАСТВОРЫ АСКОРБИНОВОЙ КИСЛОТЫ СТАБИЛИЗИРУЮТ, ДОБАВЛЯЯ
1) натрия гидрокарбонат и натрия метабисульфит
2) натрия гидрокарбонат и натрия хлорид
3) натрия хлорид и натрия метабисульфит
4) натрия карбонат
47. ХРАНЕНИЕ ЛЕКАРСТВЕННЫХ СРЕДСТВ ПРИ КОМНАТНОЙ ТЕМПЕРАТУРЕ ПРЕДПОЛАГАЕТ ТЕМПЕРАТУРНЫЙ РЕЖИМ
1) от +15 до +200 С
2) от +18 до +250 С
3) от +18 до +200 С
4) от +15 до +250 С
48. ИЗМЕНЕНИЕ ЦВЕТА ЛЕКАРСТВЕННЫХ СРЕДСТВ, СОДЕРЖАЩИХ В СВОЕМ СОСТАВЕ СОЛИ СЕРЕБРА, ПРИ НАРУШЕНИИ УСЛОВИЙ ХРАНЕНИЯ ОБЪЯСНЯЕТСЯ
1) восстановлением катионов серебра до металлического
2) реакцией с углекислотой воздуха
3) реакцией с кислородом воздуха
4) гигроскопичностью
49. К ЛЕТУЧИМ ЛЕКАРСТВЕННЫМ СРЕДСТВАМ ОТНОСИТСЯ
1) глицерин
2) резорцин
3) прозерин
4) раствор аммиака
50. СЛЕДУЕТ ХРАНИТЬ В ЗАПОЛНЕННОЙ ДОВЕРХУ ТАРЕ, УЧИТЫВАЯ СПОСОБНОСТЬ ЛП ПОГЛОЩАТЬ УГЛЕКИСЛЫЙ ГАЗ ИЗ ВОЗДУХА
1) теофиллин
2) аминофиллин
3) кофеин-бензоат натрия
4) ксантинола никотинат
Список литературы
1. Федеральный закон от 12.04.2010 г. № 61-ФЗ (ред. от 29.12.2015) «Об обращении лекарственных средств».
2. Приказ от 23 августа 2010 г. № 706н «Об утверждении правил хранения лекарственных средств».
3. Государственная фармакопея. Режим доступа: https://pharmacopoeia.regmed.ru
4. Азизов И.К. Современные аспекты контроля качества лекарственных средств. Фармацевтический анализ лекарственных средств в производстве. Ташкентский государственный институт, 2006.
5. Арзамасцев А.П. Анализ лекарственных смесей: учеб. пособие для студ. фарм. ин-тов и фарм. фак. мед. вузов / А.П. Арзамасцев и др. – М. : Компания Спутник, 2000.
6. Арзамасцев А.П. Фармацевтическая химия: учеб. пособие для студ. фарм. ин-тов и фарм. фак. мед. вузов – М.: Медицина, 2001.
7. Беликов В.Г. Фармацевтическая химия. В 2 частях. Часть 1. Общая фармацевтическая химия: Учеб.для фармац. ин-тов и фак. мед. ин-тов. — М.: Высш. шк., 2003.
8. Беляев В.А. Фармацевтическая химия: учебно-методическое пособие / В. А. Беляев, Н. В. Федота, Э. В. Горчаков. – Ставрополь: Издательство «АГРУС», 2013.
9. Глущенко Н. Н. Фармацевтическая химия: Учебник для студ. сред.проф. учеб. заведений/Н. Н. Глущенко, Т. В. Плетенева, В. А. Попков. Под ред. Т. В. Плетеневой. – М.: Издательский центр «Академия», 2004.
10. Краснов Е.А. Стандартизация лекарственных средств. Учебное пособие. Сибирский государственный медицинский университет – Томск, 2005.
Скачано с www.znanio.ru
Материалы на данной страницы взяты из открытых источников либо размещены пользователем в соответствии с договором-офертой сайта. Вы можете сообщить о нарушении.