Урок 2 по теме «Вычитание чисел с разными знаками», 6 класс
Цели урока: отрабатывать умение вычитать числа с одинаковыми и разными знаками; формировать навык устных вычислений; развивать у детей чувства радости, успеха в учении, внимание; воспитывать аккуратность.
Ход урока
I. Организационный момент
II. Устный счет
Вычислите:
Вариант I


Вариант II

III. Сообщение темы урока
— Сегодня на уроке мы продолжим складывать и вычитать положительные и отрицательные числа.
IV. Изучение нового материала
— Прочитайте правило нахождения длины отрезка на координатной прямой.
— Расскажите это правило соседу по парте.
V. Закрепление изученного материала
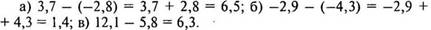
1. Найдите расстояние между точками на координатной прямой:
а) А (-2,8) и В (3,7); б) М (-4,3) и N (-2,9); в) Р (5,8) и O (12,1).
Решение:
![]()
2. № № учебника
VI. Физкультминутка
— Обратите внимание на записи на доске. Закройте глаза. (Изменить записи.)
— Что изменилось?
VII. Работа над решением задач.
№ № учебника

Решение:
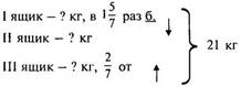
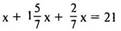
1) Пусть х (кг) — во II ящике,
(кг) — в I
ящике,
(кг) - в III
ящике.
Зная, что всего 21 кг гвоздей, составим и решим уравнение:
![]()
3х = 21
х = 7; 7 кг — во II ящике.
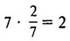
2)
(кг)
— в I ящике.
3)
(кг)
— в III ящике.
(Ответы: 12 кг, 7 кг, 2 кг.)
VIII. Повторение изученного материала
Решите уравнения (решение на обратной стороне доски, самопроверка):
![]()
IX. Подведение итогов урока
— Что называют координатами точки?
— Как найти длину отрезка на координатной прямой?
Итоги урока. Выставление оценок
Домашнее задание
Материалы на данной страницы взяты из открытых источников либо размещены пользователем в соответствии с договором-офертой сайта. Вы можете сообщить о нарушении.