Конспект урока по математике
(5‑й класс)
Тема: «Деление
обыкновенных дробей».
Тип урока: урок
открытия новых знаний.
Цель:
вывести правило деления обыкновенных дробей и сформировать умение применять его
при решении задач.
Задачи:
- образовательные:
познакомить учащихся с правилом деления обыкновенных дробей, сформировать
навык его применения;
- развивающие:
развивать логическое мышление, умение анализировать, выдвигать гипотезы и
обосновывать их, работать в группе;
- воспитательные:
воспитывать аккуратность, внимательность, уважительное отношение к мнению одноклассников.
Оборудование: доска,
раздаточные материалы.
Ход урока
1. Организационный
момент (2 мин)
- Приветствие учащихся.
- Проверка готовности
к уроку.
- Создание позитивного
настроя: «Сегодня мы отправимся в путешествие по стране Дробей. Нас ждёт
новое открытие — правило деления дробей!»
2. Мотивация
и актуализация знаний (5 мин)
Фронтальная беседа:
- Какие действия с дробями
мы уже умеем выполнять?
- Как умножить две дроби?
- Что такое взаимно обратные
дроби? Приведите пример.
Устная разминка (на доске):
- Найдите произведение:

- Назовите дробь, обратную:

- Представьте число 4 в
виде дроби со знаменателем 3.
3. Постановка
проблемы (3 мин)
Задача для размышления:
«Мам разделила
пирога
на порции по
пирога. Сколько порци получилось?»
- Можно ли решить эту задачу
известными способами? (Нет, так как это деление дробей.)
- Сформулируйте тему урока.
(«Деление обыкновенных дробей».)
- Какова цель нашего урока?
(Вывести правило деления дробей и научиться его применять.)
4. Открытие
нового знания (10 мин)
Этап 1. Исследовательская
работа (в парах)
Раздать карточки с заданиями:
- Начертите отрезок длиной
6 см. Разделите его на части по
см. Сколько
частей получилось? Запишите действие: 
- Повторите для отрезка
4 см и частей по
см: 
Обсуждение результатов:
- Что заметили? (Чтобы
разделить число на дробь, нужно умножить его на знаменатель и разделить на
числитель.)
- Проверьте гипотезу на
примере: 5
(5 ∙ 3 : 2 =
)
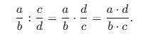
Этап 2. Вывод правила
- Сравните
и
. Что общего? (Это
одно и то же действие!)
- Сформулируйте правило:
Чтобы разделить одну дробь на другую, нужно делимое умножить на дробь, обратную
делителю.
- Запишите в общем виде:

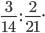
Этап 3. Первичное закрепление
Решить устно с комментированием:

5. Физкультминутка
(2 мин)
- Если дробь правильная
— хлопните в ладоши.
- Если неправильная —
топните ногой.
Примеры:

6. Первичное
закрепление (10 мин)
Работа в группах (по 3–4 человека):
Решить задания с последующей
проверкой у доски.
1)
2)
3)
4) 
Критерии оценки:
- Правильность применения
правила.
- Чёткость объяснения решения.
7. Самостоятельная
работа (5 мин)
Вариант 1:



Вариант 2:



После выполнения —
взаимопроверка по эталону на доске.
8. Рефлексия
(2 мин)
Вопросы для обсуждения:
- Какое правило мы вывели
сегодня?
- Где может пригодиться
деление дробей? (В кулинарии, строительстве, финансах.)
- Что было самым сложным?
Приём «Светофор»:
- Зелёный — всё понятно,
могу применить.
- Жёлтый — есть вопросы,
нужно повторить.
- Красный — не понял, нужна
помощь.
9. Домашнее
задание (1 мин)
- Выучить правила
- Выполнить деление
обыкновенных дробей:

- Выполнить деление
обыкновенной дроби и натурального числа:

- Творческое задание (по
желанию): составить задачу на деление дробей из
реальной жизни.