Урок 1 по теме «Сложение чисел с разными знаками», 6 класс
Цели урока: ввести правило сложения чисел с разными знаками на конкретной задаче; сформулировать правило сложения чисел с разными знаками с помощью понятия «модуль»; отрабатывать умение складывать числа с разными знаками; развивать логическое мышление; воспитывать взаимоуважение, взаимовыручку.
Ход урока
I. Организационный момент
II. Устный счет
1. Решите уравнение: —у = —7; — (—х) = 6; — у = 10; — (—х) = —12.
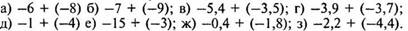
2. Найдите значение выражения:
![]()
3. Трое мальчишек собирали грецкие орехи. Двое собрали поровну, а третий на 20 орехов больше каждого из них. Сколько орехов собрал каждый из мальчиков, если всего у них оказалось 110 орехов? (Два мальчика — по 30 орехов, один — 50.)
III. Индивидуальная работа
1 карточка
Найдите значение выражения:

2 карточка
Найдите значение выражения:

IV. Сообщение темы урока
— Сегодня на уроке мы познакомимся с правилом сложения чисел с разными знаками с помощью понятия «модуль». Будем учить складывать числа с разными знаками.
V. Изучение нового материала
1. Подготовительная работа.
— Найдите сумму двух чисел с помощью координатной прямой: —4 и 7; 5 и —8.
— Каким числом выражается результат сложения? (В первом случае положительным числом, во втором отрицательным.)
2. Работа с учебником.
— Разберите объяснение правила сложения чисел с разными знаками на конкретной задаче в учебнике.
— Прочитайте правило сложения чисел с разными знаками в учебнике.
VI. Закрепление изученного материала
1. № учебника.
2. № № учебника (на доске и в тетрадях).
— Обычно сначала определяют и записывают знак суммы, а потом находят разность модулей.
Образец записи решения:
а) 26 + (—6) = + (26 — 6) = +20 = 20.
Можно короче: 26 + (—6) = 26 — 6 = 20;
б) -70 + 50 = — (70 — 50) = —20.
(Ответ:
)
VII. Работа над задачей
№ учебника (после разбора самостоятельно, один ученик решает на обратной стороне доски, самопроверка).
— Что известно в задаче? Что надо узнать?
— Расскажите план решения задачи.
— Зная, что все яблоки поместили в 4 контейнера по 135 кг в каждом, можно найти, сколько всего яблок. Надо 135 умножить на 4.
— Зная, что фермер собрал 280 кг, а младший сын в 4 раза меньше, можно найти, сколько килограммов яблок собрал младший сын. Надо 280 разделить на 4.
— Зная, сколько килограммов яблок собрал отец и сколько младший сын, можно найти, сколько они собрали вместе. Надо сложить яблоки, собранные отцом и младшим сыном.
— Зная, сколько всего собрано яблок, и зная, сколько собрал отец и сколько младший сын вместе, можно найти, сколько собрал старший сын. Надо из общей массы яблок вычесть, сколько собрали отец и младший сын вместе.
— Запишите решение самостоятельно.
Решение:
1) 135 · 4 = 540 (кг) — яблок всего.
2) 280 : 4 = 70 (кг) — собрал младший сын.
3) 280 + 70 = 350 (кг) — собрали отец и младший сын вместе.
4) 540 — 350 = 190 (кг) — собрал старший сын.
(Ответ: 190 кг.)
VIII. Психофизиологическая пауза
— Человек обладает положительными и отрицательными качествами. Распределите эти качества на координатной прямой.
— К чему должен стремиться человек? Какими качествами, которых у вас нет, вы бы хотели обладать?
IX. Повторение изученного материала
№ учебника, самопроверка.
(Ответ: ![]()
)
X. Подведение итогов урока
— Какие числа называются отрицательными? Приведите примеры.
— Где впервые появились отрицательные числа? (В Индии.)
— А как звали математика, который открыл эти отрицательные числа? (Брахмагупта.)
— Сформулируйте правило сложения положительных и отрицательных чисел?
Итоги урока. Выставление оценок
Домашнее задание
Материалы на данной страницы взяты из открытых источников либо размещены пользователем в соответствии с договором-офертой сайта. Вы можете сообщить о нарушении.