Урок-закрепление по теме «Коэффициент», 6 класс
Цели урока: отрабатывать умение использовать понятие коэффициента для упрощения выражений; развивать умение самостоятельно работать, вычислительные навыки; воспитывать умение оценивать свой труд.
Ход урока
I. Организационный момент
II. Устный счет
1. Назовите коэффициент выражения:
![]()
2. Решите уравнения:
![]()
3. Упростите выражение:

4. Во время прогулки по лесу мы через каждые 10 м встречали надсечки на деревьях. Какой путь мы прошли от первой надсечки до последней, если насчитали всего 20 надсечек? (Прошли 19 · 10 = 190 м.)
5. В доме 100 квартир. Сколько раз на табличках с номерами квартир встречается цифра 9? (20.)
III. Индивидуальная работа
1 карточка

2 карточка

IV. Сообщение темы урока
— Среди этого набора букв спряталось слово, которое поможет нам сформулировать тему сегодняшнего урока.
валордлэшшдмсьидкоэффиииентш
лрвджрдждозошавмдрзошсддмждыо
V. Закрепление изученного материала
1. № № учебника (самостоятельно, устная проверка).
— Что называют числовым коэффициентом выражения?
— Упростите выражение.
— Назовите числовой коэффициент.
(Ответы: ![]()
)
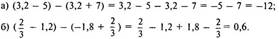
2. № № учебника (один ученик решает на обратной стороне доски, взаимопроверка).
(Ответы: ![]()
)
VI. Физкультминутка
VII. Работа над задачей
№ № учебника (с комментированием).
— Прочитайте задачу.
— Расскажите, что такое граф.
Решение:
Из условия 5) и 3) следует, что Марина говорит по-испански. Из условия 1) следует, что Марина играет на гитаре.
Из условия 2) следует, что Лариса играет на пианино и говорит по-немецки.
Из 5) следует, что Жанна говорит по-французски и играет на виолончели.
Для Кати остался один вариант: она говорит по-английски и играет на скрипке.
VIII. Повторение изученного материала
1. № № учебника (устная работа).
(Ответ: б) среди множителей есть ноль, следовательно, произведение равно 0; г) —4 · (—5) · 4 · 5 = 400.)
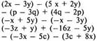
2. Раскройте скобки (на доске и в тетрадях с подробным комментированием):
![]()
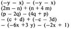
3. № 1269 стр. 223 (самостоятельно).
— Какое правило раскрытия скобок нужно применить в данном случае?
— Чему равна сумма противоположных чисел?
Решение:
![]()
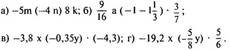
IX. Самостоятельная работа (10 мин)
Вариант I
1. Упростите выражение и подчеркните коэффициент:

2. Решите уравнение:
![]()
Вариант II
1. Упростите выражение и подчеркните коэффициент:

2. Решите уравнение:
![]()
X. Подведение итогов урока
— Как можно упростить произведение, в котором несколько буквенных и числовых множителей?
— Чему равен коэффициент выражения —ах, ах, abc, —abc?
Итоги урока
Выставление оценок
Домашнее задание
Материалы на данной страницы взяты из открытых источников либо размещены пользователем в соответствии с договором-офертой сайта. Вы можете сообщить о нарушении.