Вычисление бесконечных сумм

  • docx
  • 11.11.2021
Публикация на сайте для учителей

Публикация педагогических разработок

Бесплатное участие. Свидетельство автора сразу.
Мгновенные 10 документов в портфолио.

Иконка файла материала Л2-00655.docx

 Вычисление бесконечных сумм

Задание: составить блок-схему алгоритма и программу вычисления суммы n членов ряда согласно условию задачи.

 

вар.

Сумма S

1

x        x 2

1 +       +            + ...

1!        2 !

2

cos( x ) + cos( 2 x ) + cos( 3 x ) + ...

2                   3

3

x 3            x 5

x -          +            - ...

3 !        5 !

4

sin( x ) - sin(  2 x ) +  sin(  3 x ) - ...

2                    3

5

cos( x ) +  cos(  3 x ) +  cos(  5 x ) + ...

9                   25

 

6

cos( π )         cos( 2 π )

1 +             4    x +                 4    x 2 + ...

1!                       2 !


вар.

Сумма S

7

x 2               x 4

-             +              -   ...

2 !          4 !

8

x sin(  π ) + x 2 sin     2 ( π ) + ...

4                              4

9

x 5        x9        x13

x +      +      +      ...

5!     9!    13!

10

1 + cos(x) + cos(2x) + ...

1!             2!

11

3x2  5x 4

1 +      +       + ...

1!     2!

 

12

x cos(π )      x 2 cos(2 π )

 +                3 + ...

1                   2

13

x - 1     1 æ x - 1 ö3         1 æ x - 1 ö5

+    ç         ÷ +    ç         ÷ + ...

x + 1    3 è x + 1ø     5 è x + 1 ø

14

- cos(x) + cos(2x) - cos(3x) + ...

4               9

15

x 3 - x5 + x7  -

...

3     15    35

16

sin( x) + sin(3x) + sin(5x) + ...

3              5

17

x 2       x 4

1 +     +      + ...

2!    4!

18

cos(2x) + cos(4x) + cos(6x) + ...

3              15             35

19

2x    (2x )2

1 +      +           + ...

1!       2!

20

2 æ x ö     5 æ x ö2            10 æ x ö3

1 +    ç   ÷ +     ç    ÷ + +     ç   ÷ ...

1! è 2 ø     2! è 2 ø         3! è 2 ø

 

21

x 3           x 5            x 7

x -      +       -       + ...

3      5       7

22

1 - 3 x 2 + 5 x 4 - 10 x 6 + ...

2!        4!         6!

23

- (2x)2 + (2x )4 - (2x)6 +

                                    

...

2!        4!          6!

24

-           2          (x + 1) 4     (x + 1)6

             

( x + 1) +              -              + ...

2              3


вар.

Сумма S

25

x3      x 5        x 7

x -    +      +      + ...

3!   5!     7!

 

26

x sin( π )      x 2 sin( 2 π )

 +               3 + ...

1                  2

 

27

sin( π )      sin(2 π )

1 +        4 x +          4 x 2 + ...

1!              2!

28

x cos(π ) + x 2 cos 2(π ) + ...

4                   4

29

1 æ    ö2          1 æ  ö4

ç         ÷ +    ç         ÷ + ... 2 è x + 1ø     4 è x + 1ø

30

sin( x) + sin(3x3 ) + sin(5x5 ) + ...

 

1.1.         Табулирование функций

Базовый уровень

Задание: написать блок-схему и программу табулирования функции на заданном промежутке с шагом 0.2 и построить график этой функции.

 

 

 

вар.

Функция

Интервал

1

y = x 2 + sin 5x

[0.1;2.1]

2

y = x 2 - cos2 πx

[1;3]

3

y = 1.8x 2 - sin 10x

[0.2;2.2]

4

y = 2 x - 2x 2 - 1

[2;4]

5

y = x 2 - cos2 (x + 1)

[0.1;2.2]

6

y = x3 - 4x 2 + 2

[1;3]

7

y = x - 3cos2 (1,04x)

[0.15;2.1]

8

y =| ew - 2 | -x 2

[1;3]

9

y = x 3 + 3x 2 - 3

[2;4]

10

y = x 2 + 2π cosπx

[0.1;2.5]

11

y = 5x3 + 2x 2 - 15x - 6

[1.3;3.4]

12

y =| lg x | -( x - 2) 2

[2;4.1]

13

y =    x - 2 cos(0.5πx)

[0.1;2.5]

14

y = x 2 - xπ cosπx

[0.1;2.1]

15

y = x 3 - 7x - 7

[1;3]

16

y =| x 2 - 4 | +0.25x - 2

[0.1;2.7]

17

y = x 2 - sin πx

[0.1;2.9]

18

y = ln x 2 - x + 4

[1;29]


вар.

Функция

Интервал

19

y = x 3 - 6x 2 + 2

[1.1;2.9]

20

y = 3sin    x + 0.25x - 3

[1;3]

21

y = 3cos x- | x - 4 | +2

[0;2]

22

y = 0.25x3 - 2.8x - 2

[1.1;2.9]

23

y = ln x 2 - 1,8sin x

[1;3]

24

y = x 2 + 4 sin πx

[0.1;3]

25

y = 0.5x 2 - 1 - lg( x - 3)

[1;2.9]

26

y = 1 + x - 3cos x

[0.1;3]

27

y = ln x 2 + x - 5

[1;3]

28

y = x 3 - 1.75x + 0.75

[1;3]

29

y = 0.5x - 1 - 2 cos(x + π )

4

[0;2]

30

y = 3x - 2 ln x - 5

[1.1;3.1]

Средний уровень

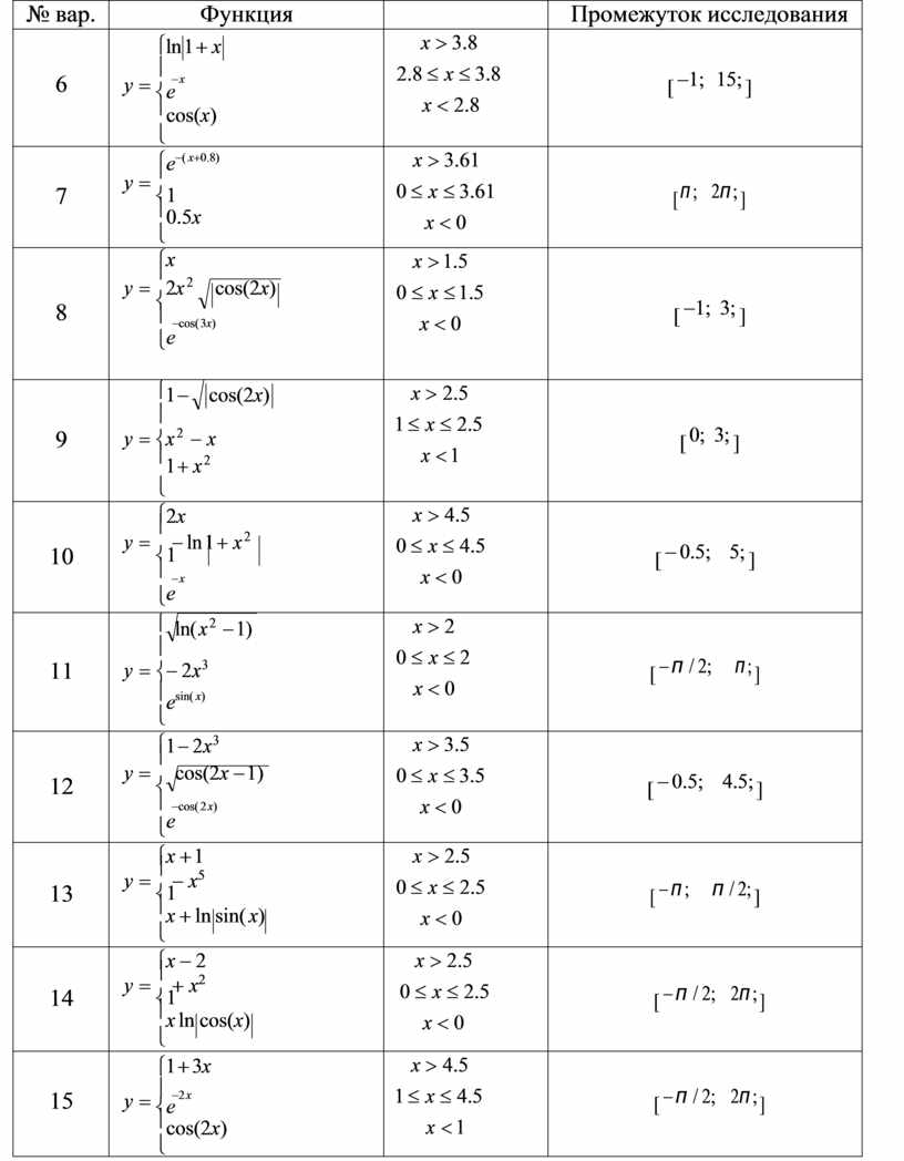
Задание: написать блок-схему и программу вычисления функции на за- данном промежутке с шагом 0.2 и построить график этой функции.

 

вар.

Функция

 

Промежуток исследования

 

1

ìsin( 2.3x - 1)

y = ï - 3ln 1 - x

í1

ï2 - x

î

x > 2.5

0 £ x £ 2.5

x < 0

[ - π / 5;   9π / 5; ]

 

2

ì tg(x 2 - 1)

ï

y = í- 2x

ïecos( x)

î

x > 1

0 £ x £ 1

x < 1

 

[ -1; 1.5; ]

 

3

ìx 2 - 3x + 2.5x 2

y = ï x + 5 + cos(0.001x)

íe

ïx 2

î

x > 12.5

0 £ x £ 1

x < 12.5

 

[ - 5; 10; ]

 

4

ì1 +    cos(x)

ï

y = íx + 1

ï1 - x 2

î

x > 1

- 0.5 £ x £ 1

x < -0.5

 

[ -1.5; 1.5; ]

 

5

ì2.5x3 + 6x 2 - 30

y = ïx + 1

í

ïx

î

x > 1.5

0 £ x £ 1.5

x < 0

 

[ - 2;  3; ]


вар.

Функция

 

Промежуток исследования

 

6

ìln 1 + x y = ï - x

íe

ïcos(x)

î

x > 3.8

2.8 £ x £ 3.8

x < 2.8

 

[ -1; 15; ]

 

7

ìe-( x+0.8)

y = ï

í1

ï0.5x

î

x > 3.61

0 £ x £ 3.61

x < 0

[ π ;   2π ; ]

 

8

ìx

y = ï2x 2    cos(2x)

í

ï -cos( 3x)

îe

x > 1.5

0 £ x £ 1.5

x < 0

 

[ -1;  3; ]

 

9

ì1 -      cos(2x)

ï

y = íx 2 - x

ï1 + x 2

î

x > 2.5

1 £ x £ 2.5

x < 1

 

[ 0;  3; ]

 

10

ì2x

y = ï - ln 1 + x 2

í1

ï - x

îe

x > 4.5

0 £ x £ 4.5

x < 0

 

[ - 0.5;    5; ]

 

11

ì ln( x 2 - 1)

ï

y = í- 2x3

ïesin( x)

î

x > 2

0 £ x £ 2

x < 0

 

[ - π / 2;     π ; ]

 

12

ì1 - 2x3

y = ï cos(2x - 1)

í

ï -cos( 2 x)

îe

x > 3.5

0 £ x £ 3.5

x < 0

 

[ - 0.5;    4.5; ]

 

13

ìx + 1

y = ï - x5

í1

ïx + ln sin( x)

î

x > 2.5

0 £ x £ 2.5

x < 0

 

[ - π ;     π / 2; ]

 

14

ìx - 2

y = ï + x2

í1

ïx ln cos(x)

î

x > 2.5

0 £ x £ 2.5

x < 0

 

[ - π / 2;    2π ; ]

 

15

ì1 + 3x y = ï -2 x

íe

ïcos(2x)

î

x > 4.5

1 £ x £ 4.5

x < 1

[ - π / 2;    2π ; ]


вар.

Функция

 

Промежуток исследования

 

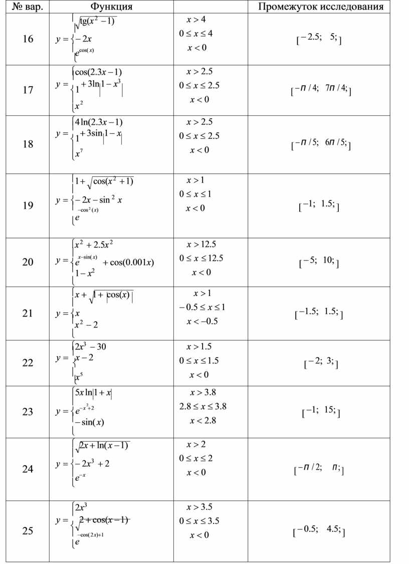
16

ì tg(x 2 - 1)

ï

y = í- 2x

ïecos( x)

î

x > 4

0 £ x £ 4

x < 0

 

[ - 2.5;    5; ]

 

17

ìcos(2.3x - 1)

y = ï + 3ln 1 - x3

í1

ïx 2

î

x > 2.5

0 £ x £ 2.5

x < 0

 

[ - π / 4;   7π / 4; ]

 

18

ì4 ln(2.3x - 1)

y = ï + 3sin 1 - x

í1

ïx7

î

x > 2.5

0 £ x £ 2.5

x < 0

 

[ - π / 5;   6π / 5; ]

 

 

19

ì1 +    cos(x 2 + 1)

ï

y = í- 2x - sin 2 x

ï -cos 2 ( x)

îe

x > 1

0 £ x £ 1

x < 0

 

[ -1; 1.5; ]

 

20

ìx 2 + 2.5x 2

y = ï x-sin( x)

íe          + cos(0.001x)

ï1 - x2

î

x > 12.5

0 £ x £ 12.5

x < 0

 

[ - 5; 10; ]

 

21

ìx + 1 + cos(x)

ï

y = íx

ïx 2 - 2

î

x > 1

- 0.5 £ x £ 1

x < -0.5

 

[ -1.5; 1.5; ]

 

22

ì2x3 - 30

y = ïx - 2

í

ïx5

î

x > 1.5

0 £ x £ 1.5

x < 0

[ - 2;  3; ]

 

23

ì5x ln 1 + x

ï     2

y = íe- x + 2

ï- sin( x)

î

x > 3.8

2.8 £ x £ 3.8

x < 2.8

 

[ -1; 15; ]

 

 

24

ì 2x + ln( x - 1)

ï

y = í- 2x3 + 2

ïe- x

î

x > 2

0 £ x £ 2

x < 0

 

[ - π / 2;     π ; ]

 

25

ì2x3

y = ï 2 + cos(x - 1)

í

ï -cos( 2 x)+1

îe

x > 3.5

0 £ x £ 3.5

x < 0

 

[ - 0.5;    4.5; ]


вар.

Функция

 

Промежуток исследования

 

26

ìx + 1

y = ïx5

í

ïln | sin( x 2 ) |

î

x > 2.5

0 £ x £ 2.5

x < 0

 

[ - π ;     π / 2; ]

 

27

ìx

y = ï + x 2

í1

ïx5 - ln cos(x)

î

x > 2.5

0 £ x £ 2.5

x < 0

 

[ - π / 2;    2π ; ]

 

28

ì3x 2

y = ï - x

íe

ï- cos2 (2x)

î

x > 4.5

1 £ x £ 4.5

x < 1

 

- π / 2;     2π ; ]

 

29

ì tgx 2

ï

y = í- 2x

ïe-cos( x )

î

x > 4

0 £ x £ 4

x < 0

 

[ - 2.5;    5; ]

 

30

ìcos(2.3x - 1)

y = ï ln 1 - x3

í3

ïx 2

î

x > 2.5

0 £ x £ 2.5

x < 0

 

[ - π / 4;   7π / 4; ]

Высокий уровень

Задание: составить схему алгоритма и написать программу вычисления таблицы значений функции f(x) на промежутке x Î[xн; xк] с шагом h.

 

вар.

f(x)

[xн;xк]

h

 

 

1

f (x) = 1.5 × sin(u) , где

ì 5             2

u = ïå kx - x + k ,       x £ 2

í k =1

ïîarctg x,                   x > 2

 

 

x Є[0;5]

 

 

h=0.25

2

5    (- 2)k +1 (k + 1)!

f (x) = å  (x + 2.5)k +1

k =1

x Є[-2;3]

h=0.5

 

ì5 x3 ,

f (x) = ï          3          k

íx 2 +       x ,

ï        å

î        k =1 k

если

x > 0

 

 

 

3

 

если

x £ 0

x Є[-2;2]

h=0.4

4

¥    (- 1)3k  x3k

f (x) = å  (3k )!

k =1

x Є[1;2]

h=0.1

 

5

ïì cos(x) x ,    если   x > π

f (x) = í

îïx cos x ,               если   x £ π

π ;2π

xЄ[ 2

 

]

π

h= 4


вар.

f(x)

[xн;xк]

h

 

 

6

ì 8    (- 1)k  xk

f (x) = ïå    k!     ,    если x > 0

ík =1

ïtg(π x ),             если x £ 0

î

 

 

xЄ[-3;2.5]

 

 

h=1.1

 

 

7

f (x) = 1.5 + ln sin(u) , где

ì x 2 - x + 1,                                 x £ 1.5

u = ïarctg x,                             1.5 < x £ 2.5

í

ïsin 3 ( x - 1) + cos( x + 1),              x > 2.5

î

 

 

x Є[0;4]

 

 

h=0.4

 

8

ìln    x3 ,           если x > 0

ï

f (x) = í 9

ïå k x2  ,            если   x £ 0

ïîk =1

 

x Є[-1;2]

 

h=0.15

9

¥ (- 3)k xk

f (x) = å   k !

k =1

x Є[05;2]

h=0.15

 

10

ì 9     -k

ïå x    ,    если x > 0

f (x) = ík =3

ï(2 - x)2-x ,         если x £ 0

î

 

x Є[-2;1]

 

h=0.5

 

11

ìïu cos(x) ,    если   x > π

f (x) = íï  sin x

îu     ,         если x £ π , где

u = x 2 - arcsin  x 2

 

x Є[-1;1]

 

h=0.25

 

12

f (x) = eu , где

ì x 2 - x + 1 ,                                 x £ 2

u = ï        3 - x

í

ïîsin 3 ( x - 1) 2 ,               x > 2

 

x Є[1;3]

 

h=0.2

 

13

ì 7    xk

f (x) = ïå k! ,    если x > 0

í k =1

ïarctg(π x ),          если x £ 0

î

 

x Є[-1;2]

 

h=0.2

14

¥       x 2k

f (x) = å (2k )!

k =1

x Є[1;2]

h=0.1

 

 

15

f (x) = 2.51x 2 lg 8 - sin(u) ,

где

ì x 2 - x + 1,                        x > -3

u = ïarctg x,                       - 3 £ x £ 3

í

ïsin( x - 1) + cos( x + 1),         x > 3

î

 

 

x Є[-5;5]

 

 

h=0.5

 

16

ì 5     k

ïå x ,    если x > 0

f (x) = ík =1

ïπ 3,5x ,          если x £ 0

î

 

x Є[-3;2]

 

h=0.25


вар.

f(x)

[xн;xк]

h

 

17

ì æ 4    xk ö

f (x) = ïlgçå (2k )!÷,          если x > 0

í è k =1                    ø

ï x                 2

î5 sin x ,                     если x £ 0

 

x Є[-3;8]

 

h=1.1

18

5    (- 1.5)k  xk

f (x) = å    k !

k =1

x Є[05;2]

h=0.15

 

19

ìïlog  u cos(x) ,      если       u > 1

f (x) = í    5

îïarccosu 4 ,         если       u £ 1 , где

u = x 2 - sin x 2

 

x Є[-2;2]

 

h=0.4

 

20

ì 5        x- k

f (x) = ïå k + 2,    если x > -2

ík =1

ï(3 + x)2- x ,         если   x £ -2

î

 

xЄ[-3;05]

 

h=0.25

21

6 (- 3)k +1 (k + 1)!

f (x) = å  (x + 5)k +1

k =1

x Є[3;7]

h=0.5

22

¥          ek xk

f (x) = å (2k - 1)!

k =1

x Є[1;2]

h=0.1

 

 

23

f (x) = arccos(0.5 × sin(u - 3) ) + 3x, где

ì x 2 - 7 x + 3

u = ï     x - e x           ,      x £ 2

í

ïarctg 2 x,                   x > 2

î

 

 

x Є[1;2]

 

 

h=0.1

 

24

ì     æ 4 xk     ö

f (x) = ïcosçå k ! - 5÷,         если x > 0

í     è k =1                        ø

ï x

îe arctgx,                     если x £ 0

 

x Є[-2;2]

 

h=0.4

25

¥    (- 1.5)k  xk

f (x) = å  (2k )!

k =1

x Є[05;2]

h=0.15

 

26

ìïlg cos(x),     если   x > π

f (x) = ïíasin x ,         если   x £ π

î                                      , где

a = arcsin(1 - cos x3 )

π ;2π

xЄ[ 2       ]

 

π

h= 4

 

 

 

27

ì(t × x - 3 ln  x )2  ,    t  < 1.5

ï                     3

f ( x) = ï(1 + t )× x 2 - sin x, 1.5 £ t £ 3

í

ï                              1

ïî((1 - t )× x 3  +  cos  x )3 ,    t  > 3

, где

t = cos2 x - 3.5

 

 

 

x Є[-2;4]

 

 

 

h=0.6

 

28

ì         5         k

f (x) = ï10 - å x ,    если x > 1

í        k =1

ïecos( 3,5 x+3) ,         если x £ 1

î

 

x Є[0;2]

 

h=0.25


вар.

f(x)

[xн;xк]

h

 

 

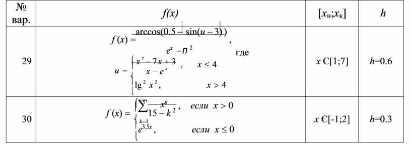
29

arccos(0.5 - sin(u - 3) )

f (x) =                                      ,

ex - π 2                  где

ì x 2 - 7 x + 3

u = ï     x - e x           ,      x £ 4

í

ïlg 2 x 2 ,                   x > 4

î

 

 

x Є[1;7]

 

 

h=0.6

 

30

ì 5             xk

f (x) = ïå15 - k 2 ,    если x > 0

í k =1

ïe3,5x ,               если x £ 0

î

 

x Є[-1;2]

 

h=0.3


 

Скачано с www.znanio.ru