Презентация по технической механике "Кинематика движения"

  • ppt
  • 15.05.2025
Публикация на сайте для учителей

Публикация педагогических разработок

Бесплатное участие. Свидетельство автора сразу.
Мгновенные 10 документов в портфолио.

Иконка файла материала 1 207483.ppt

Глава 2 Кинематика твердого тела

§ 1. Поступательное движение твердого тела
§ 2. Вращательное движение твердого тела вокруг неподвижной оси
2.1. Скорости и ускорения точек вращающегося твердого тела
§ 3. Плоско-параллельное движение твердого тела (ППД)
3.1. Разложение движения плоской фигуры на поступательное и вращательное. Угловая скорость и угловое ускорение
3.2. Определение траекторий и скоростей точек плоской фигуры
3.3. Теорема о проекциях скоростей
3.4. Мгновенный центр скоростей (МЦС)
3.5. Частные случаи определения МЦС
3.6. Определение ускорений точек при ППД
§ 4. Сферическое движение твердого тела

Кинематика твердого тела

Задать движение твердого тела – значит, указать способ определения положения каждой точки в каждый момент времени

Число независимых параметров, определяющих положение точки тела или системы тел, называется числом степеней свободы точки, твердого тела или системы тел

Задание движения твердого тела и определение кинематических характеристик тела в целом
Определение кинематических характеристик точек тела

Две основные задачи кинематики твердого тела

Виды движения твердого тела

Поступательное движение
Вращательное движение
Плоско-параллельное движение
Сферическое движение
Общий случай движения твердого тела

§ 1. Поступательное движение твердого тела

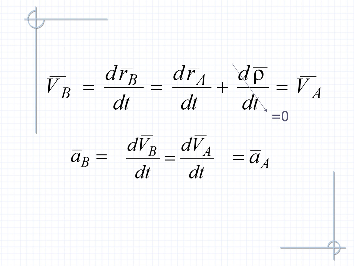
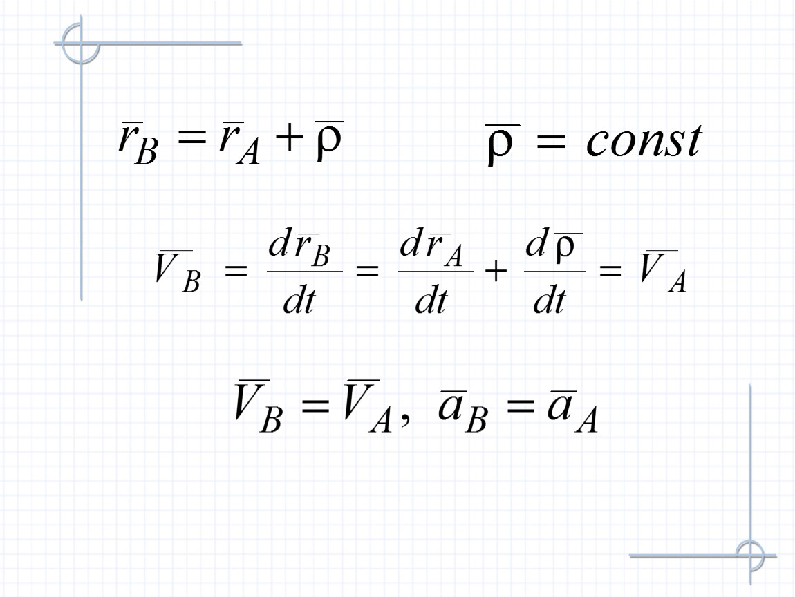
Движение тела, при котором любая прямая, проведенная в теле, остается параллельной своему первоначальному положению, называется поступательным.

Теорема, определяющая свойства поступательного движения

При поступательном движении твердого тела все его точки описывают одинаковые траектории и имеют в любой момент времени одинаковые по величине и по направлению скорости и ускорения

Найдем скорости точек А и В

При поступательном движении общую для всех точек тела скорость называют скоростью поступательного движения, а ускорение – ускорением поступательного движения

Скорости и ускорения точек движущегося тела образуют векторные поля, однородные, но не стационарные

§ 2. Вращательное движение твердого тела вокруг неподвижной оси

Движение твердого тела с двумя неподвижными точками называется вращательным движением твердого тела вокруг неподвижной оси

Прямая, точки которой остаются неподвижными, называется осью вращения

При вращении твердого тела все точки тела описывают окружности, расположенные в плоскостях, перпендикулярных к оси вращения и с центрами на ней

Положение тела однозначно определяется, если задан угол поворота φ = φ(t)

Определим положение вращающегося тела

П2

П1

φ

– единичный вектор, направленный по оси вращения

Будем считать, что угол φ возрастает, если с конца положительного направления оси вращения видим вращение тела происходящим против хода часовой стрелки

φ = φ(t) – уравнение движения твердого тела при его повороте вокруг оси

В СИ [φ] = рад,
оборотах

Среднюю угловую скорость тела определяют

Определим угловую скорость твердого тела

П2

П1

Мгновенная угловая скорость – векторная величина, равная по модулю

по направлению – вдоль оси вращения в ту сторону, откуда вращение видно происходящим против хода часовой стрелки

В технике при равномерном вращении пользуются nчислом оборотов в минуту

В системе СИ [ω] = рад/с, с-1, в других единицах – оборот/с

Угловое ускорение характеризует изменение с течением времени угловой скорости

Определим угловое ускорение твердого тела

П2

П1

Мгновенное угловое ускорение

Если ε совпадает с ω, то движение ускоренное, если ε противоположно ω – движение замедленное

В системе СИ [ε] = рад/с2, с-2

Равномерное вращение

Если

то вращение называется равномерным

Закон равномерного вращения твердого тела

С – константа интегрирования

,

Равнопеременное вращение

Если ω и ε имеют одинаковые знаки, то вращение равноускоренное, если разные – равнозамедленное

Если

то вращение называется равнопеременным

Закон равнопеременного вращения твердого тела

проинтегрируем еще раз, т.к.

,

За dt точка М совершает вдоль траектории элементарное перемещение ds

Скорости точек вращающегося твердого тела

П2

П1

Мгновенная скорость точки М по величине

по направлению – по касательной к описываемой точкой окружности или перпендикулярно к плоскости, проходящей через ось вращения и точку М

h

М

Поле скоростей точек вращающегося тела

Вспомним, что

Ускорения точек вращающегося твердого тела

μ

Здесь

Полное ускорение

и

и

C

μ – угол отклонения вектора ускорения от радиуса окружности, описываемой точкой

Поле ускорений точек вращающегося тела

Формулы (1)–(5) позволяют определить скорость и ускорение любой точки вращающегося тела, если известен закон движения и расстояние данной точки от оси вращения

И наоборот, зная движение одной точки вращающегося тела, можно найти движение любой другой его точки, а также характеристики движения всего тела в целом

Леонард Эйлер (1707 –1783) показал, что скорость вращающейся точки тела можно определить из векторного произведения угловой скорости и радиуса-вектора этой точки.

В 19 лет он приехал в Россию, где в 26 лет стал академиком Российской Академии Наук, прожив 15 лет, уехал в Германию.

Вернулся опять в Россию при Екатерине II и создал великую русскую школу математиков

Векторы скорости и ускорения точек вращающегося твердого тела

П1

С

Возьмем производные от обеих частей уравнения

Проанализируем выражение

h

§ 3. Плоско-параллельное движение твердого тела

Плоско-параллельным (или плоским) движением (ППД) твердого тела называется такое, при котором все его точки перемещаются параллельно некоторой фиксированной плоскости

Как частный случай ППД можно рассматривать вращательное движение твёрдого тела вокруг оси;

катящиеся колеса по прямолинейному участку пути;

движение шатуна в кривошипно-шатунном механизме

скорости и ускорения, т.к. эта прямая движется поступательно, оставаясь всегда ḻ к плоскости П1

При ППД все точки тела, лежащие на одном перпендикуляре к неподвижной плоскости П1, имеют одинаковые траектории,

Достаточно исследовать движение точек этого тела, лежащих в какой-либо плоскости, || неподвижной П1

Другими словами, достаточно исследовать движение плоской фигуры, образуемой сечением тела плоскостью П2

Положение фигуры в плоскости П2 по отношению к неподвижной системе координат ОХУ определяется положением какого-либо отрезка СД, принадлежащим фигуре

Тогда достаточно исследовать движение точек этого отрезка. Пусть точка С – полюс

(1) - уравнения плоско- параллельного движения твердого тела

Теорема. Всякое конечное перемещение плоской фигуры в её плоскости может быть составлено из поступательного перемещения вместе с полюсом и вращательного перемещения вокруг полюса

3.1. Разложение движения плоской фигуры на поступательное и вращательное. Угловая скорость и угловое ускорение

1) С – полюс, тогда СД—>С’Д1͡ С’Д’

2) Д – полюс. тогда СД—>С1Д’ ͡ С’Д’

t1=t

t2=t+Δt

Поступательное перемещение зависит от выбора полюса, вращательное не зависит от выбора полюса

Для характеристики вращательного движения вокруг подвижной оси, проходящей через полюс, введем понятия угловой скорости ω и углового ускорения ε плоской фигуры

Анализируя (1), имеем, что движение плоской фигуры в её плоскости можно представить как совокупность двух движений: поступательного вместе с точкой, выбранной за полюс, и вращательного вокруг этого полюса

ω и ε не зависят от выбора полюса, т.к. Δφ не зависит от выбора полюса

Угловая скорость и угловое ускорение – векторы

А – полюс; М – произвольная точка плоской фигуры;

3.2. Определение траекторий и скоростей точек плоской фигуры

AX’Y’ – подвижная система координат, движется поступательно

- уравнения траектории точки М в параметри-ческом виде

Исключив время, получим обычное уравнение траектории

(2)

Скорости точек плоской фигуры

(4)

Скорость любой точки М плоской фигуры равна геометрической сумме скоростей какой-либо т.А, принятой за полюс, и скорости т.М при её вращении вместе с телом вокруг полюса А.

(3)

(5)

Вращательная скорость VMA определяется численно и по направлению так же, как если бы тело совершало вращение вокруг неподвижной оси, проходящей через точку А перпендикулярно плоской фигуре

(6)

3.3. Теорема о проекциях скоростей

Найдем скорость точки В. Пусть точка А – полюс

При плоском движении проекции скоростей двух точек тела на прямую, соединяющую эти точки, равны между собой

Пример

B

A

3.4. Мгновенный центр скоростей (мцс)

Мгновенный центр скоростей (мцс) – это такая точка плоской фигуры, скорость которой в данный момент времени равна нулю.
(·)Р : VP = 0

Теорема (без доказательства) При непоступательном движении плоской фигуры такая точка (мцс) существует и единственна

Выберем мцс за полюс (·)P

Теорема

Скорости всех точек при плоском движении фигуры можно определять точно так же, как при вращательном движении

Роль неподвижной оси выполняет мгновенная ось, проходящая через мцс перпендикулярно плоскости движения

,=>,

Выводы

1. Для определения мцс надо знать только направление скоростей двух каких-нибудь точек плоской фигуры (или траектории этих точек)

МЦС находится на пересечении перпендикуляров к скоростям (или касательным к траекториям)

Находят мцс (т. Р), затем величину скорости из формулы

2. Для определения скорости любой точки плоской фигуры надо знать модуль и направление скорости какой-нибудь одной точки и направление скорости другой

, направление – в сторону

поворота фигуры. Причём

3. Угловая скорость плоской фигуры в каждый момент времени равна отношению скорости какой-нибудь точки фигуры к её расстоянию от мцс

или

т.к.

3.5. Частные случаи определения МЦС

1. Интуитивный

Точка соприкосновения неподвижной поверхности и катящегося без скольжения диска есть мцс

Колесо с закрепленным центром

2. Из построения

P

О

А

K

(·)Р – МЦС

(·)А и (·)К принадлежат II колесу, =>

Свойство пропорции

Если VA || VK и АК ḻ VA, то мцс находят из построения

R2 - радиус II колеса

II

I

3. Случай мгновенно поступательного движения

4. Если известна скорость какой-либо (·)В и угловая скорость тела, то мцс лежит на ḻ к VВ на расстоянии ВР

3.6. Определение ускорений точек при ППД

(7) продифференцируем

Пример. Два колеса соединены водилом ОА. I-е колесо вращается с угловой скоростью ωI относительно неподвижного шарнира О. Водило ОА имеет ωОА, причем вращение в другую сторону. Найти ускорение II-го колеса, зная RI, RII, ωI, ωОА, εI, ε ОА

P

О

А

K

Можем найти линейное ускорение любой точки колеса II

О

А

K

где

§ 4. Сферическое движение твердого тела

б) тело, закрепленное шаровым шарниром;

Движ-е тела, когда во все время движения одна его точка остается неподвижной наз-ся сферическим движением

а) волчок;

в) качение конуса по неподвижной поверхности

Линия ОК – линия узлов.

а) Уравнения движения:

Положение тела отн-но неподви-жных осей ОX1Y1Z1 можно определить углами Эйлера:

- угол собственного вращения

- угол прецессии

- угол нутации

- уравнения сферич. дв-ния тв. тела

Линия ОК – линия узлов.

б) угловая скорость тела:

- собственное вращение вокруг оси z

- вращение вокруг оси Z1 (прецессия)

изменяется как по величине так и по направлению, т.к. меняются все три вектора угловых скоростей

- называют мгновенной угловой скоростью тела

O

- вращение вокруг линии узлов ОК (нутация)

Элементарное перемещение dΘ за время dt – элементарный поворот вокруг оси ОР, вдоль кот. направлен вектор

в) движение тела:

Дв-ние складывается из ряда последователь-ных элемент. поворотов вокруг мгновенных осей вращения, проходящих через т.О

ОР называют мгновенной осью вращения, её напр-ние постоянно меняется со временем

O

г) угловое ускорение тела:

Направление ε совпадает с касательной к кривой АD в соответствующей точке

АD – годограф вектора

Векторная величина, характеризующая изменение с течением времени угловой скорости по модулю и по направлению – мгновенное угловое ускорение тела

Векторы и - основные кинематические характеристики сферического движения тела

вектор от т.О до т.М, - вектор мгн. угловой ск-ти тела

д) линейные скорости точек тв. тела:

ḻ пл-ти МОР в сторону поворота тела

Направлен

Скорость какой-нибудь т.М тела -

где - расстояние от т.М до мгновенной оси вращения

, где - радиус-

С

- вращательное ускорение

е) линейные ускорения точек тв. тела:

Ускорение какой-нибудь т.М тела -

или

С

- осестремительное ускорение

Пример:

Подвижный конус катится без проскальзывания по неподвижному так, что угл. ск-ть вращения оси ОС вокруг оси Z неподв. конуса постоянна и равна ω1. Чему равна мгновенная угловая скорость тела, если известны углы и радиус основания R

R

Z

z

r

А

§ 5. Общий случай движения свободного твердого тела

(4) – уравнения свободного движения твёрдого тела

Движение свободного твердого тела в общем случае можно рассматривать как совокупность поступательного движения вместе с точкой А, принятой за плюс, и серии элементарных поворотов вокруг мгновенной оси вращения, проходящей через точку А

Посмотрите также