Конспект урока по физике
в 9 классе
«Состав атомного ядра»
Цели урока:
Обучающая: познакомить учащихся с радиоактивным превращением атомных ядер, с составом атомного ядра.
Развивающая: развивать умение производить наблюдения, делать выводы, обобщать, умение сравнивать, умение выделять главное в тексте.
Воспитывающая: воспитать интерес к предмету и позитивное отношение к учебе; формировать научное мировоззрение, систему взглядов на мир.
Дидактический тип урока: изучение нового материала.
Оборудование:
v таблицы
v мультимедийный проектор
v компьютер
План урока
1. Организационный момент.
2. Мотивация.
3. Изучение нового материала (слайд 2-14).
4. Рефлексия учебная (слайд 15).
5. Закрепление нового материала (слайд 16-17).
6. Домашнее задание (слайд 18).
Ход урока.
1. Организационный момент.
Готовность учеников к уроку.
2. Мотивация.
Учащимся предлагаем ответить на несколько вопросов.
1. Попробуйте изобразить или представить ядро атомов водорода и гелия?
2. После изучения данной темы урока, научитесь изображать ядро любого атома.
3. Изучение нового материала (слайд 2-14).
Вариант 1.
Для изучения темы урока загружаем материал, используя ссылку:
http://files.school-collection.edu.ru/dlrstore/669bee8c-e921-11dc-95ff-0800200c9a66/4_4.swf
Если скорость интернета мала или его нет, весь материал для
изучения темы находится на слайдах презентации.
Вариант 2.
Открытие нейтрона дало толчок к пониманию того, как устроены ядра атомов.
В том же 1932 г., когда был открыт нейтрон, советскими физиками Д. Д. Иваненко, Е.Н Гапон и немецким физиком Вернером Гейзенбергом была предложена протонно-нейтронная модель строения ядер, справедливость которой была впоследствии подтверждена экспериментально.
Протоны и нейтроны называются нуклонами (от латинского nucleus — ядро). Используя этот термин, можно сказать, что атомные ядра состоят из нуклонов.
Общее число нуклонов в ядре называется массовым числом и обозначается буквой А.
Массовое число ставится вверху перед буквенным обозначением химического элемента.
Пример : для азота 14 N A = 14, для железа 56 F A = 56.
Массовое число А (т. е. общее число нуклонов в ядре) численно равно массе ядра т, выраженной в атомных единицах массы и округленной до целых чисел (поскольку масса каждого нуклона примерно равна 1 а. е. м.). Например, для азота А = 14, т ≈ 14 а. е. м., для железа А = 56, m ≈ 56 а. е. м. и т. д.
Число протонов в ядре называется зарядовым числом и обозначается буквой Z.
Зарядовое число ставится внизу перед буквенным обозначением элемента.
Пример : для азота 7 N Z = 7, для железа 26 Fe Z = 26.
Вывод: зарядовое число Z (т. е. число протонов в ядре) численно равно заряду ядра, выраженному в элементарных электрических зарядах. Для каждого химического элемента зарядовое число равно атомному (порядковому) номеру в таблице Д. И. Менделеева.
Число нейтронов в ядре обычно обозначают буквой N. Поскольку массовое число А представляет собой общее число протонов и нейтронов в ядре, то можно записать: А = Z + N.
Изотопы — это разновидности данного химического элемента, различающиеся по массе атомных ядер.
Одинаковый заряд ядер свидетельствует о том, что они имеют один и тот же порядковый номер в таблице Д. И. Менделеева, т. е. занимают в таблице одну и ту же клетку, одно и то же место. Отсюда и произошло название всех разновидностей одного химического элемента: изотопы (от греческих слов isos — одинаковый и topos — место).
Ядра атомов изотопов содержат одинаковое число протонов, но различное число нейтронов.
Пример : три изотопа водорода: 11 H (протий), 12 H (дейтерий) и 13H (тритий). Ядро изотопа 11H вообще не имеет нейтронов — оно представляет собой один протон. В состав ядра дейтерия 12Н входят две частицы: протон и нейтрон. Ядро трития 13Н состоит из трех частиц: одного протона и двух нейтронов.
5. Закрепление нового материала (слайд 16).
Первый блок задач.
1. Сколько электронов содержат атомы алюминия, меди, железа, серебра?
Ответ. 13, 29, 26, 47.
2. Чему равны заряды ядер атомов азота, золота, кобальта, германия?
Ответ. 7, 79, 27, 32.
3.
Ответ. 6, 64, 108, 207.
4.
Ответ. 2 протона и 2 нейтрона, 8 протонов и 8 нейтронов, 34 протона и 45 нейтронов, 80 протонов и 120 нейтронов, 88 протонов и 138 нейтронов, 92 протона и 143 нейтрона.
3. Изучение нового материала (слайд 2-14). Продолжение.
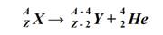
В 1903 г. (т. е. еще до обнаружения существования атомных ядер) Эрнест Резерфорд и его сотрудник, английский химик Фредерик Содди, обнаружили, что радиоактивный элемент радий в процессе а-распада (т. е. самопроизвольного излучения а-частиц) превращается в другой химический элемент — радон.
Радий и радон — это совершенно разные вещества, они отличаются по своим физическим и химическим свойствам. Радий — металл, при обычных условиях он находится в твердом состоянии, а радон — инертный газ. Эти химические элементы занимают разные клетки в таблице Д. И. Менделеева. Их атомы отличаются массой, зарядом ядра, числом электронов в электронной оболочке. Они по-разному вступают в химические реакции.
Дальнейшие опыты с различными радиоактивными препаратами показали, что не только при а -распаде, но и при β -распаде происходит превращение одного химического элемента в другой.

![]()

![]()
5. Закрепление нового материала (слайд 17) (продолжение).
Второй блок задач.
1.
![]()
Ответ:
2.
Ответ:
Ni

3.
Ответ:
4. Рефлексия учебная (слайд 15).
1. Из каких частиц состоит ядро?
Ответ. Атомное ядро состоит из протонов и нейтронов.
2. Чему равно массовое число атома?
Ответ. Общему числу нуклонов в ядре (сумме протонов и нейтронов).
3. Что такое изотоп?
Ответ. Ядра одного и того же химического элемента с одинаковым числом протонов и разным числом нейтронов.
6. Домашнее задание (слайд 18).
§ 67, 71.
Упр. 51 № 1, 2, 5.
Упр. 53 №1, 2, 3.
Скачано с www.znanio.ru
Материалы на данной страницы взяты из открытых источников либо размещены пользователем в соответствии с договором-офертой сайта. Вы можете сообщить о нарушении.